Senaste uppdateringen :
27/01/2026
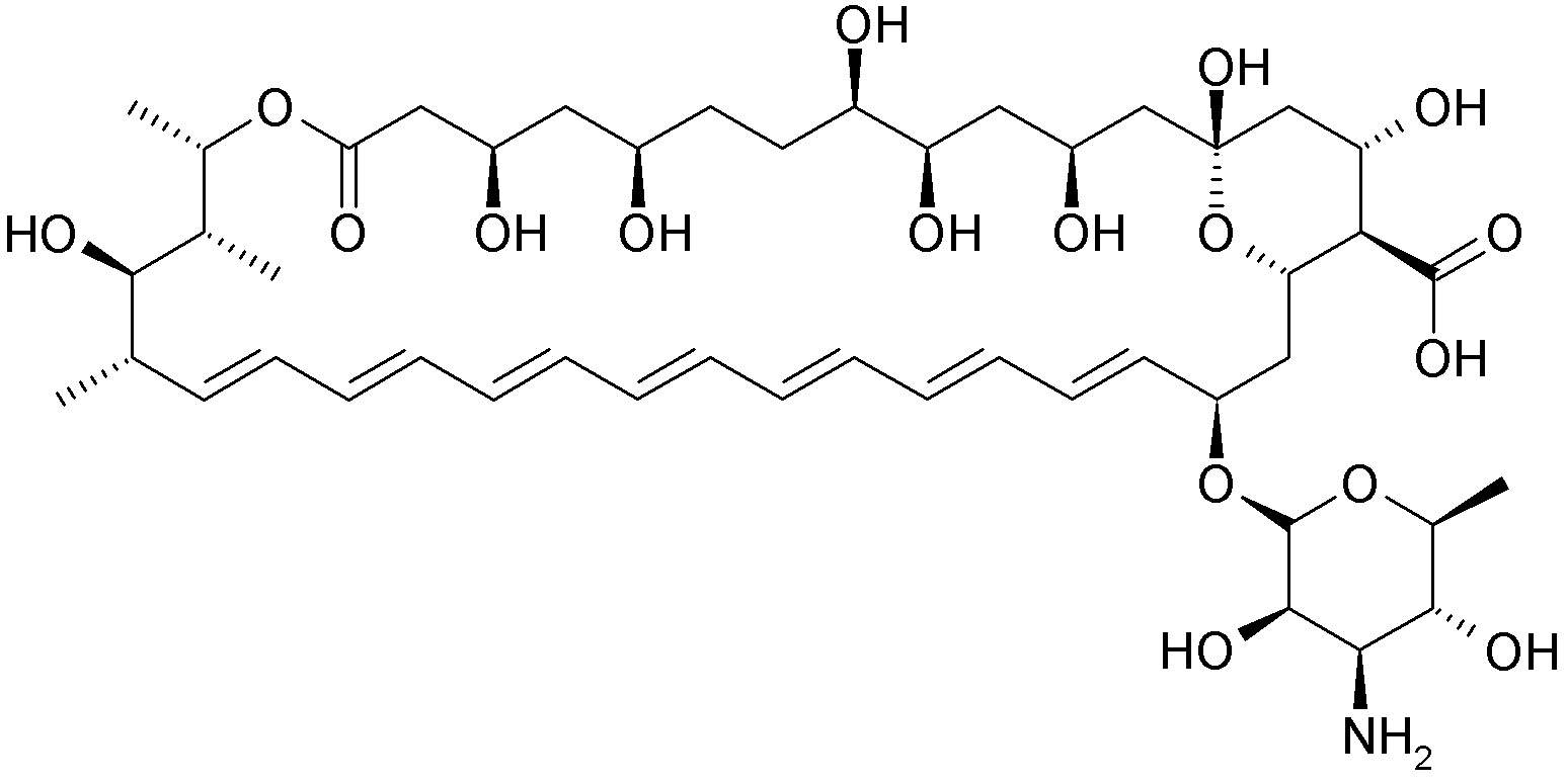
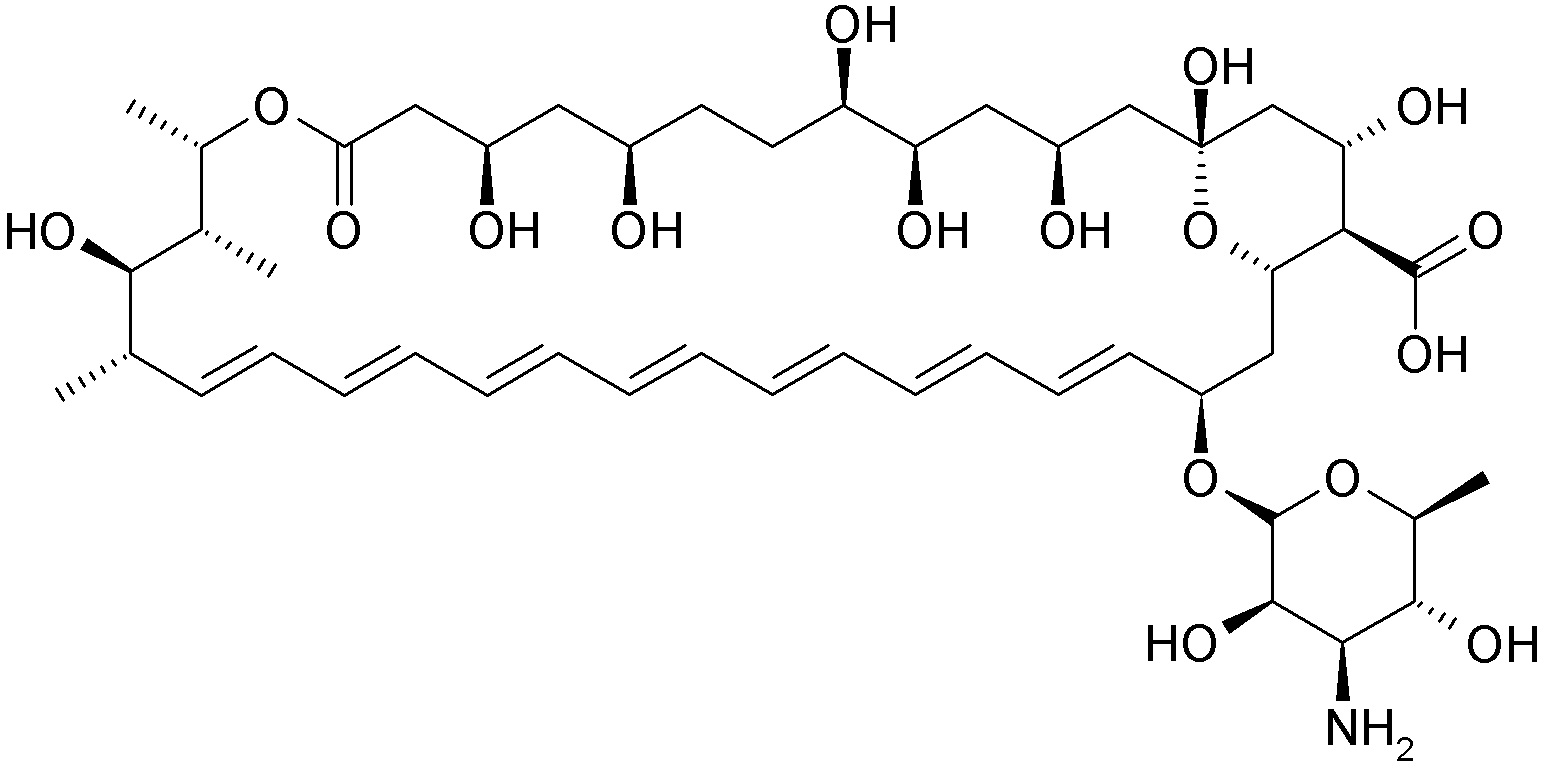
Antimykotikum   Amphotericin B  
ögondroppar
Aerosol injektion Munvatten Oral lösning
Stabilitet av läkemedel Stabilitet i blandningar Faktorer som påverkar stabiliteten Kompatibilitet Hänvisningar pdf
   Molekylstruktur  

ögondroppar
Kompatibilitet   ögondroppar   Kompatibilitet : Amphotericin B              
Ingen uppgift

  Mentions Légales