Последнее обновление :
27/04/2026
Сосудорасширяющее средство   Alprostadil  
Инъекция
Стабильность растворов Стабильность смесей Факторы, которые влияют на стабильность Совместимость Способы введения Библиография pdf
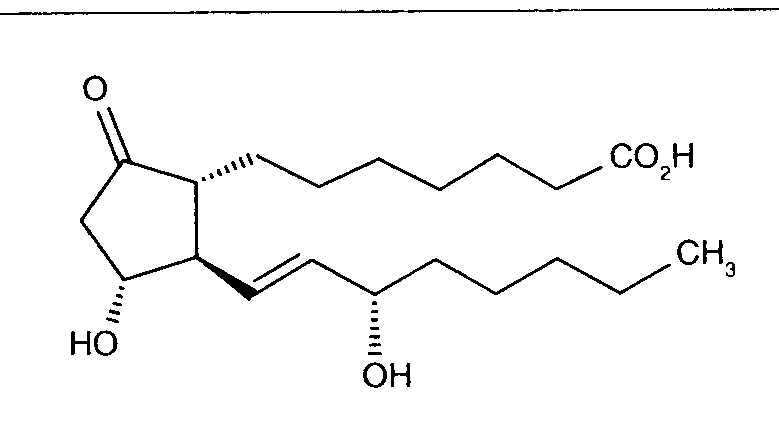
   Химическая структура  

Товарное название   Товарное название     

Trade names are indicative and excipients composition can be different depending on the country and manufacturers

Alfaprostin Египет
Alistint Мексика, Перу
Alprostadil Австралия, Аргентина, Германия, Испания, Канада, Малайзия, Перу, Румыния, Саудовская Аравия, Соединённые Штаты Америки, Турция, чили, Эквадор
Alprostapint Австрия, Аргентина, Венгрия, Колумбия, Перу, Эквадор
Alprostar Италия
Aplicav
Cardiobonisol Польша
Caverject Австрия, Бельгия, Бразилия, Великобритания, Дания, Испания, Италия, Канада, Колумбия, Норвегия, Объединенные Арабские Эмираты, Польша, Португалия, Словения, Соединённые Штаты Америки, Турция, Франция, чили, Швейцария, Швеция
Edex Греция, Соединённые Штаты Америки, Тунис, Франция
Liple Япония
Minprog Австрия, Германия
Ostapint Мексика, Перу
Palux Япония
Pridax Австрия, Германия, Испания, Румыния
Prolisina VR Аргентина
Prostandin Япония
Prostavasin Австрия, Венгрия, Германия, Египет, Иран, Италия, Люксембург, Польша
Prostin VR Бельгия, Великобритания, Венгрия, Венесуэла, Голландия, Греция, Дания, Иран, Италия, Канада, Колумбия, Люксембург, Малайзия, Норвегия, Польша, Португалия, Саудовская Аравия, Соединённые Штаты Америки, Финляндия, Хорватия, Швейцария
Prostine VR Франция
Vasaprostan Румыния
Совместимость   Инъекция   Совместимость : Alprostadil              
Эта таблица показывает совместимость или несовместимость препаратов, по возможности тип несовместимости (преципитат, смена цвета, разложение эмульсии и др.). Показанные здесь совместимости в основном физические, по возможности указана и химическая стабильность каждой молекулы. Анализ этих смесей произведён для исследования возможности ввести препараты пациенту в Y-соединении систем. Эти данные нельзя использовать, чтобы приготовить лекарства на будущее в мешках или шприцах. Эта информация доступна в разделе "Стабильность смесей".
Молекула Растворитель Ссылки
совместимый
Инъекция Alprostadil 20 µg/ml
Инъекция Caffeine citrate 20 mg/ml
Натрия хлорид 0,9% 4837
совместимый
Инъекция Alprostadil
Глюкоза 5% 4954
совместимый
Инъекция Alprostadil 20 µg/ml
Инъекция Amiodarone hydrochloride 6 mg/ml
Глюкоза 5% 4651
совместимый
Инъекция Alprostadil 20 µg/ml
Инъекция Amiodarone hydrochloride 6 mg/ml
Глюкоза 5% 4491
совместимый
Инъекция Alprostadil 15 µg/ml
Инъекция Ampicillin sodium 100 mg/ml
3201
совместимый
Инъекция Alprostadil 20 µg/ml
Инъекция Caffeine 10 mg/ml
Натрия хлорид 0,9% 4837
совместимый
Инъекция Alprostadil 20 µg/ml
Инъекция Calcium gluconate 10 mg/ml
Глюкоза 5% 4651
совместимый
Инъекция Alprostadil 20 µg/ml
Инъекция Calcium gluconate 0,04 mg/ml
Глюкоза 10% 4491
совместимый
Инъекция Alprostadil 15 µg/ml
Инъекция Cefazolin sodium 100 mg/ml
3201
совместимый
Инъекция Alprostadil 15 µg/ml
Инъекция Cefotaxime sodium 100 mg/ml
3201
совместимый
Инъекция Alprostadil 15 µg/ml
Инъекция Chlorothiazide sodium 25 mg/ml
3201
Немедленные осадки несовместимый
Инъекция Alprostadil 20 µg/ml
Инъекция Cisatracurium besylate 1,2 mg/ml
Глюкоза 5% 4651
совместимый
Инъекция Alprostadil 20 µg/ml
Парентеральное питание (с липидами) 4507
Немедленные осадки несовместимый
Инъекция Alprostadil 20 µg/ml
Инъекция Cisatracurium besylate 1,2 mg/ml
Глюкоза 5% 4491
Немедленная мутность несовместимый
Инъекция Alprostadil 20 µg/ml
Инъекция Dexmedetomidine 4 µg/ml
Глюкоза 5% 4651
совместимый
Инъекция Alprostadil 20 µg/ml
Инъекция Dexmedetomidine 4 µg/ml
Глюкоза 5% 4491
совместимый
Инъекция Alprostadil 500 µg/ml
Инъекция Dexmedetomidine 100 µg/ml
4389
совместимый
Инъекция Alprostadil 20 µg/ml
Инъекция Dobutamine hydrochloride 10 mg/ml
Глюкоза 5% 4651
совместимый
Инъекция Alprostadil 15 µg/ml
Инъекция Dobutamine hydrochloride 3 mg/ml
3201
совместимый
Инъекция Alprostadil 20 µg/ml
Инъекция Dobutamine hydrochloride 10 mg/ml
Глюкоза 5% 4491
совместимый
Инъекция Alprostadil 20 µg/ml
Инъекция Dopamine hydrochloride 10 mg/ml
Глюкоза 5% 4651
совместимый
Инъекция Alprostadil 15 µg/ml
Инъекция Dopamine hydrochloride 3 mg/ml
3201
совместимый
Инъекция Alprostadil 20 µg/ml
Инъекция Dopamine hydrochloride 10 mg/ml
Глюкоза 5% 4491
совместимый
Инъекция Alprostadil 20 µg/ml
Инъекция Epinephrine hydrochloride 0,2 µg/ml
Глюкоза 5% 4491
совместимый
Инъекция Alprostadil 20 µg/ml
Инъекция Epinephrine hydrochloride 200 µg/ml
Глюкоза 5% 4651
совместимый
Инъекция Alprostadil 20 µg/ml
Инъекция Fentanyl citrate 40 µg/ml
Глюкоза 5% 4651
совместимый
Инъекция Alprostadil 15 µg/ml
Инъекция Fentanyl citrate 10 µg/ml
3201
совместимый
Инъекция Alprostadil 20 µg/ml
Инъекция Fentanyl citrate 40 µg/ml
Натрия хлорид 0,9% 4491
совместимый
Инъекция Alprostadil 20 µg/ml
Инъекция Flecainide acetate 2 mg/ml
Глюкоза 5% 4491
совместимый
Инъекция Alprostadil 20 µg/ml
Инъекция Flecainide acetate 2 mg/ml
Глюкоза 5% 4651
совместимый
Инъекция Alprostadil 15 µg/ml
Инъекция Furosemide 5 mg/ml
3201
совместимый
Инъекция Alprostadil 20 µg/ml
Инъекция Furosemide 5 mg/ml
Глюкоза 5% 4651
совместимый
Инъекция Alprostadil 20 µg/ml
Инъекция Furosemide 5 mg/ml
Натрия хлорид 0,9% 4491
совместимый
Инъекция Alprostadil 1 µg/ml
Инъекция Furosemide 10 mg/ml
Натрия хлорид 0,9% 4570
совместимый
Инъекция Alprostadil 15 µg/ml
Инъекция Gentamicin sulfate 1 mg/ml
3201
совместимый
Инъекция Alprostadil 20 µg/ml
Инъекция Heparin sodium 1 UI/ml
Натрия хлорид 0,9% 4491
совместимый
Инъекция Alprostadil 20 µg/ml
Инъекция Heparin sodium 1 UI/ml
Глюкоза 5% 4651
Немедленная мутность несовместимый
Инъекция Alprostadil 20 µg/ml
Инъекция Insulin 1 UI/ml
Глюкоза 5% 4491
Немедленные осадки несовместимый
Инъекция Alprostadil 20 µg/ml
Инъекция Insulin 1 UI/ml
Натрия хлорид 0,9% 4651
совместимый
Инъекция Alprostadil 500 µg/ml
Инъекция Ketamine hydrochloride 50 mg/ml
4389
совместимый
Инъекция Alprostadil 20 µg/ml
Инъекция Ketamine hydrochloride 5 mg/ml
Глюкоза 5% 4651
совместимый
Инъекция Alprostadil 20 µg/ml
Инъекция Ketamine hydrochloride 5 mg/ml
Глюкоза 5% 4491
Немедленные осадки несовместимый
Инъекция Alprostadil 500 µg/ml
Инъекция Levofloxacine 5 mg/ml
Глюкоза 5% 1072
совместимый
Инъекция Alprostadil 15 µg/ml
Инъекция Methylprednisolone sodium succinate 40 mg/ml
3201
совместимый
Инъекция Alprostadil 20 µg/ml
Инъекция Midazolam hydrochloride 2,5 mg/ml
Глюкоза 5% 4491
совместимый
Инъекция Alprostadil 20 µg/ml
Инъекция Midazolam hydrochloride 2,5 mg/ml
Глюкоза 5% 4651
совместимый
Инъекция Alprostadil 20 µg/ml
Инъекция Milrinone lactate 0,5 mg/ml
Глюкоза 5% 4491
совместимый
Инъекция Alprostadil 500 µg/ml
Инъекция Milrinone lactate 1 mg/ml
4389
совместимый
Инъекция Alprostadil 20 µg/ml
Инъекция Milrinone lactate 0,5 mg/ml
Глюкоза 5% 4651
совместимый
Инъекция Alprostadil 20 µg/ml
Инъекция Morphine hydrochloride 2 mg/ml
Глюкоза 5% 4651
Осадки через 4 часа несовместимый
Инъекция Alprostadil 20 µg/ml
Инъекция Norepinephrine bitartrate 0,5 mg/ml
Глюкоза 5% 4491
Осадки через 4 часа несовместимый
Инъекция Alprostadil 20 µg/ml
Инъекция Norepinephrine bitartrate 0,5 mg/ml
Глюкоза 5% 4651
совместимый
Инъекция Alprostadil
Инъекция Pantoprazole sodium
2090
несовместимый
Инъекция Alprostadil
Инъекция Papaverine hydrochloride
2150
совместимый
Инъекция Alprostadil
Натрия хлорид 0,9% 4954
совместимый
Инъекция Alprostadil 6 µg/ml
Инъекция Pentoxifyllin 5 mg/ml
Натрия хлорид 0,9% 4543
несовместимый
Инъекция Alprostadil
Инъекция Phentolamine mesylate
2150
совместимый
Инъекция Alprostadil 20 µg/ml
Инъекция Sildenafil citrate 0,6 mg/ml
Глюкоза 5% 4845
совместимый
Инъекция Alprostadil 15 µg/ml
Инъекция Tobramycin sulfate 1 mg/ml
3201
совместимый
Инъекция Alprostadil 15 µg/ml
Инъекция Vancomycin hydrochloride 5 mg/ml
3201
совместимый
Инъекция Alprostadil 15 µg/ml
Инъекция Vecuronium bromide 1 mg/ml
3201

  Mentions Légales