Останнє оновлення :
27/04/2026
Судинорозширювальний засіб   Alprostadil  
ін'єкція
Стійкість в розчинах Стійкість сумішей Фактори, що впливають на стабільність Сумісність Шлях введення Список літератури pdf
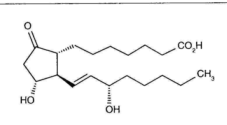
   Хімічна структура  

Торгова назва   Торгова назва     

Торгові назви є орієнтовними, а склад допоміжних речовин може бути різним залежно від країни та виробника

Alfaprostin Єгипет
Alistint Мексика, Перу
Alprostadil Іспанія, Австралія, Аргентина, Еквадор, Канада, Малайзія, Німеччина, Перу, Румунія, Саудівська Аравія, Сполучені Штати Америки, Туреччина, Чилі
Alprostapint Австрія, Аргентина, Еквадор, Колумбія, Перу, Угорщина
Alprostar Італія
Aplicav
Cardiobonisol Польща
Caverject Іспанія, Італія, Австрія, Бельгія, Бразилія, Великобританія, Данія, Канада, Колумбія, Норвегія, Об'єднані Арабські Емірати, Польща, Португалія, Словенія, Сполучені Штати Америки, Туреччина, Франція, Чилі, Швейцарія, Швеція
Edex Греція, Сполучені Штати Америки, Туніс, Франція
Liple Японія
Minprog Австрія, Німеччина
Ostapint Мексика, Перу
Palux Японія
Pridax Іспанія, Австрія, Німеччина, Румунія
Prolisina VR Аргентина
Prostandin Японія
Prostavasin Єгипет, Іран, Італія, Австрія, Люксембург, Німеччина, Польща, Угорщина
Prostin VR Іран, Італія, Бельгія, Великобританія, Венесуела, Греція, Данія, Канада, Колумбія, Люксембург, Малайзія, Нідерланди, Норвегія, Польща, Португалія, Саудівська Аравія, Сполучені Штати Америки, Угорщина, Фінляндія, Хорватія, Швейцарія
Prostine VR Франція
Vasaprostan Румунія
Сумісність   ін'єкція   Сумісність : Alprostadil              
explication_incompatibilite_molecules
З'єднання Розчинник Список літератури
сумісний
ін'єкція Alprostadil 20 µg/ml
ін'єкція Caffeine citrate 20 mg/ml
Натрію хлорид 0,9% 4837
сумісний
ін'єкція Alprostadil
Глюкоза 5% 4954
сумісний
ін'єкція Alprostadil 20 µg/ml
ін'єкція Amiodarone hydrochloride 6 mg/ml
Глюкоза 5% 4651
сумісний
ін'єкція Alprostadil 20 µg/ml
ін'єкція Amiodarone hydrochloride 6 mg/ml
Глюкоза 5% 4491
сумісний
ін'єкція Alprostadil 15 µg/ml
ін'єкція Ampicillin sodium 100 mg/ml
3201
сумісний
ін'єкція Alprostadil 20 µg/ml
ін'єкція Caffeine 10 mg/ml
Натрію хлорид 0,9% 4837
сумісний
ін'єкція Alprostadil 20 µg/ml
ін'єкція Calcium gluconate 10 mg/ml
Глюкоза 5% 4651
сумісний
ін'єкція Alprostadil 20 µg/ml
ін'єкція Calcium gluconate 0,04 mg/ml
Глюкоза 10% 4491
сумісний
ін'єкція Alprostadil 15 µg/ml
ін'єкція Cefazolin sodium 100 mg/ml
3201
сумісний
ін'єкція Alprostadil 15 µg/ml
ін'єкція Cefotaxime sodium 100 mg/ml
3201
сумісний
ін'єкція Alprostadil 15 µg/ml
ін'єкція Chlorothiazide sodium 25 mg/ml
3201
Миттєві опади Несумісні
ін'єкція Alprostadil 20 µg/ml
ін'єкція Cisatracurium besylate 1,2 mg/ml
Глюкоза 5% 4651
сумісний
ін'єкція Alprostadil 20 µg/ml
Парентеральне харчування (ліпідами) 4507
Миттєві опади Несумісні
ін'єкція Alprostadil 20 µg/ml
ін'єкція Cisatracurium besylate 1,2 mg/ml
Глюкоза 5% 4491
Негайне помутніння Несумісні
ін'єкція Alprostadil 20 µg/ml
ін'єкція Dexmedetomidine 4 µg/ml
Глюкоза 5% 4651
сумісний
ін'єкція Alprostadil 20 µg/ml
ін'єкція Dexmedetomidine 4 µg/ml
Глюкоза 5% 4491
сумісний
ін'єкція Alprostadil 500 µg/ml
ін'єкція Dexmedetomidine 100 µg/ml
4389
сумісний
ін'єкція Alprostadil 20 µg/ml
ін'єкція Dobutamine hydrochloride 10 mg/ml
Глюкоза 5% 4651
сумісний
ін'єкція Alprostadil 15 µg/ml
ін'єкція Dobutamine hydrochloride 3 mg/ml
3201
сумісний
ін'єкція Alprostadil 20 µg/ml
ін'єкція Dobutamine hydrochloride 10 mg/ml
Глюкоза 5% 4491
сумісний
ін'єкція Alprostadil 20 µg/ml
ін'єкція Dopamine hydrochloride 10 mg/ml
Глюкоза 5% 4651
сумісний
ін'єкція Alprostadil 15 µg/ml
ін'єкція Dopamine hydrochloride 3 mg/ml
3201
сумісний
ін'єкція Alprostadil 20 µg/ml
ін'єкція Dopamine hydrochloride 10 mg/ml
Глюкоза 5% 4491
сумісний
ін'єкція Alprostadil 20 µg/ml
ін'єкція Epinephrine hydrochloride 0,2 µg/ml
Глюкоза 5% 4491
сумісний
ін'єкція Alprostadil 20 µg/ml
ін'єкція Epinephrine hydrochloride 200 µg/ml
Глюкоза 5% 4651
сумісний
ін'єкція Alprostadil 20 µg/ml
ін'єкція Fentanyl citrate 40 µg/ml
Глюкоза 5% 4651
сумісний
ін'єкція Alprostadil 15 µg/ml
ін'єкція Fentanyl citrate 10 µg/ml
3201
сумісний
ін'єкція Alprostadil 20 µg/ml
ін'єкція Fentanyl citrate 40 µg/ml
Натрію хлорид 0,9% 4491
сумісний
ін'єкція Alprostadil 20 µg/ml
ін'єкція Flecainide acetate 2 mg/ml
Глюкоза 5% 4491
сумісний
ін'єкція Alprostadil 20 µg/ml
ін'єкція Flecainide acetate 2 mg/ml
Глюкоза 5% 4651
сумісний
ін'єкція Alprostadil 15 µg/ml
ін'єкція Furosemide 5 mg/ml
3201
сумісний
ін'єкція Alprostadil 20 µg/ml
ін'єкція Furosemide 5 mg/ml
Глюкоза 5% 4651
сумісний
ін'єкція Alprostadil 20 µg/ml
ін'єкція Furosemide 5 mg/ml
Натрію хлорид 0,9% 4491
сумісний
ін'єкція Alprostadil 1 µg/ml
ін'єкція Furosemide 10 mg/ml
Натрію хлорид 0,9% 4570
сумісний
ін'єкція Alprostadil 15 µg/ml
ін'єкція Gentamicin sulfate 1 mg/ml
3201
сумісний
ін'єкція Alprostadil 20 µg/ml
ін'єкція Heparin sodium 1 UI/ml
Натрію хлорид 0,9% 4491
сумісний
ін'єкція Alprostadil 20 µg/ml
ін'єкція Heparin sodium 1 UI/ml
Глюкоза 5% 4651
Негайне помутніння Несумісні
ін'єкція Alprostadil 20 µg/ml
ін'єкція Insulin 1 UI/ml
Глюкоза 5% 4491
Миттєві опади Несумісні
ін'єкція Alprostadil 20 µg/ml
ін'єкція Insulin 1 UI/ml
Натрію хлорид 0,9% 4651
сумісний
ін'єкція Alprostadil 500 µg/ml
ін'єкція Ketamine hydrochloride 50 mg/ml
4389
сумісний
ін'єкція Alprostadil 20 µg/ml
ін'єкція Ketamine hydrochloride 5 mg/ml
Глюкоза 5% 4651
сумісний
ін'єкція Alprostadil 20 µg/ml
ін'єкція Ketamine hydrochloride 5 mg/ml
Глюкоза 5% 4491
Миттєві опади Несумісні
ін'єкція Alprostadil 500 µg/ml
ін'єкція Levofloxacine 5 mg/ml
Глюкоза 5% 1072
сумісний
ін'єкція Alprostadil 15 µg/ml
ін'єкція Methylprednisolone sodium succinate 40 mg/ml
3201
сумісний
ін'єкція Alprostadil 20 µg/ml
ін'єкція Midazolam hydrochloride 2,5 mg/ml
Глюкоза 5% 4491
сумісний
ін'єкція Alprostadil 20 µg/ml
ін'єкція Midazolam hydrochloride 2,5 mg/ml
Глюкоза 5% 4651
сумісний
ін'єкція Alprostadil 20 µg/ml
ін'єкція Milrinone lactate 0,5 mg/ml
Глюкоза 5% 4491
сумісний
ін'єкція Alprostadil 500 µg/ml
ін'єкція Milrinone lactate 1 mg/ml
4389
сумісний
ін'єкція Alprostadil 20 µg/ml
ін'єкція Milrinone lactate 0,5 mg/ml
Глюкоза 5% 4651
сумісний
ін'єкція Alprostadil 20 µg/ml
ін'єкція Morphine hydrochloride 2 mg/ml
Глюкоза 5% 4651
Опади через 4 год Несумісні
ін'єкція Alprostadil 20 µg/ml
ін'єкція Norepinephrine bitartrate 0,5 mg/ml
Глюкоза 5% 4491
Опади через 4 год Несумісні
ін'єкція Alprostadil 20 µg/ml
ін'єкція Norepinephrine bitartrate 0,5 mg/ml
Глюкоза 5% 4651
сумісний
ін'єкція Alprostadil
ін'єкція Pantoprazole sodium
2090
Несумісні
ін'єкція Alprostadil
ін'єкція Papaverine hydrochloride
2150
сумісний
ін'єкція Alprostadil
Натрію хлорид 0,9% 4954
сумісний
ін'єкція Alprostadil 6 µg/ml
ін'єкція Pentoxifyllin 5 mg/ml
Натрію хлорид 0,9% 4543
Несумісні
ін'єкція Alprostadil
ін'єкція Phentolamine mesylate
2150
сумісний
ін'єкція Alprostadil 20 µg/ml
ін'єкція Sildenafil citrate 0,6 mg/ml
Глюкоза 5% 4845
сумісний
ін'єкція Alprostadil 15 µg/ml
ін'єкція Tobramycin sulfate 1 mg/ml
3201
сумісний
ін'єкція Alprostadil 15 µg/ml
ін'єкція Vancomycin hydrochloride 5 mg/ml
3201
сумісний
ін'єкція Alprostadil 15 µg/ml
ін'єкція Vecuronium bromide 1 mg/ml
3201

  Mentions Légales