zadnja posodobitev :
27/04/2026
Vazodilatator   Alprostadil  
Brizgalka
Stabilnost raztopine Stabilnost mešanice Faktorji, ki vplivajo na stabilnost Kompatibilnost način aplikacije Viri pdf
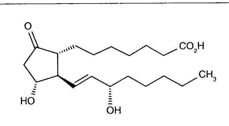
   Kemična formula  

Lastniško ime   Lastniško ime     

Sestava pomožnih snovi je med paralelami lahko različna

Alfaprostin Egipt
Alistint Mehika, Peru
Alprostadil Argentina, Avstralija, Čile, Ekvador, Kanada, Malezija, Nemčija, Peru, Romunija, Savdska Arabija, Španija, Turčija, Združene države Amerike
Alprostapint Argentina, Avstrija, Ekvador, Kolumbija, Madžarska, Peru
Alprostar Italija
Aplicav
Cardiobonisol Poljska
Caverject Avstrija, Belgija, Brazilija, Čile, Danska, Francija, Italija, Kanada, Kolumbija, Norveška, Poljska, Portugalska, Slovenija, Španija, Švedska, Švica, Turčija, Velika Britanija, Združene države Amerike, Združeni arabski emirati
Edex Francija, Grčija, Tunizija, Združene države Amerike
Liple Japonska
Minprog Avstrija, Nemčija
Ostapint Mehika, Peru
Palux Japonska
Pridax Avstrija, Nemčija, Romunija, Španija
Prolisina VR Argentina
Prostandin Japonska
Prostavasin Avstrija, Egipt, Iran, Italija, Luksemburg, Madžarska, Nemčija, Poljska
Prostin VR Belgija, Danska, Finska, Grčija, Hrvaška, Iran, Italija, Kanada, Kolumbija, Luksemburg, Madžarska, Malezija, Nizozemska, Norveška, Poljska, Portugalska, Savdska Arabija, Švica, Velika Britanija, Venezuela, Združene države Amerike
Prostine VR Francija
Vasaprostan Romunija
Kompatibilnost   Brizgalka   Kompatibilnost : Alprostadil              
Ta zaslon prikazuje združljivost ali nezdružljivost s, v tem primeru, vrsto nezdružljivosti (padavine, sprememba barve, sprememba emulzije itd.). Tu prikazane združljivosti so večinoma samo fizične, pri čemer se kemijska stabilnost vsake molekule redko ocenjuje. Vrednotenje teh zmesi so preučevali, da bi preučili možnost pacientovega dajanja na mestu Y. Teh podatkov ni mogoče uporabiti za pripravo mešanic v vrečkah ali brizgah. Ta vrsta informacij je na voljo na zaslonu "Obstojnost v mešanici".
Sestava Topilo Viri
Združljivo
Brizgalka Alprostadil 20 µg/ml
Brizgalka Caffeine citrate 20 mg/ml
Natrijev klorid 0,9% 4837
Združljivo
Brizgalka Alprostadil
Glukoza 5% 4954
Združljivo
Brizgalka Alprostadil 20 µg/ml
Brizgalka Amiodarone hydrochloride 6 mg/ml
Glukoza 5% 4651
Združljivo
Brizgalka Alprostadil 20 µg/ml
Brizgalka Amiodarone hydrochloride 6 mg/ml
Glukoza 5% 4491
Združljivo
Brizgalka Alprostadil 15 µg/ml
Brizgalka Ampicillin sodium 100 mg/ml
3201
Združljivo
Brizgalka Alprostadil 20 µg/ml
Brizgalka Caffeine 10 mg/ml
Natrijev klorid 0,9% 4837
Združljivo
Brizgalka Alprostadil 20 µg/ml
Brizgalka Calcium gluconate 10 mg/ml
Glukoza 5% 4651
Združljivo
Brizgalka Alprostadil 20 µg/ml
Brizgalka Calcium gluconate 0,04 mg/ml
Glucoza 10% 4491
Združljivo
Brizgalka Alprostadil 15 µg/ml
Brizgalka Cefazolin sodium 100 mg/ml
3201
Združljivo
Brizgalka Alprostadil 15 µg/ml
Brizgalka Cefotaxime sodium 100 mg/ml
3201
Združljivo
Brizgalka Alprostadil 15 µg/ml
Brizgalka Chlorothiazide sodium 25 mg/ml
3201
Takoj padavine Nezdružljivo
Brizgalka Alprostadil 20 µg/ml
Brizgalka Cisatracurium besylate 1,2 mg/ml
Glukoza 5% 4651
Združljivo
Brizgalka Alprostadil 20 µg/ml
Parenteralna prehrana (z lipidi) 4507
Takoj padavine Nezdružljivo
Brizgalka Alprostadil 20 µg/ml
Brizgalka Cisatracurium besylate 1,2 mg/ml
Glukoza 5% 4491
Takojšnja motnost Nezdružljivo
Brizgalka Alprostadil 20 µg/ml
Brizgalka Dexmedetomidine 4 µg/ml
Glukoza 5% 4651
Združljivo
Brizgalka Alprostadil 20 µg/ml
Brizgalka Dexmedetomidine 4 µg/ml
Glukoza 5% 4491
Združljivo
Brizgalka Alprostadil 500 µg/ml
Brizgalka Dexmedetomidine 100 µg/ml
4389
Združljivo
Brizgalka Alprostadil 20 µg/ml
Brizgalka Dobutamine hydrochloride 10 mg/ml
Glukoza 5% 4651
Združljivo
Brizgalka Alprostadil 15 µg/ml
Brizgalka Dobutamine hydrochloride 3 mg/ml
3201
Združljivo
Brizgalka Alprostadil 20 µg/ml
Brizgalka Dobutamine hydrochloride 10 mg/ml
Glukoza 5% 4491
Združljivo
Brizgalka Alprostadil 20 µg/ml
Brizgalka Dopamine hydrochloride 10 mg/ml
Glukoza 5% 4651
Združljivo
Brizgalka Alprostadil 15 µg/ml
Brizgalka Dopamine hydrochloride 3 mg/ml
3201
Združljivo
Brizgalka Alprostadil 20 µg/ml
Brizgalka Dopamine hydrochloride 10 mg/ml
Glukoza 5% 4491
Združljivo
Brizgalka Alprostadil 20 µg/ml
Brizgalka Epinephrine hydrochloride 0,2 µg/ml
Glukoza 5% 4491
Združljivo
Brizgalka Alprostadil 20 µg/ml
Brizgalka Epinephrine hydrochloride 200 µg/ml
Glukoza 5% 4651
Združljivo
Brizgalka Alprostadil 20 µg/ml
Brizgalka Fentanyl citrate 40 µg/ml
Glukoza 5% 4651
Združljivo
Brizgalka Alprostadil 15 µg/ml
Brizgalka Fentanyl citrate 10 µg/ml
3201
Združljivo
Brizgalka Alprostadil 20 µg/ml
Brizgalka Fentanyl citrate 40 µg/ml
Natrijev klorid 0,9% 4491
Združljivo
Brizgalka Alprostadil 20 µg/ml
Brizgalka Flecainide acetate 2 mg/ml
Glukoza 5% 4491
Združljivo
Brizgalka Alprostadil 20 µg/ml
Brizgalka Flecainide acetate 2 mg/ml
Glukoza 5% 4651
Združljivo
Brizgalka Alprostadil 15 µg/ml
Brizgalka Furosemide 5 mg/ml
3201
Združljivo
Brizgalka Alprostadil 20 µg/ml
Brizgalka Furosemide 5 mg/ml
Glukoza 5% 4651
Združljivo
Brizgalka Alprostadil 20 µg/ml
Brizgalka Furosemide 5 mg/ml
Natrijev klorid 0,9% 4491
Združljivo
Brizgalka Alprostadil 1 µg/ml
Brizgalka Furosemide 10 mg/ml
Natrijev klorid 0,9% 4570
Združljivo
Brizgalka Alprostadil 15 µg/ml
Brizgalka Gentamicin sulfate 1 mg/ml
3201
Združljivo
Brizgalka Alprostadil 20 µg/ml
Brizgalka Heparin sodium 1 UI/ml
Natrijev klorid 0,9% 4491
Združljivo
Brizgalka Alprostadil 20 µg/ml
Brizgalka Heparin sodium 1 UI/ml
Glukoza 5% 4651
Takojšnja motnost Nezdružljivo
Brizgalka Alprostadil 20 µg/ml
Brizgalka Insulin 1 UI/ml
Glukoza 5% 4491
Takoj padavine Nezdružljivo
Brizgalka Alprostadil 20 µg/ml
Brizgalka Insulin 1 UI/ml
Natrijev klorid 0,9% 4651
Združljivo
Brizgalka Alprostadil 500 µg/ml
Brizgalka Ketamine hydrochloride 50 mg/ml
4389
Združljivo
Brizgalka Alprostadil 20 µg/ml
Brizgalka Ketamine hydrochloride 5 mg/ml
Glukoza 5% 4651
Združljivo
Brizgalka Alprostadil 20 µg/ml
Brizgalka Ketamine hydrochloride 5 mg/ml
Glukoza 5% 4491
Takoj padavine Nezdružljivo
Brizgalka Alprostadil 500 µg/ml
Brizgalka Levofloxacine 5 mg/ml
Glukoza 5% 1072
Združljivo
Brizgalka Alprostadil 15 µg/ml
Brizgalka Methylprednisolone sodium succinate 40 mg/ml
3201
Združljivo
Brizgalka Alprostadil 20 µg/ml
Brizgalka Midazolam hydrochloride 2,5 mg/ml
Glukoza 5% 4491
Združljivo
Brizgalka Alprostadil 20 µg/ml
Brizgalka Midazolam hydrochloride 2,5 mg/ml
Glukoza 5% 4651
Združljivo
Brizgalka Alprostadil 20 µg/ml
Brizgalka Milrinone lactate 0,5 mg/ml
Glukoza 5% 4491
Združljivo
Brizgalka Alprostadil 500 µg/ml
Brizgalka Milrinone lactate 1 mg/ml
4389
Združljivo
Brizgalka Alprostadil 20 µg/ml
Brizgalka Milrinone lactate 0,5 mg/ml
Glukoza 5% 4651
Združljivo
Brizgalka Alprostadil 20 µg/ml
Brizgalka Morphine hydrochloride 2 mg/ml
Glukoza 5% 4651
Padavine po 4 urah Nezdružljivo
Brizgalka Alprostadil 20 µg/ml
Brizgalka Norepinephrine bitartrate 0,5 mg/ml
Glukoza 5% 4491
Padavine po 4 urah Nezdružljivo
Brizgalka Alprostadil 20 µg/ml
Brizgalka Norepinephrine bitartrate 0,5 mg/ml
Glukoza 5% 4651
Združljivo
Brizgalka Alprostadil
Brizgalka Pantoprazole sodium
2090
Nezdružljivo
Brizgalka Alprostadil
Brizgalka Papaverine hydrochloride
2150
Združljivo
Brizgalka Alprostadil
Natrijev klorid 0,9% 4954
Združljivo
Brizgalka Alprostadil 6 µg/ml
Brizgalka Pentoxifyllin 5 mg/ml
Natrijev klorid 0,9% 4543
Nezdružljivo
Brizgalka Alprostadil
Brizgalka Phentolamine mesylate
2150
Združljivo
Brizgalka Alprostadil 20 µg/ml
Brizgalka Sildenafil citrate 0,6 mg/ml
Glukoza 5% 4845
Združljivo
Brizgalka Alprostadil 15 µg/ml
Brizgalka Tobramycin sulfate 1 mg/ml
3201
Združljivo
Brizgalka Alprostadil 15 µg/ml
Brizgalka Vancomycin hydrochloride 5 mg/ml
3201
Združljivo
Brizgalka Alprostadil 15 µg/ml
Brizgalka Vecuronium bromide 1 mg/ml
3201

  Mentions Légales