Последнее обновление :
27/01/2026
Противогрибковое средство   Amphotericin B  
Глазные капли
Аэрозоль Инъекция Ополаскиватель для полости рта Раствор для перорального приёма
Стабильность фармацевтических препаратов Стабильность смесей Факторы, которые влияют на стабильность Совместимость Библиография pdf
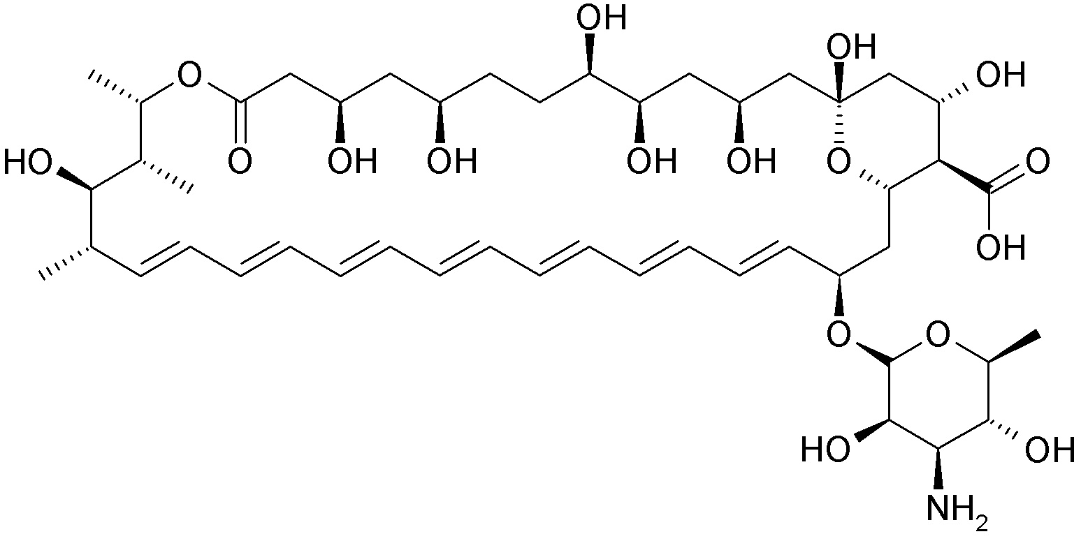
   Химическая структура  

Глазные капли
Совместимость   Глазные капли   Совместимость : Amphotericin B              
данных нет

  Mentions Légales