Cập nhật lần cuối :
27/04/2026
Thuốc giãn mạch   Alprostadil  
Dạng tiêm
Tính ổn định của các dung dịch Độ ổn định khi trộn lẫn Những yếu tố ảnh hưởng đến độ ổn định Khả năng tương thích Đường dùng Tài liệu tham khảo Pdf
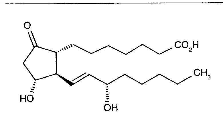
   Cấu trúc hóa học  

Tên thương mại   Tên thương mại     

Các tên thương mại được cung cấp và thành phần tá dược có thể khác nhau giữa các quốc gia và các hãng dược

Alfaprostin Ả Rập
Alistint Mexico, Peru
Alprostadil Ả Rập Saudi, Argentina, Canada, Chile, Ecuador, Hoa Kỳ, Malaysia, Peru, Romania, Tây Ban Nha, Thổ Nhĩ Kỳ, Úc, Đức
Alprostapint Áo, Argentina, Colombia, Ecuador, Hungary, Peru
Alprostar Ý
Aplicav
Cardiobonisol Ba Lan
Caverject Anh, Áo, Ba Lan, Bỉ, Bồ Đào Nha, Brazil, Canada, Chile, Colombia, Hoa Kỳ, Na Uy, Pháp, Slovenia, Tây Ban Nha, Thổ Nhĩ Kỳ, Thụy Sỹ, Thụy Điển, United Arab Emirates, Ý, Đan Mạch
Edex Hoa Kỳ, Hy Lạp, Pháp, Tunisia
Liple Nhật
Minprog Áo, Đức
Ostapint Mexico, Peru
Palux Nhật
Pridax Áo, Romania, Tây Ban Nha, Đức
Prolisina VR Argentina
Prostandin Nhật
Prostavasin Ả Rập, Áo, Ba Lan, Hungary, Iran, Luxembourg, Ý, Đức
Prostin VR Ả Rập Saudi, Anh, Ba Lan, Bỉ, Bồ Đào Nha, Canada, Colombia, Croatia, Hà Lan, Hoa Kỳ, Hungary, Hy Lạp, Iran, Luxembourg, Malaysia, Na Uy, Phần Lan, Thụy Sỹ, Venezuela, Ý, Đan Mạch
Prostine VR Pháp
Vasaprostan Romania
Khả năng tương thích   Dạng tiêm   Khả năng tương thích : Alprostadil              
Màn hình này cho biết khả năng tương thích hoặc không tương thích, trong trường hợp này là loại không tương thích (kết tủa, thay đổi màu sắc, sửa đổi nhũ tương, v.v.). Sự tương hợp được chỉ ra ở đây chủ yếu chỉ là vật lý, với độ ổn định hóa học của mỗi phân tử hiếm khi được đánh giá. Việc đánh giá các hỗn hợp này được nghiên cứu để xem xét khả năng sử dụng vị trí Y cho bệnh nhân. Những dữ liệu này không thể được sử dụng để tạo hỗn hợp trước trong túi hoặc ống tiêm. Loại thông tin này có sẵn trong màn hình "Độ ổn định trong hỗn hợp».
Phân tử Dung môi Mục lục
Tương thích
Dạng tiêm Alprostadil 20 µg/ml
Dạng tiêm Caffeine citrate 20 mg/ml
NaCl 0,9% 4837
Tương thích
Dạng tiêm Alprostadil
Glucose 5% 4954
Tương thích
Dạng tiêm Alprostadil 20 µg/ml
Dạng tiêm Amiodarone hydrochloride 6 mg/ml
Glucose 5% 4651
Tương thích
Dạng tiêm Alprostadil 20 µg/ml
Dạng tiêm Amiodarone hydrochloride 6 mg/ml
Glucose 5% 4491
Tương thích
Dạng tiêm Alprostadil 15 µg/ml
Dạng tiêm Ampicillin sodium 100 mg/ml
3201
Tương thích
Dạng tiêm Alprostadil 20 µg/ml
Dạng tiêm Caffeine 10 mg/ml
NaCl 0,9% 4837
Tương thích
Dạng tiêm Alprostadil 20 µg/ml
Dạng tiêm Calcium gluconate 10 mg/ml
Glucose 5% 4651
Tương thích
Dạng tiêm Alprostadil 20 µg/ml
Dạng tiêm Calcium gluconate 0,04 mg/ml
Glucose 10% 4491
Tương thích
Dạng tiêm Alprostadil 15 µg/ml
Dạng tiêm Cefazolin sodium 100 mg/ml
3201
Tương thích
Dạng tiêm Alprostadil 15 µg/ml
Dạng tiêm Cefotaxime sodium 100 mg/ml
3201
Tương thích
Dạng tiêm Alprostadil 15 µg/ml
Dạng tiêm Chlorothiazide sodium 25 mg/ml
3201
Lượng mưa ngay lập tức Không tương thích
Dạng tiêm Alprostadil 20 µg/ml
Dạng tiêm Cisatracurium besylate 1,2 mg/ml
Glucose 5% 4651
Tương thích
Dạng tiêm Alprostadil 20 µg/ml
Dinh dưỡng đường tĩnh mạch (có lipids) 4507
Lượng mưa ngay lập tức Không tương thích
Dạng tiêm Alprostadil 20 µg/ml
Dạng tiêm Cisatracurium besylate 1,2 mg/ml
Glucose 5% 4491
Độ đục ngay lập tức Không tương thích
Dạng tiêm Alprostadil 20 µg/ml
Dạng tiêm Dexmedetomidine 4 µg/ml
Glucose 5% 4651
Tương thích
Dạng tiêm Alprostadil 20 µg/ml
Dạng tiêm Dexmedetomidine 4 µg/ml
Glucose 5% 4491
Tương thích
Dạng tiêm Alprostadil 500 µg/ml
Dạng tiêm Dexmedetomidine 100 µg/ml
4389
Tương thích
Dạng tiêm Alprostadil 20 µg/ml
Dạng tiêm Dobutamine hydrochloride 10 mg/ml
Glucose 5% 4651
Tương thích
Dạng tiêm Alprostadil 15 µg/ml
Dạng tiêm Dobutamine hydrochloride 3 mg/ml
3201
Tương thích
Dạng tiêm Alprostadil 20 µg/ml
Dạng tiêm Dobutamine hydrochloride 10 mg/ml
Glucose 5% 4491
Tương thích
Dạng tiêm Alprostadil 20 µg/ml
Dạng tiêm Dopamine hydrochloride 10 mg/ml
Glucose 5% 4651
Tương thích
Dạng tiêm Alprostadil 15 µg/ml
Dạng tiêm Dopamine hydrochloride 3 mg/ml
3201
Tương thích
Dạng tiêm Alprostadil 20 µg/ml
Dạng tiêm Dopamine hydrochloride 10 mg/ml
Glucose 5% 4491
Tương thích
Dạng tiêm Alprostadil 20 µg/ml
Dạng tiêm Epinephrine hydrochloride 0,2 µg/ml
Glucose 5% 4491
Tương thích
Dạng tiêm Alprostadil 20 µg/ml
Dạng tiêm Epinephrine hydrochloride 200 µg/ml
Glucose 5% 4651
Tương thích
Dạng tiêm Alprostadil 20 µg/ml
Dạng tiêm Fentanyl citrate 40 µg/ml
Glucose 5% 4651
Tương thích
Dạng tiêm Alprostadil 15 µg/ml
Dạng tiêm Fentanyl citrate 10 µg/ml
3201
Tương thích
Dạng tiêm Alprostadil 20 µg/ml
Dạng tiêm Fentanyl citrate 40 µg/ml
NaCl 0,9% 4491
Tương thích
Dạng tiêm Alprostadil 20 µg/ml
Dạng tiêm Flecainide acetate 2 mg/ml
Glucose 5% 4491
Tương thích
Dạng tiêm Alprostadil 20 µg/ml
Dạng tiêm Flecainide acetate 2 mg/ml
Glucose 5% 4651
Tương thích
Dạng tiêm Alprostadil 15 µg/ml
Dạng tiêm Furosemide 5 mg/ml
3201
Tương thích
Dạng tiêm Alprostadil 20 µg/ml
Dạng tiêm Furosemide 5 mg/ml
Glucose 5% 4651
Tương thích
Dạng tiêm Alprostadil 20 µg/ml
Dạng tiêm Furosemide 5 mg/ml
NaCl 0,9% 4491
Tương thích
Dạng tiêm Alprostadil 1 µg/ml
Dạng tiêm Furosemide 10 mg/ml
NaCl 0,9% 4570
Tương thích
Dạng tiêm Alprostadil 15 µg/ml
Dạng tiêm Gentamicin sulfate 1 mg/ml
3201
Tương thích
Dạng tiêm Alprostadil 20 µg/ml
Dạng tiêm Heparin sodium 1 UI/ml
NaCl 0,9% 4491
Tương thích
Dạng tiêm Alprostadil 20 µg/ml
Dạng tiêm Heparin sodium 1 UI/ml
Glucose 5% 4651
Độ đục ngay lập tức Không tương thích
Dạng tiêm Alprostadil 20 µg/ml
Dạng tiêm Insulin 1 UI/ml
Glucose 5% 4491
Lượng mưa ngay lập tức Không tương thích
Dạng tiêm Alprostadil 20 µg/ml
Dạng tiêm Insulin 1 UI/ml
NaCl 0,9% 4651
Tương thích
Dạng tiêm Alprostadil 500 µg/ml
Dạng tiêm Ketamine hydrochloride 50 mg/ml
4389
Tương thích
Dạng tiêm Alprostadil 20 µg/ml
Dạng tiêm Ketamine hydrochloride 5 mg/ml
Glucose 5% 4651
Tương thích
Dạng tiêm Alprostadil 20 µg/ml
Dạng tiêm Ketamine hydrochloride 5 mg/ml
Glucose 5% 4491
Lượng mưa ngay lập tức Không tương thích
Dạng tiêm Alprostadil 500 µg/ml
Dạng tiêm Levofloxacine 5 mg/ml
Glucose 5% 1072
Tương thích
Dạng tiêm Alprostadil 15 µg/ml
Dạng tiêm Methylprednisolone sodium succinate 40 mg/ml
3201
Tương thích
Dạng tiêm Alprostadil 20 µg/ml
Dạng tiêm Midazolam hydrochloride 2,5 mg/ml
Glucose 5% 4491
Tương thích
Dạng tiêm Alprostadil 20 µg/ml
Dạng tiêm Midazolam hydrochloride 2,5 mg/ml
Glucose 5% 4651
Tương thích
Dạng tiêm Alprostadil 20 µg/ml
Dạng tiêm Milrinone lactate 0,5 mg/ml
Glucose 5% 4491
Tương thích
Dạng tiêm Alprostadil 500 µg/ml
Dạng tiêm Milrinone lactate 1 mg/ml
4389
Tương thích
Dạng tiêm Alprostadil 20 µg/ml
Dạng tiêm Milrinone lactate 0,5 mg/ml
Glucose 5% 4651
Tương thích
Dạng tiêm Alprostadil 20 µg/ml
Dạng tiêm Morphine hydrochloride 2 mg/ml
Glucose 5% 4651
Lượng mưa sau 4 giờ Không tương thích
Dạng tiêm Alprostadil 20 µg/ml
Dạng tiêm Norepinephrine bitartrate 0,5 mg/ml
Glucose 5% 4491
Lượng mưa sau 4 giờ Không tương thích
Dạng tiêm Alprostadil 20 µg/ml
Dạng tiêm Norepinephrine bitartrate 0,5 mg/ml
Glucose 5% 4651
Tương thích
Dạng tiêm Alprostadil
Dạng tiêm Pantoprazole sodium
2090
Không tương thích
Dạng tiêm Alprostadil
Dạng tiêm Papaverine hydrochloride
2150
Tương thích
Dạng tiêm Alprostadil
NaCl 0,9% 4954
Tương thích
Dạng tiêm Alprostadil 6 µg/ml
Dạng tiêm Pentoxifyllin 5 mg/ml
NaCl 0,9% 4543
Không tương thích
Dạng tiêm Alprostadil
Dạng tiêm Phentolamine mesylate
2150
Tương thích
Dạng tiêm Alprostadil 20 µg/ml
Dạng tiêm Sildenafil citrate 0,6 mg/ml
Glucose 5% 4845
Tương thích
Dạng tiêm Alprostadil 15 µg/ml
Dạng tiêm Tobramycin sulfate 1 mg/ml
3201
Tương thích
Dạng tiêm Alprostadil 15 µg/ml
Dạng tiêm Vancomycin hydrochloride 5 mg/ml
3201
Tương thích
Dạng tiêm Alprostadil 15 µg/ml
Dạng tiêm Vecuronium bromide 1 mg/ml
3201

  Mentions Légales