Laatste update :
27/01/2026
Antimycoticum   Amphotericin B  
Oogwater
Aerosol gorgelen injecteerbaar geneesmiddel Orale Oplossing
Stabiliteit van farmaceutische preparaten Stabiliteit in mengsels Factoren die de stabiliteit beïnvloeden Verenigbaarheden Literatuur pdf
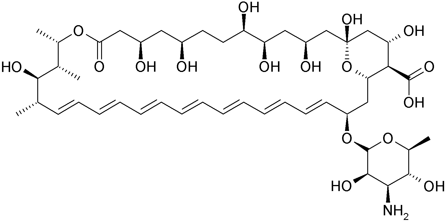
   Molecuulstructuur  

Oogwater
Verenigbaarheden   Oogwater   Verenigbaarheden : Amphotericin B              
geen gegevens

  Mentions Légales