Pēdējā atjaunošana :
27/11/2025
Vazodiletators   Alprostadil  
Injekcija
Šķīduma stabilitāte Maisījuma stabilitāte Stabilitāti ietekmējoši faktori Saderība Levadīšanas veids Literatūras saraksts pdf
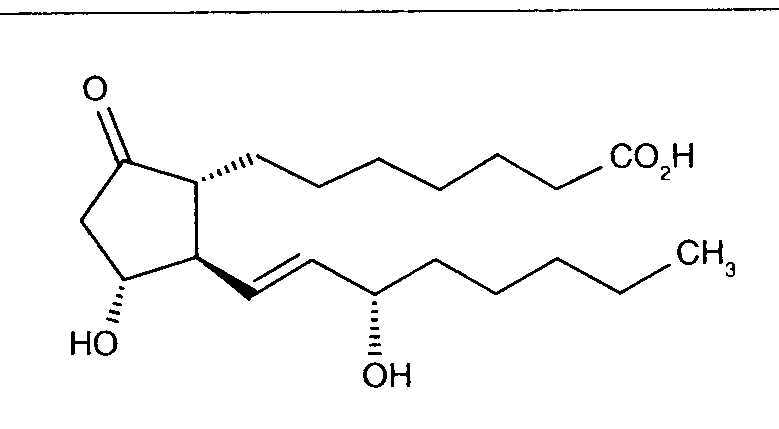
   Ķīmiskā uzbūve   

Oriģinālais nosaukums   Oriģinālais nosaukums     

Tirdzniecības nosaukumi ir apzīmējoši un palīgvielas var atšķirties dažādām valstīm un laboratorijām

Alfaprostin Ēģipte
Alistint Meksika, Peru
Alprostadil Amerikas Savienotās Valstis, Argentīna, Austrālija, Čīle, Ekvadora, Kanāda, Malaizija, Peru, Rumānija, Saūda Arābija, Spānija, Turcija, Vācija
Alprostapint Argentīna, Austrija, Ekvadora, Kolumbija, Peru, Ungārija
Alprostar Itālija
Aplicav
Cardiobonisol Polija
Caverject Amerikas Savienotās Valstis, Apvienotie Arābu Emirāti, Austrija, Beļģija, Brazīlija, Čīle, Dānija, Francija, Itālija, Kanāda, Kolumbija, Lielbritānija, Norvēģija, Polija, Portugāle, Slovēnija, Spānija, Šveice, Turcija, Zviedrija
Edex Amerikas Savienotās Valstis, Francija, Grieķija, Tunisija
Liple Japāna
Minprog Austrija, Vācija
Ostapint Meksika, Peru
Palux Japāna
Pridax Austrija, Rumānija, Spānija, Vācija
Prolisina VR Argentīna
Prostandin Japāna
Prostavasin Austrija, Ēģipte, Irāna, Itālija, Luksemburga, Polija, Ungārija, Vācija
Prostin VR Amerikas Savienotās Valstis, Beļģija, Dānija, Grieķija, Holande, Horvātija, Irāna, Itālija, Kanāda, Kolumbija, Lielbritānija, Luksemburga, Malaizija, Norvēģija, Polija, Portugāle, Saūda Arābija, Somija, Šveice, Ungārija, Venecuēla
Prostine VR Francija
Vasaprostan Rumānija
Saderība   Injekcija   Saderība : Alprostadil              
Šī tabula parāda zāļu saderību vai nesaderību, pēc iespējas arī nesaderības tipu (precipitācija, krāsas maiņa, emulsijas sadalīšanās utt). Parādītas šeit saderības ir pārsvarā tikai fizikālās, pēc iespējas tiek parādīta ķīmiskā stabilitāte katrai molekulai. Šo maisījumu analīze tikai veikta, lai izprastu iespējamību ievadīt zāles Y-savienojuma vietā sistēmā pacientam. Šie dati nevar tikt izmantoti, lai pagatavot zāļu maisījumus vēlākai lietošanai maisos vai šļircēs. Šī informācija ir pieejama sadaļā "Maisījuma stabilitāte".
Savienojums Šķīdinātājs Literatūras saraksts
Savietojams
Injekcija Alprostadil 20 µg/ml
Injekcija Caffeine citrate 20 mg/ml
Nātrija hlorīds 0.9% 4837
Savietojams
Injekcija Alprostadil
5% glikoze 4954
Savietojams
Injekcija Alprostadil 20 µg/ml
Injekcija Amiodarone hydrochloride 6 mg/ml
5% glikoze 4651
Savietojams
Injekcija Alprostadil 20 µg/ml
Injekcija Amiodarone hydrochloride 6 mg/ml
5% glikoze 4491
Savietojams
Injekcija Alprostadil 15 µg/ml
Injekcija Ampicillin sodium 100 mg/ml
3201
Savietojams
Injekcija Alprostadil 20 µg/ml
Injekcija Caffeine 10 mg/ml
Nātrija hlorīds 0.9% 4837
Savietojams
Injekcija Alprostadil 20 µg/ml
Injekcija Calcium gluconate 10 mg/ml
5% glikoze 4651
Savietojams
Injekcija Alprostadil 20 µg/ml
Injekcija Calcium gluconate 0,04 mg/ml
10% glikoze 4491
Savietojams
Injekcija Alprostadil 15 µg/ml
Injekcija Cefazolin sodium 100 mg/ml
3201
Savietojams
Injekcija Alprostadil 15 µg/ml
Injekcija Cefotaxime sodium 100 mg/ml
3201
Savietojams
Injekcija Alprostadil 15 µg/ml
Injekcija Chlorothiazide sodium 25 mg/ml
3201
Tūlītēji nokrišņi Nesavienojams
Injekcija Alprostadil 20 µg/ml
Injekcija Cisatracurium besylate 1,2 mg/ml
5% glikoze 4651
Savietojams
Injekcija Alprostadil 20 µg/ml
Parenterāla barošana (ar lipīdiem) 4507
Tūlītēji nokrišņi Nesavienojams
Injekcija Alprostadil 20 µg/ml
Injekcija Cisatracurium besylate 1,2 mg/ml
5% glikoze 4491
Tūlītēja duļķainība Nesavienojams
Injekcija Alprostadil 20 µg/ml
Injekcija Dexmedetomidine 4 µg/ml
5% glikoze 4651
Savietojams
Injekcija Alprostadil 20 µg/ml
Injekcija Dexmedetomidine 4 µg/ml
5% glikoze 4491
Savietojams
Injekcija Alprostadil 500 µg/ml
Injekcija Dexmedetomidine 100 µg/ml
4389
Savietojams
Injekcija Alprostadil 20 µg/ml
Injekcija Dobutamine hydrochloride 10 mg/ml
5% glikoze 4651
Savietojams
Injekcija Alprostadil 15 µg/ml
Injekcija Dobutamine hydrochloride 3 mg/ml
3201
Savietojams
Injekcija Alprostadil 20 µg/ml
Injekcija Dobutamine hydrochloride 10 mg/ml
5% glikoze 4491
Savietojams
Injekcija Alprostadil 20 µg/ml
Injekcija Dopamine hydrochloride 10 mg/ml
5% glikoze 4651
Savietojams
Injekcija Alprostadil 15 µg/ml
Injekcija Dopamine hydrochloride 3 mg/ml
3201
Savietojams
Injekcija Alprostadil 20 µg/ml
Injekcija Dopamine hydrochloride 10 mg/ml
5% glikoze 4491
Savietojams
Injekcija Alprostadil 20 µg/ml
Injekcija Epinephrine hydrochloride 0,2 µg/ml
5% glikoze 4491
Savietojams
Injekcija Alprostadil 20 µg/ml
Injekcija Epinephrine hydrochloride 200 µg/ml
5% glikoze 4651
Savietojams
Injekcija Alprostadil 20 µg/ml
Injekcija Fentanyl citrate 40 µg/ml
5% glikoze 4651
Savietojams
Injekcija Alprostadil 15 µg/ml
Injekcija Fentanyl citrate 10 µg/ml
3201
Savietojams
Injekcija Alprostadil 20 µg/ml
Injekcija Fentanyl citrate 40 µg/ml
Nātrija hlorīds 0.9% 4491
Savietojams
Injekcija Alprostadil 20 µg/ml
Injekcija Flecainide acetate 2 mg/ml
5% glikoze 4491
Savietojams
Injekcija Alprostadil 20 µg/ml
Injekcija Flecainide acetate 2 mg/ml
5% glikoze 4651
Savietojams
Injekcija Alprostadil 15 µg/ml
Injekcija Furosemide 5 mg/ml
3201
Savietojams
Injekcija Alprostadil 20 µg/ml
Injekcija Furosemide 5 mg/ml
5% glikoze 4651
Savietojams
Injekcija Alprostadil 20 µg/ml
Injekcija Furosemide 5 mg/ml
Nātrija hlorīds 0.9% 4491
Savietojams
Injekcija Alprostadil 1 µg/ml
Injekcija Furosemide 10 mg/ml
Nātrija hlorīds 0.9% 4570
Savietojams
Injekcija Alprostadil 15 µg/ml
Injekcija Gentamicin sulfate 1 mg/ml
3201
Savietojams
Injekcija Alprostadil 20 µg/ml
Injekcija Heparin sodium 1 UI/ml
Nātrija hlorīds 0.9% 4491
Savietojams
Injekcija Alprostadil 20 µg/ml
Injekcija Heparin sodium 1 UI/ml
5% glikoze 4651
Tūlītēja duļķainība Nesavienojams
Injekcija Alprostadil 20 µg/ml
Injekcija Insulin 1 UI/ml
5% glikoze 4491
Tūlītēji nokrišņi Nesavienojams
Injekcija Alprostadil 20 µg/ml
Injekcija Insulin 1 UI/ml
Nātrija hlorīds 0.9% 4651
Savietojams
Injekcija Alprostadil 500 µg/ml
Injekcija Ketamine hydrochloride 50 mg/ml
4389
Savietojams
Injekcija Alprostadil 20 µg/ml
Injekcija Ketamine hydrochloride 5 mg/ml
5% glikoze 4651
Savietojams
Injekcija Alprostadil 20 µg/ml
Injekcija Ketamine hydrochloride 5 mg/ml
5% glikoze 4491
Tūlītēji nokrišņi Nesavienojams
Injekcija Alprostadil 500 µg/ml
Injekcija Levofloxacine 5 mg/ml
5% glikoze 1072
Savietojams
Injekcija Alprostadil 15 µg/ml
Injekcija Methylprednisolone sodium succinate 40 mg/ml
3201
Savietojams
Injekcija Alprostadil 20 µg/ml
Injekcija Midazolam hydrochloride 2,5 mg/ml
5% glikoze 4491
Savietojams
Injekcija Alprostadil 20 µg/ml
Injekcija Midazolam hydrochloride 2,5 mg/ml
5% glikoze 4651
Savietojams
Injekcija Alprostadil 20 µg/ml
Injekcija Milrinone lactate 0,5 mg/ml
5% glikoze 4491
Savietojams
Injekcija Alprostadil 500 µg/ml
Injekcija Milrinone lactate 1 mg/ml
4389
Savietojams
Injekcija Alprostadil 20 µg/ml
Injekcija Milrinone lactate 0,5 mg/ml
5% glikoze 4651
Savietojams
Injekcija Alprostadil 20 µg/ml
Injekcija Morphine hydrochloride 2 mg/ml
5% glikoze 4651
Nokrišņi pēc 4 stundām Nesavienojams
Injekcija Alprostadil 20 µg/ml
Injekcija Norepinephrine bitartrate 0,5 mg/ml
5% glikoze 4491
Nokrišņi pēc 4 stundām Nesavienojams
Injekcija Alprostadil 20 µg/ml
Injekcija Norepinephrine bitartrate 0,5 mg/ml
5% glikoze 4651
Savietojams
Injekcija Alprostadil
Injekcija Pantoprazole sodium
2090
Nesavienojams
Injekcija Alprostadil
Injekcija Papaverine hydrochloride
2150
Savietojams
Injekcija Alprostadil
Nātrija hlorīds 0.9% 4954
Savietojams
Injekcija Alprostadil 6 µg/ml
Injekcija Pentoxifyllin 5 mg/ml
Nātrija hlorīds 0.9% 4543
Nesavienojams
Injekcija Alprostadil
Injekcija Phentolamine mesylate
2150
Savietojams
Injekcija Alprostadil 20 µg/ml
Injekcija Sildenafil citrate 0,6 mg/ml
5% glikoze 4845
Savietojams
Injekcija Alprostadil 15 µg/ml
Injekcija Tobramycin sulfate 1 mg/ml
3201
Savietojams
Injekcija Alprostadil 15 µg/ml
Injekcija Vancomycin hydrochloride 5 mg/ml
3201
Savietojams
Injekcija Alprostadil 15 µg/ml
Injekcija Vecuronium bromide 1 mg/ml
3201

  Mentions Légales