Letztes “update” :
27/11/2025
Vasodilatator   Alprostadil  
Injektion
Stabilität der Lösung Gemengestabilität Stabilitätbeeinflussende Faktoren Kompatibilitäten Applikationsart Literaturverzeichnis pdf
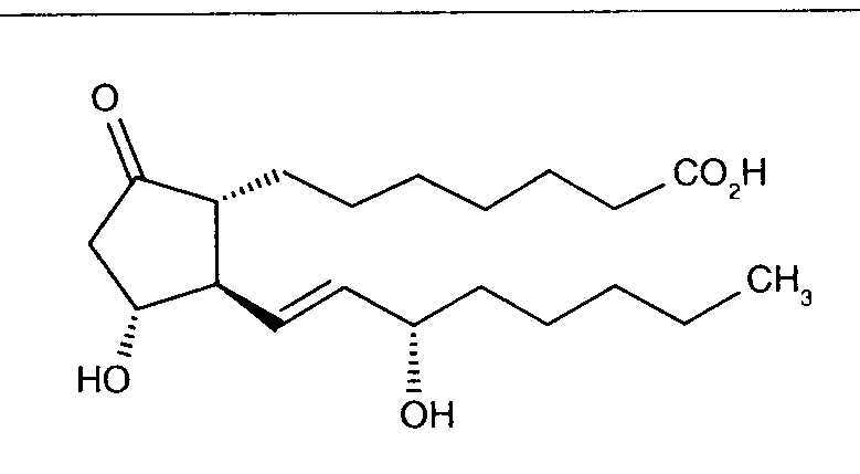
   Chemische Struktur  

Handelsmarke   Handelsmarke     

Handelsnamen sind als beispielhaft anzusehen. Sonstige Bestandteile können je nach Hersteller oder Land verschieden sein

Alfaprostin Ägypten
Alistint Mexiko, Peru
Alprostadil Argentinien, Australien, Chile, Deutschland, Ecuador, Kanada, Malaysia, Peru, Rumänien, Saudi-Arabien, Spanien, Türkei, Vereinigte Staaten von Amerika
Alprostapint Argentinien, Ecuador, Kolumbien, Österreich, Peru, Ungarn
Alprostar Italien
Aplicav
Cardiobonisol Polen
Caverject Belgien, Brasilien, Chile, Dänemark, Frankreich, Großbritannien, Italien, Kanada, Kolumbien, Norwegen, Österreich, Polen, Portugal, Schweden, Schweiz, Slowenien, Spanien, Türkei, Vereinigte Arabische Emirate, Vereinigte Staaten von Amerika
Edex Frankreich, Griechenland, Tunesien, Vereinigte Staaten von Amerika
Liple Japan
Minprog Deutschland, Österreich
Ostapint Mexiko, Peru
Palux Japan
Pridax Deutschland, Österreich, Rumänien, Spanien
Prolisina VR Argentinien
Prostandin Japan
Prostavasin Ägypten, Deutschland, Iran, Italien, Luxemburg, Österreich, Polen, Ungarn
Prostin VR Belgien, Dänemark, Finnland, Griechenland, Großbritannien, Iran, Italien, Kanada, Kolumbien, Kroatien, Luxemburg, Malaysia, Niederlande, Norwegen, Polen, Portugal, Saudi-Arabien, Schweiz, Ungarn, Venezuela, Vereinigte Staaten von Amerika
Prostine VR Frankreich
Vasaprostan Rumänien
Kompatibilitäten   Injektion   Kompatibilitäten : Alprostadil              
Dieser Bildschirm zeigt die Kompatibilitäten oder Inkompatibilitäten mit der Art der Inkompatibilität (hier: Ausfällung, Farbänderung, Modifikation einer Emulsion usw.) an. Die hier gezeigten Kompatibilitäten sind meist nur physikalisch, wobei die chemische Stabilität jedes Moleküls selten bewertet wird. Die Bewertung dieser Gemische wurde untersucht, um die Möglichkeit einer Verabreichung über eine Y-Verbindung zu berücksichtigen. Diese Daten können daher nicht zur Herstellung von Mischungen im Voraus in Beuteln oder Spritzen verwendet werden. Sie finden diese Informationen auf dem Bildschirm "Stabilität in Mischung».
Molekül Lösungsmittel Literaturverzeichnis
kompatibel
Injektion Alprostadil 20 µg/ml
Injektion Caffeine citrate 20 mg/ml
0,9% Natriumchlorid 4837
kompatibel
Injektion Alprostadil
5% Glucose 4954
kompatibel
Injektion Alprostadil 20 µg/ml
Injektion Amiodarone hydrochloride 6 mg/ml
5% Glucose 4651
kompatibel
Injektion Alprostadil 20 µg/ml
Injektion Amiodarone hydrochloride 6 mg/ml
5% Glucose 4491
kompatibel
Injektion Alprostadil 15 µg/ml
Injektion Ampicillin sodium 100 mg/ml
3201
kompatibel
Injektion Alprostadil 20 µg/ml
Injektion Caffeine 10 mg/ml
0,9% Natriumchlorid 4837
kompatibel
Injektion Alprostadil 20 µg/ml
Injektion Calcium gluconate 10 mg/ml
5% Glucose 4651
kompatibel
Injektion Alprostadil 20 µg/ml
Injektion Calcium gluconate 0,04 mg/ml
10% Glucose 4491
kompatibel
Injektion Alprostadil 15 µg/ml
Injektion Cefazolin sodium 100 mg/ml
3201
kompatibel
Injektion Alprostadil 15 µg/ml
Injektion Cefotaxime sodium 100 mg/ml
3201
kompatibel
Injektion Alprostadil 15 µg/ml
Injektion Chlorothiazide sodium 25 mg/ml
3201
Sofortiger Niederschlag nicht kompatibel
Injektion Alprostadil 20 µg/ml
Injektion Cisatracurium besylate 1,2 mg/ml
5% Glucose 4651
kompatibel
Injektion Alprostadil 20 µg/ml
Parenterale Ernährung (mit Lipiden) 4507
Sofortiger Niederschlag nicht kompatibel
Injektion Alprostadil 20 µg/ml
Injektion Cisatracurium besylate 1,2 mg/ml
5% Glucose 4491
Sofortige Trübung nicht kompatibel
Injektion Alprostadil 20 µg/ml
Injektion Dexmedetomidine 4 µg/ml
5% Glucose 4651
kompatibel
Injektion Alprostadil 20 µg/ml
Injektion Dexmedetomidine 4 µg/ml
5% Glucose 4491
kompatibel
Injektion Alprostadil 500 µg/ml
Injektion Dexmedetomidine 100 µg/ml
4389
kompatibel
Injektion Alprostadil 20 µg/ml
Injektion Dobutamine hydrochloride 10 mg/ml
5% Glucose 4651
kompatibel
Injektion Alprostadil 15 µg/ml
Injektion Dobutamine hydrochloride 3 mg/ml
3201
kompatibel
Injektion Alprostadil 20 µg/ml
Injektion Dobutamine hydrochloride 10 mg/ml
5% Glucose 4491
kompatibel
Injektion Alprostadil 20 µg/ml
Injektion Dopamine hydrochloride 10 mg/ml
5% Glucose 4651
kompatibel
Injektion Alprostadil 15 µg/ml
Injektion Dopamine hydrochloride 3 mg/ml
3201
kompatibel
Injektion Alprostadil 20 µg/ml
Injektion Dopamine hydrochloride 10 mg/ml
5% Glucose 4491
kompatibel
Injektion Alprostadil 20 µg/ml
Injektion Epinephrine hydrochloride 0,2 µg/ml
5% Glucose 4491
kompatibel
Injektion Alprostadil 20 µg/ml
Injektion Epinephrine hydrochloride 200 µg/ml
5% Glucose 4651
kompatibel
Injektion Alprostadil 20 µg/ml
Injektion Fentanyl citrate 40 µg/ml
5% Glucose 4651
kompatibel
Injektion Alprostadil 15 µg/ml
Injektion Fentanyl citrate 10 µg/ml
3201
kompatibel
Injektion Alprostadil 20 µg/ml
Injektion Fentanyl citrate 40 µg/ml
0,9% Natriumchlorid 4491
kompatibel
Injektion Alprostadil 20 µg/ml
Injektion Flecainide acetate 2 mg/ml
5% Glucose 4491
kompatibel
Injektion Alprostadil 20 µg/ml
Injektion Flecainide acetate 2 mg/ml
5% Glucose 4651
kompatibel
Injektion Alprostadil 15 µg/ml
Injektion Furosemide 5 mg/ml
3201
kompatibel
Injektion Alprostadil 20 µg/ml
Injektion Furosemide 5 mg/ml
5% Glucose 4651
kompatibel
Injektion Alprostadil 20 µg/ml
Injektion Furosemide 5 mg/ml
0,9% Natriumchlorid 4491
kompatibel
Injektion Alprostadil 1 µg/ml
Injektion Furosemide 10 mg/ml
0,9% Natriumchlorid 4570
kompatibel
Injektion Alprostadil 15 µg/ml
Injektion Gentamicin sulfate 1 mg/ml
3201
kompatibel
Injektion Alprostadil 20 µg/ml
Injektion Heparin sodium 1 UI/ml
0,9% Natriumchlorid 4491
kompatibel
Injektion Alprostadil 20 µg/ml
Injektion Heparin sodium 1 UI/ml
5% Glucose 4651
Sofortige Trübung nicht kompatibel
Injektion Alprostadil 20 µg/ml
Injektion Insulin 1 UI/ml
5% Glucose 4491
Sofortiger Niederschlag nicht kompatibel
Injektion Alprostadil 20 µg/ml
Injektion Insulin 1 UI/ml
0,9% Natriumchlorid 4651
kompatibel
Injektion Alprostadil 500 µg/ml
Injektion Ketamine hydrochloride 50 mg/ml
4389
kompatibel
Injektion Alprostadil 20 µg/ml
Injektion Ketamine hydrochloride 5 mg/ml
5% Glucose 4651
kompatibel
Injektion Alprostadil 20 µg/ml
Injektion Ketamine hydrochloride 5 mg/ml
5% Glucose 4491
Sofortiger Niederschlag nicht kompatibel
Injektion Alprostadil 500 µg/ml
Injektion Levofloxacine 5 mg/ml
5% Glucose 1072
kompatibel
Injektion Alprostadil 15 µg/ml
Injektion Methylprednisolone sodium succinate 40 mg/ml
3201
kompatibel
Injektion Alprostadil 20 µg/ml
Injektion Midazolam hydrochloride 2,5 mg/ml
5% Glucose 4491
kompatibel
Injektion Alprostadil 20 µg/ml
Injektion Midazolam hydrochloride 2,5 mg/ml
5% Glucose 4651
kompatibel
Injektion Alprostadil 20 µg/ml
Injektion Milrinone lactate 0,5 mg/ml
5% Glucose 4491
kompatibel
Injektion Alprostadil 500 µg/ml
Injektion Milrinone lactate 1 mg/ml
4389
kompatibel
Injektion Alprostadil 20 µg/ml
Injektion Milrinone lactate 0,5 mg/ml
5% Glucose 4651
kompatibel
Injektion Alprostadil 20 µg/ml
Injektion Morphine hydrochloride 2 mg/ml
5% Glucose 4651
Niederschlag nach 4 Stunden nicht kompatibel
Injektion Alprostadil 20 µg/ml
Injektion Norepinephrine bitartrate 0,5 mg/ml
5% Glucose 4491
Niederschlag nach 4 Stunden nicht kompatibel
Injektion Alprostadil 20 µg/ml
Injektion Norepinephrine bitartrate 0,5 mg/ml
5% Glucose 4651
kompatibel
Injektion Alprostadil
Injektion Pantoprazole sodium
2090
nicht kompatibel
Injektion Alprostadil
Injektion Papaverine hydrochloride
2150
kompatibel
Injektion Alprostadil
0,9% Natriumchlorid 4954
kompatibel
Injektion Alprostadil 6 µg/ml
Injektion Pentoxifyllin 5 mg/ml
0,9% Natriumchlorid 4543
nicht kompatibel
Injektion Alprostadil
Injektion Phentolamine mesylate
2150
kompatibel
Injektion Alprostadil 20 µg/ml
Injektion Sildenafil citrate 0,6 mg/ml
5% Glucose 4845
kompatibel
Injektion Alprostadil 15 µg/ml
Injektion Tobramycin sulfate 1 mg/ml
3201
kompatibel
Injektion Alprostadil 15 µg/ml
Injektion Vancomycin hydrochloride 5 mg/ml
3201
kompatibel
Injektion Alprostadil 15 µg/ml
Injektion Vecuronium bromide 1 mg/ml
3201

  Mentions Légales