Ultimele actualizari :
27/01/2026
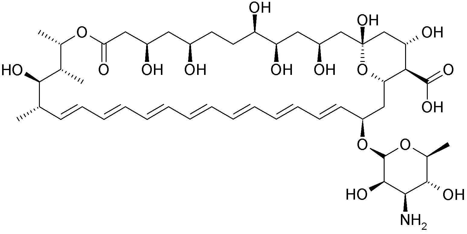
Antifungic   Amphotericin B  
colir
Aerosol Gargara Injectabil Soluţie orală
Stabilitatea preparatelor farmaceutice Stabilitatea in amestec Factorii care influenteaza stabilitatea Compatibilitate Bibliografie pdf
   Formula chimica  

colir
Compatibilitate   colir   Compatibilitate : Amphotericin B              
Absenta de date

  Mentions Légales