Seneste opdatering :
27/04/2026
Vasodilator   Alprostadil  
Injektion
Stabilitet i (vandige) opløsninger Stabilitet i blandinger Faktorer der påvirker stabiliteten Kompatibilitet Administrationsvej Bibliografi pdf
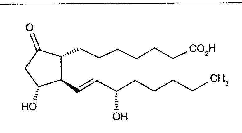
   Kemisk struktur  

Handelsnavn   Handelsnavn     

Handel navne er vejledende og hjælpestoffer sammensætning kan være forskellig afhængigt af landet og laboratorier

Alfaprostin Ægypten
Alistint Marokko, Mexico
Alprostadil Argentina, Australien, Canada, Chile, Ecuador, Malaysia, Marokko, Rumænien, Saudi-Arabien, Spanien, Tyrkiet, Tyskland, USA
Alprostapint Argentina, Colombia, Ecuador, Marokko, Ungarn, Østrig
Alprostar Italien
Aplicav
Cardiobonisol Polen
Caverject Belgien, Brasilien, Canada, Chile, Colombia, Danmark, Forenede Arabiske Emirater, Frankrig, Italien, Norge, Polen, Portugal, Schweiz, Slovenien, Spanien, Storbritanien, Sverige, Tyrkiet, USA, Østrig
Edex Frankrig, Grækenland, Tunesien, USA
Liple Japan
Minprog Tyskland, Østrig
Ostapint Marokko, Mexico
Palux Japan
Pridax Rumænien, Spanien, Tyskland, Østrig
Prolisina VR Argentina
Prostandin Japan
Prostavasin Iran, Italien, Luxemborg, Polen, Tyskland, Ungarn, Ægypten, Østrig
Prostin VR Belgien, Canada, Colombia, Danmark, Finland, Grækenland, Holland, Iran, Italien, Kroatien, Luxemborg, Malaysia, Norge, Polen, Portugal, Saudi-Arabien, Schweiz, Storbritanien, Ungarn, USA, Venezuela
Prostine VR Frankrig
Vasaprostan Rumænien
Kompatibilitet   Injektion   Kompatibilitet : Alprostadil              
Denne skærm viser kompatibilitet eller uforenelighed med, i dette tilfælde typen af inkompatibilitet (udfældning, farveændring, ændring af en emulsion osv.). Kompatibiliteterne vist her er for det meste kun fysiske, idet den kemiske stabilitet af hvert molekyle sjældent vurderes. Evalueringen af disse blandinger blev undersøgt for at overveje muligheden for Y-sted-administration til patienten. Disse data kan ikke bruges til at fremstille blandinger på forhånd i poser eller sprøjter. Denne type information findes på skærmen "Stabilitet i blanding".
Molekyle Opløsningsmiddel Bibliografi
Kompatibel
Injektion Alprostadil 20 µg/ml
Injektion Caffeine citrate 20 mg/ml
0,9 % Natriumklorid 4837
Kompatibel
Injektion Alprostadil
5 % Glukose 4954
Kompatibel
Injektion Alprostadil 20 µg/ml
Injektion Amiodarone hydrochloride 6 mg/ml
5 % Glukose 4651
Kompatibel
Injektion Alprostadil 20 µg/ml
Injektion Amiodarone hydrochloride 6 mg/ml
5 % Glukose 4491
Kompatibel
Injektion Alprostadil 15 µg/ml
Injektion Ampicillin sodium 100 mg/ml
3201
Kompatibel
Injektion Alprostadil 20 µg/ml
Injektion Caffeine 10 mg/ml
0,9 % Natriumklorid 4837
Kompatibel
Injektion Alprostadil 20 µg/ml
Injektion Calcium gluconate 10 mg/ml
5 % Glukose 4651
Kompatibel
Injektion Alprostadil 20 µg/ml
Injektion Calcium gluconate 0,04 mg/ml
10% Glucose 4491
Kompatibel
Injektion Alprostadil 15 µg/ml
Injektion Cefazolin sodium 100 mg/ml
3201
Kompatibel
Injektion Alprostadil 15 µg/ml
Injektion Cefotaxime sodium 100 mg/ml
3201
Kompatibel
Injektion Alprostadil 15 µg/ml
Injektion Chlorothiazide sodium 25 mg/ml
3201
Umiddelbar nedbør Uforenelig
Injektion Alprostadil 20 µg/ml
Injektion Cisatracurium besylate 1,2 mg/ml
5 % Glukose 4651
Kompatibel
Injektion Alprostadil 20 µg/ml
Parenteral ernæring (lipider) 4507
Umiddelbar nedbør Uforenelig
Injektion Alprostadil 20 µg/ml
Injektion Cisatracurium besylate 1,2 mg/ml
5 % Glukose 4491
Umiddelbar turbiditet Uforenelig
Injektion Alprostadil 20 µg/ml
Injektion Dexmedetomidine 4 µg/ml
5 % Glukose 4651
Kompatibel
Injektion Alprostadil 20 µg/ml
Injektion Dexmedetomidine 4 µg/ml
5 % Glukose 4491
Kompatibel
Injektion Alprostadil 500 µg/ml
Injektion Dexmedetomidine 100 µg/ml
4389
Kompatibel
Injektion Alprostadil 20 µg/ml
Injektion Dobutamine hydrochloride 10 mg/ml
5 % Glukose 4651
Kompatibel
Injektion Alprostadil 15 µg/ml
Injektion Dobutamine hydrochloride 3 mg/ml
3201
Kompatibel
Injektion Alprostadil 20 µg/ml
Injektion Dobutamine hydrochloride 10 mg/ml
5 % Glukose 4491
Kompatibel
Injektion Alprostadil 20 µg/ml
Injektion Dopamine hydrochloride 10 mg/ml
5 % Glukose 4651
Kompatibel
Injektion Alprostadil 15 µg/ml
Injektion Dopamine hydrochloride 3 mg/ml
3201
Kompatibel
Injektion Alprostadil 20 µg/ml
Injektion Dopamine hydrochloride 10 mg/ml
5 % Glukose 4491
Kompatibel
Injektion Alprostadil 20 µg/ml
Injektion Epinephrine hydrochloride 0,2 µg/ml
5 % Glukose 4491
Kompatibel
Injektion Alprostadil 20 µg/ml
Injektion Epinephrine hydrochloride 200 µg/ml
5 % Glukose 4651
Kompatibel
Injektion Alprostadil 20 µg/ml
Injektion Fentanyl citrate 40 µg/ml
5 % Glukose 4651
Kompatibel
Injektion Alprostadil 15 µg/ml
Injektion Fentanyl citrate 10 µg/ml
3201
Kompatibel
Injektion Alprostadil 20 µg/ml
Injektion Fentanyl citrate 40 µg/ml
0,9 % Natriumklorid 4491
Kompatibel
Injektion Alprostadil 20 µg/ml
Injektion Flecainide acetate 2 mg/ml
5 % Glukose 4491
Kompatibel
Injektion Alprostadil 20 µg/ml
Injektion Flecainide acetate 2 mg/ml
5 % Glukose 4651
Kompatibel
Injektion Alprostadil 15 µg/ml
Injektion Furosemide 5 mg/ml
3201
Kompatibel
Injektion Alprostadil 20 µg/ml
Injektion Furosemide 5 mg/ml
5 % Glukose 4651
Kompatibel
Injektion Alprostadil 20 µg/ml
Injektion Furosemide 5 mg/ml
0,9 % Natriumklorid 4491
Kompatibel
Injektion Alprostadil 1 µg/ml
Injektion Furosemide 10 mg/ml
0,9 % Natriumklorid 4570
Kompatibel
Injektion Alprostadil 15 µg/ml
Injektion Gentamicin sulfate 1 mg/ml
3201
Kompatibel
Injektion Alprostadil 20 µg/ml
Injektion Heparin sodium 1 UI/ml
0,9 % Natriumklorid 4491
Kompatibel
Injektion Alprostadil 20 µg/ml
Injektion Heparin sodium 1 UI/ml
5 % Glukose 4651
Umiddelbar turbiditet Uforenelig
Injektion Alprostadil 20 µg/ml
Injektion Insulin 1 UI/ml
5 % Glukose 4491
Umiddelbar nedbør Uforenelig
Injektion Alprostadil 20 µg/ml
Injektion Insulin 1 UI/ml
0,9 % Natriumklorid 4651
Kompatibel
Injektion Alprostadil 500 µg/ml
Injektion Ketamine hydrochloride 50 mg/ml
4389
Kompatibel
Injektion Alprostadil 20 µg/ml
Injektion Ketamine hydrochloride 5 mg/ml
5 % Glukose 4651
Kompatibel
Injektion Alprostadil 20 µg/ml
Injektion Ketamine hydrochloride 5 mg/ml
5 % Glukose 4491
Umiddelbar nedbør Uforenelig
Injektion Alprostadil 500 µg/ml
Injektion Levofloxacine 5 mg/ml
5 % Glukose 1072
Kompatibel
Injektion Alprostadil 15 µg/ml
Injektion Methylprednisolone sodium succinate 40 mg/ml
3201
Kompatibel
Injektion Alprostadil 20 µg/ml
Injektion Midazolam hydrochloride 2,5 mg/ml
5 % Glukose 4491
Kompatibel
Injektion Alprostadil 20 µg/ml
Injektion Midazolam hydrochloride 2,5 mg/ml
5 % Glukose 4651
Kompatibel
Injektion Alprostadil 20 µg/ml
Injektion Milrinone lactate 0,5 mg/ml
5 % Glukose 4491
Kompatibel
Injektion Alprostadil 500 µg/ml
Injektion Milrinone lactate 1 mg/ml
4389
Kompatibel
Injektion Alprostadil 20 µg/ml
Injektion Milrinone lactate 0,5 mg/ml
5 % Glukose 4651
Kompatibel
Injektion Alprostadil 20 µg/ml
Injektion Morphine hydrochloride 2 mg/ml
5 % Glukose 4651
Nedbør efter 4 timer Uforenelig
Injektion Alprostadil 20 µg/ml
Injektion Norepinephrine bitartrate 0,5 mg/ml
5 % Glukose 4491
Nedbør efter 4 timer Uforenelig
Injektion Alprostadil 20 µg/ml
Injektion Norepinephrine bitartrate 0,5 mg/ml
5 % Glukose 4651
Kompatibel
Injektion Alprostadil
Injektion Pantoprazole sodium
2090
Uforenelig
Injektion Alprostadil
Injektion Papaverine hydrochloride
2150
Kompatibel
Injektion Alprostadil
0,9 % Natriumklorid 4954
Kompatibel
Injektion Alprostadil 6 µg/ml
Injektion Pentoxifyllin 5 mg/ml
0,9 % Natriumklorid 4543
Uforenelig
Injektion Alprostadil
Injektion Phentolamine mesylate
2150
Kompatibel
Injektion Alprostadil 20 µg/ml
Injektion Sildenafil citrate 0,6 mg/ml
5 % Glukose 4845
Kompatibel
Injektion Alprostadil 15 µg/ml
Injektion Tobramycin sulfate 1 mg/ml
3201
Kompatibel
Injektion Alprostadil 15 µg/ml
Injektion Vancomycin hydrochloride 5 mg/ml
3201
Kompatibel
Injektion Alprostadil 15 µg/ml
Injektion Vecuronium bromide 1 mg/ml
3201

  Mentions Légales