Dernière mise à jour :
27/01/2026
Antifongique   Amphotericin B  
Collyre
Aérosol Gargarisme injectable Solution buvable
Stabilité des préparations Stabilité en mélange Facteur influençant la stabilité Compatibilités Bibliographie pdf
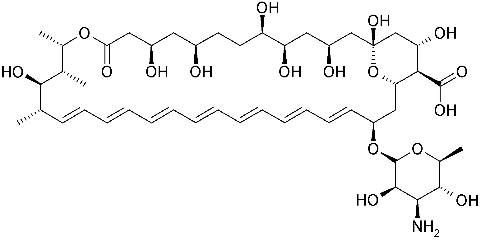
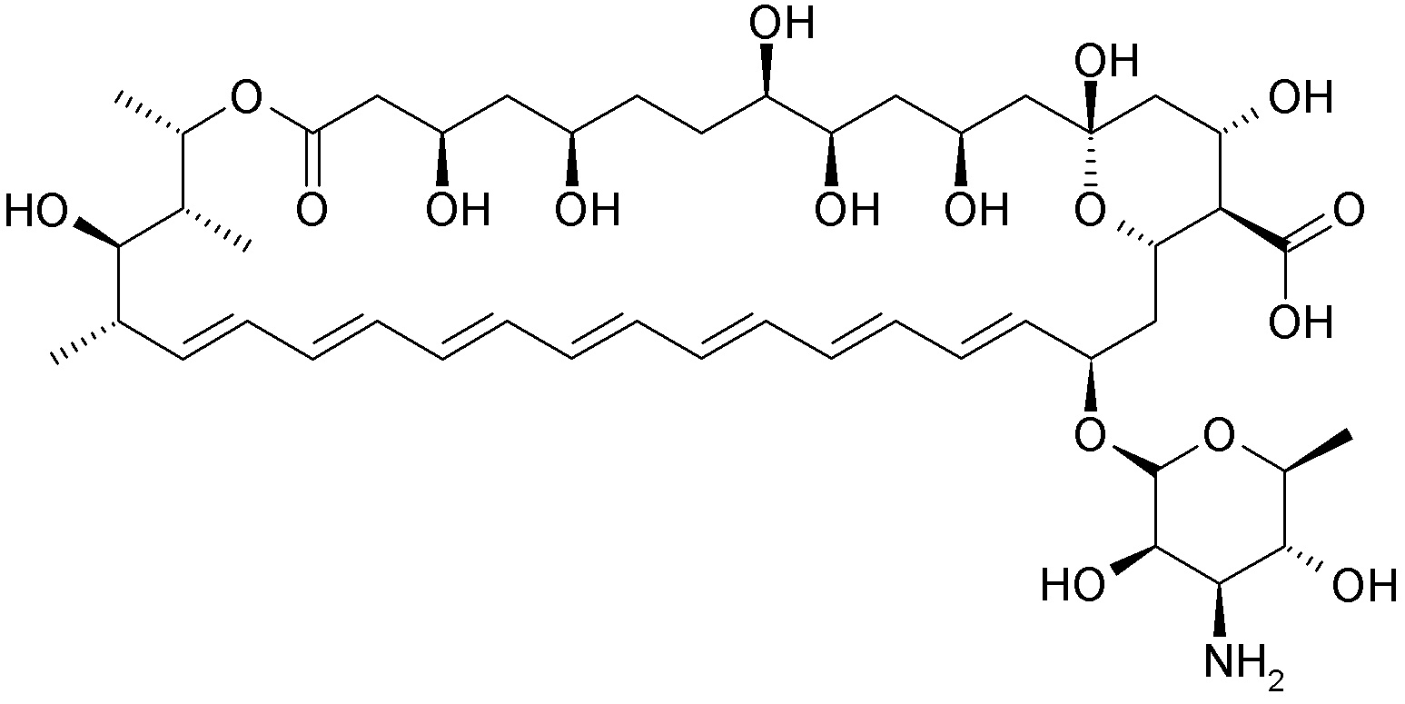
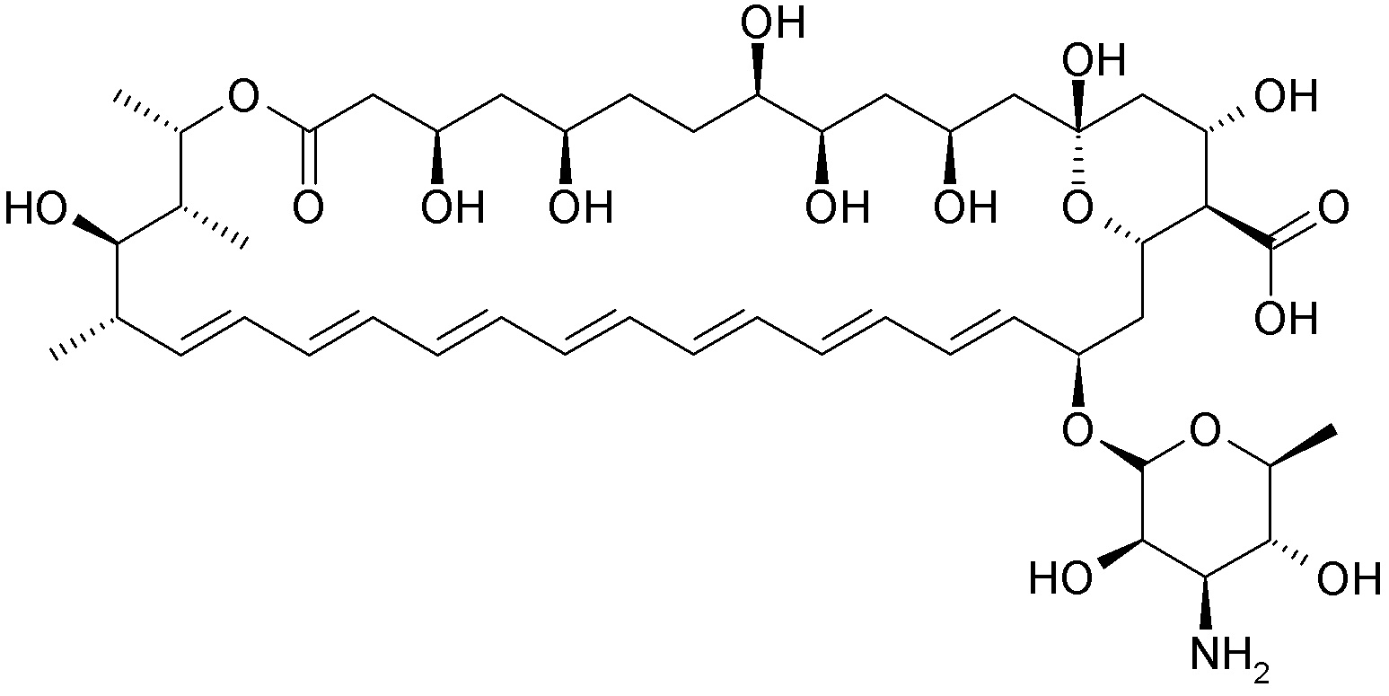
   Structure chimique  

Collyre
Compatibilités   Collyre   Compatibilités : Amphotericin B              
Aucune donnée

  Mentions Légales