Utolsó frissítés :
27/11/2025
Értágító   Alprostadil  
Injekció
Az oldatok stabilitása A keverékek stabilitása Stabilitást befolyásoló tényezők Kompatibilitás Az alkalmazás módja Irodalom pdf
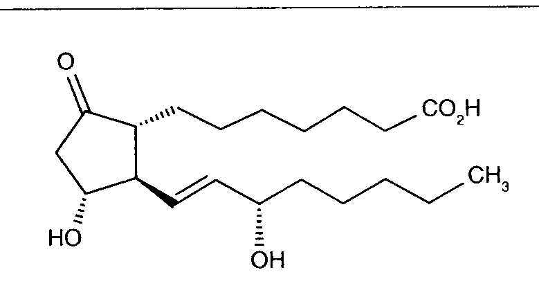
   Kémiai szerkezet   

Kereskedelmi név   Kereskedelmi név     

A kereskedelmi név meghatározó jelentőségű: a készítmények összetétele országonként, előállítóként eltérő lehet

Alfaprostin Egyiptom
Alistint Mexikó, Peru
Alprostadil Amerikai Egyesült Államok, Argentína, Ausztrália, Chile, Ecuador, Kanada, Malaysia, Németország, Peru, Románia, Spanyolország, Szaúd-Arábiában, Törökország
Alprostapint Argentína, Ausztria, Colombia, Ecuador, Magyarország, Peru
Alprostar Olaszország
Aplicav
Cardiobonisol Lengyelország
Caverject Amerikai Egyesült Államok, Ausztria, Belgium, Brazília, Chile, Colombia, Dánia, Egyesült Arab Emírségek, Franciaország, Kanada, Lengyelország, Nagy-Britannia, Norvégia, Olaszország, Portugália, Spanyolország, Svájc, Svédország, Szlovénia, Törökország
Edex Amerikai Egyesült Államok, Franciaország, Görögország, Tunézia
Liple Japán
Minprog Ausztria, Németország
Ostapint Mexikó, Peru
Palux Japán
Pridax Ausztria, Németország, Románia, Spanyolország
Prolisina VR Argentína
Prostandin Japán
Prostavasin Ausztria, Egyiptom, Irán, Lengyelország, Luxemburg, Magyarország, Németország, Olaszország
Prostin VR Amerikai Egyesült Államok, Belgium, Colombia, Dánia, Finnország, Görögország, Hollandia, Horvátország, Irán, Kanada, Lengyelország, Luxemburg, Magyarország, Malaysia, Nagy-Britannia, Norvégia, Olaszország, Portugália, Svájc, Szaúd-Arábiában, Venezuela
Prostine VR Franciaország
Vasaprostan Románia
Kompatibilitás   Injekció   Kompatibilitás : Alprostadil              
Ovdje su prikazane kompatibilnosti ili nekompatibilnosti s tipom nekompatibilnosti (taloženje, promjena boje, modifikacija emulzije itd.) u ovom slučaju. Kompatibilnosti prikazane ovdje najčešće su fizikalne dok se kemijska stabilnost molekule rijetko procjenjuje. Procjena ovih mikstura je proučavana kako bi se razmotrila mogućnost primjene lijeka putem Y-mjesta. Ovi se podaci ne smiju koristiti za pripremu mikstura unaprijed u vrećicama ili štrcaljkama. Ova vrsta informacije se može pronaći u odjeljku « stabilnost u miksturama ».
Vegyület Oldószer Irodalom
Összeegyeztethető
Injekció Alprostadil 20 µg/ml
Injekció Caffeine citrate 20 mg/ml
0,9% nátrium-klorid 4837
Összeegyeztethető
Injekció Alprostadil
5% glükóz 4954
Összeegyeztethető
Injekció Alprostadil 20 µg/ml
Injekció Amiodarone hydrochloride 6 mg/ml
5% glükóz 4651
Összeegyeztethető
Injekció Alprostadil 20 µg/ml
Injekció Amiodarone hydrochloride 6 mg/ml
5% glükóz 4491
Összeegyeztethető
Injekció Alprostadil 15 µg/ml
Injekció Ampicillin sodium 100 mg/ml
3201
Összeegyeztethető
Injekció Alprostadil 20 µg/ml
Injekció Caffeine 10 mg/ml
0,9% nátrium-klorid 4837
Összeegyeztethető
Injekció Alprostadil 20 µg/ml
Injekció Calcium gluconate 10 mg/ml
5% glükóz 4651
Összeegyeztethető
Injekció Alprostadil 20 µg/ml
Injekció Calcium gluconate 0,04 mg/ml
10% glükóz 4491
Összeegyeztethető
Injekció Alprostadil 15 µg/ml
Injekció Cefazolin sodium 100 mg/ml
3201
Összeegyeztethető
Injekció Alprostadil 15 µg/ml
Injekció Cefotaxime sodium 100 mg/ml
3201
Összeegyeztethető
Injekció Alprostadil 15 µg/ml
Injekció Chlorothiazide sodium 25 mg/ml
3201
Azonnali csapadék Összeegyeztethetetlen
Injekció Alprostadil 20 µg/ml
Injekció Cisatracurium besylate 1,2 mg/ml
5% glükóz 4651
Összeegyeztethető
Injekció Alprostadil 20 µg/ml
Parenterális táplálás (lipid) 4507
Azonnali csapadék Összeegyeztethetetlen
Injekció Alprostadil 20 µg/ml
Injekció Cisatracurium besylate 1,2 mg/ml
5% glükóz 4491
Azonnali zavarosság Összeegyeztethetetlen
Injekció Alprostadil 20 µg/ml
Injekció Dexmedetomidine 4 µg/ml
5% glükóz 4651
Összeegyeztethető
Injekció Alprostadil 20 µg/ml
Injekció Dexmedetomidine 4 µg/ml
5% glükóz 4491
Összeegyeztethető
Injekció Alprostadil 500 µg/ml
Injekció Dexmedetomidine 100 µg/ml
4389
Összeegyeztethető
Injekció Alprostadil 20 µg/ml
Injekció Dobutamine hydrochloride 10 mg/ml
5% glükóz 4651
Összeegyeztethető
Injekció Alprostadil 15 µg/ml
Injekció Dobutamine hydrochloride 3 mg/ml
3201
Összeegyeztethető
Injekció Alprostadil 20 µg/ml
Injekció Dobutamine hydrochloride 10 mg/ml
5% glükóz 4491
Összeegyeztethető
Injekció Alprostadil 20 µg/ml
Injekció Dopamine hydrochloride 10 mg/ml
5% glükóz 4651
Összeegyeztethető
Injekció Alprostadil 15 µg/ml
Injekció Dopamine hydrochloride 3 mg/ml
3201
Összeegyeztethető
Injekció Alprostadil 20 µg/ml
Injekció Dopamine hydrochloride 10 mg/ml
5% glükóz 4491
Összeegyeztethető
Injekció Alprostadil 20 µg/ml
Injekció Epinephrine hydrochloride 0,2 µg/ml
5% glükóz 4491
Összeegyeztethető
Injekció Alprostadil 20 µg/ml
Injekció Epinephrine hydrochloride 200 µg/ml
5% glükóz 4651
Összeegyeztethető
Injekció Alprostadil 20 µg/ml
Injekció Fentanyl citrate 40 µg/ml
5% glükóz 4651
Összeegyeztethető
Injekció Alprostadil 15 µg/ml
Injekció Fentanyl citrate 10 µg/ml
3201
Összeegyeztethető
Injekció Alprostadil 20 µg/ml
Injekció Fentanyl citrate 40 µg/ml
0,9% nátrium-klorid 4491
Összeegyeztethető
Injekció Alprostadil 20 µg/ml
Injekció Flecainide acetate 2 mg/ml
5% glükóz 4491
Összeegyeztethető
Injekció Alprostadil 20 µg/ml
Injekció Flecainide acetate 2 mg/ml
5% glükóz 4651
Összeegyeztethető
Injekció Alprostadil 15 µg/ml
Injekció Furosemide 5 mg/ml
3201
Összeegyeztethető
Injekció Alprostadil 20 µg/ml
Injekció Furosemide 5 mg/ml
5% glükóz 4651
Összeegyeztethető
Injekció Alprostadil 20 µg/ml
Injekció Furosemide 5 mg/ml
0,9% nátrium-klorid 4491
Összeegyeztethető
Injekció Alprostadil 1 µg/ml
Injekció Furosemide 10 mg/ml
0,9% nátrium-klorid 4570
Összeegyeztethető
Injekció Alprostadil 15 µg/ml
Injekció Gentamicin sulfate 1 mg/ml
3201
Összeegyeztethető
Injekció Alprostadil 20 µg/ml
Injekció Heparin sodium 1 UI/ml
0,9% nátrium-klorid 4491
Összeegyeztethető
Injekció Alprostadil 20 µg/ml
Injekció Heparin sodium 1 UI/ml
5% glükóz 4651
Azonnali zavarosság Összeegyeztethetetlen
Injekció Alprostadil 20 µg/ml
Injekció Insulin 1 UI/ml
5% glükóz 4491
Azonnali csapadék Összeegyeztethetetlen
Injekció Alprostadil 20 µg/ml
Injekció Insulin 1 UI/ml
0,9% nátrium-klorid 4651
Összeegyeztethető
Injekció Alprostadil 500 µg/ml
Injekció Ketamine hydrochloride 50 mg/ml
4389
Összeegyeztethető
Injekció Alprostadil 20 µg/ml
Injekció Ketamine hydrochloride 5 mg/ml
5% glükóz 4651
Összeegyeztethető
Injekció Alprostadil 20 µg/ml
Injekció Ketamine hydrochloride 5 mg/ml
5% glükóz 4491
Azonnali csapadék Összeegyeztethetetlen
Injekció Alprostadil 500 µg/ml
Injekció Levofloxacine 5 mg/ml
5% glükóz 1072
Összeegyeztethető
Injekció Alprostadil 15 µg/ml
Injekció Methylprednisolone sodium succinate 40 mg/ml
3201
Összeegyeztethető
Injekció Alprostadil 20 µg/ml
Injekció Midazolam hydrochloride 2,5 mg/ml
5% glükóz 4491
Összeegyeztethető
Injekció Alprostadil 20 µg/ml
Injekció Midazolam hydrochloride 2,5 mg/ml
5% glükóz 4651
Összeegyeztethető
Injekció Alprostadil 20 µg/ml
Injekció Milrinone lactate 0,5 mg/ml
5% glükóz 4491
Összeegyeztethető
Injekció Alprostadil 500 µg/ml
Injekció Milrinone lactate 1 mg/ml
4389
Összeegyeztethető
Injekció Alprostadil 20 µg/ml
Injekció Milrinone lactate 0,5 mg/ml
5% glükóz 4651
Összeegyeztethető
Injekció Alprostadil 20 µg/ml
Injekció Morphine hydrochloride 2 mg/ml
5% glükóz 4651
Csapadék 4 óra után Összeegyeztethetetlen
Injekció Alprostadil 20 µg/ml
Injekció Norepinephrine bitartrate 0,5 mg/ml
5% glükóz 4491
Csapadék 4 óra után Összeegyeztethetetlen
Injekció Alprostadil 20 µg/ml
Injekció Norepinephrine bitartrate 0,5 mg/ml
5% glükóz 4651
Összeegyeztethető
Injekció Alprostadil
Injekció Pantoprazole sodium
2090
Összeegyeztethetetlen
Injekció Alprostadil
Injekció Papaverine hydrochloride
2150
Összeegyeztethető
Injekció Alprostadil
0,9% nátrium-klorid 4954
Összeegyeztethető
Injekció Alprostadil 6 µg/ml
Injekció Pentoxifyllin 5 mg/ml
0,9% nátrium-klorid 4543
Összeegyeztethetetlen
Injekció Alprostadil
Injekció Phentolamine mesylate
2150
Összeegyeztethető
Injekció Alprostadil 20 µg/ml
Injekció Sildenafil citrate 0,6 mg/ml
5% glükóz 4845
Összeegyeztethető
Injekció Alprostadil 15 µg/ml
Injekció Tobramycin sulfate 1 mg/ml
3201
Összeegyeztethető
Injekció Alprostadil 15 µg/ml
Injekció Vancomycin hydrochloride 5 mg/ml
3201
Összeegyeztethető
Injekció Alprostadil 15 µg/ml
Injekció Vecuronium bromide 1 mg/ml
3201

  Mentions Légales