Viimeisin päivitys :
27/01/2026
Sienilääkkeet   Amphotericin B  
Silmätipat
Aerosoli Injektioneste Oraaliliuos Suuvesi
Vakaus lääkevalmisteen Stabilius seoksissa Tekijät, jotka vaikuttavat stabiliuteen Yhteensopivuus Viitteet pdf
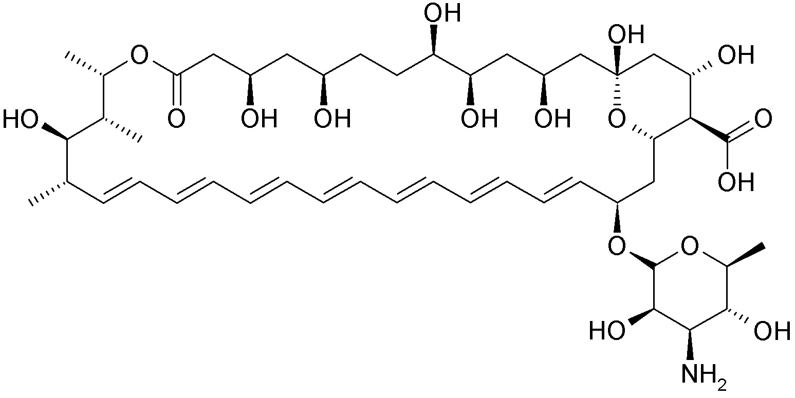
   Kemiallinen rakenne  

Silmätipat
Yhteensopivuus   Silmätipat   Yhteensopivuus : Amphotericin B              
ei tietoa

  Mentions Légales