Τελευταία ενημέρωση :
27/04/2026
Θρομβολυτικό   Alprostadil  
Ενέσιμο
Σταθερότητα διαλυμάτων Σταθερότητα σε μίγματα Παράγοντας που επηρεάζει τη σταθερότητα Συμβατότητες Τρόπος χορήγησης Βιβλιογραφία pdf
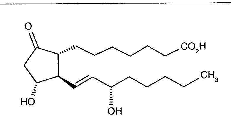
   χημική δομή  

Εμπορική ονομασία   Εμπορική ονομασία     

Οι εμπορικές ονομασίες είναι ενδεικτικές και η σύνθεση των εκδόχων μπορεί να διαφέρει ανάλογα με τη χώρα και τα εργαστήρια

Alfaprostin Αίγυπτος
Alistint Μεξικό, Περού
Alprostadil Αργεντινή, Αυστραλία, Γερμανία, Εκουαδόρ, Η.Π.Α., Ισπανία, Καναδάς, Μαλαισία, Περού, Ρουμανία, Σαουδική Αραβία, Τουρκία, Χιλή
Alprostapint Αργεντινή, Αυστρία, Εκουαδόρ, Κολομβία, Ουγγαρία, Περού
Alprostar Ιταλία
Aplicav
Cardiobonisol Πολωνία
Caverject Yhdistyneet arabiemiirikunnat, Αυστρία, Βέλγιο, Βραζιλία, Γαλλία, Δανία, Ελβετία, Η.Π.Α., Ισπανία, Ιταλία, Καναδάς, Κολομβία, Μεγάλη Βρετανία, Νορβηγία, Πολωνία, Πορτογαλία, Σλοβενία, Σουηδία, Τουρκία, Χιλή
Edex Γαλλία, Ελλάδα, Η.Π.Α., Τυνησία
Liple Ιαπωνία
Minprog Αυστρία, Γερμανία
Ostapint Μεξικό, Περού
Palux Ιαπωνία
Pridax Αυστρία, Γερμανία, Ισπανία, Ρουμανία
Prolisina VR Αργεντινή
Prostandin Ιαπωνία
Prostavasin Αίγυπτος, Αυστρία, Γερμανία, Ιράν, Ιταλία, Λουξεμβούργο, Ουγγαρία, Πολωνία
Prostin VR Βέλγιο, Βενεζουέλα, Δανία, Ελβετία, Ελλάδα, Η.Π.Α., Ιράν, Ιταλία, Καναδάς, Κολομβία, Κροατία, Λουξεμβούργο, Μαλαισία, Μεγάλη Βρετανία, Νορβηγία, Ολλανδία, Ουγγαρία, Πολωνία, Πορτογαλία, Σαουδική Αραβία, Φινλανδία
Prostine VR Γαλλία
Vasaprostan Ρουμανία
Συμβατότητες    Ενέσιμο   Συμβατότητες : Alprostadil              
Σε αυτή την οθόνη εμφανίζονται οι συμβατότητες ή ασυμβατότητες. Σε αυτή την περίπτωση εμφανίζονται το είδος της ασυμβατότητας (ίζημα, αλλαγή χρώματος, μεταβολή γαλακτώματος, κλπ). Οι συμβατότητες που παρουσιάζονται εδώ είναι κυρίως φυσικές, ενώ η χημική σταθερότητα κάθε μορίου σπάνια περιλαμβάνεται. Η αξιολόγηση αυτών των μιγμάτων μελετήθηκε προκειμένου να εκτιμηθεί η πιθανότητα χορήγησης στον ασθενή στο Υ κέντρο. Τα δεδομένα αυτά δεν μπορούν να χρησιμοποιηθούν για την εκ των προτέρων δημιουργία μιγμάτων σε ασκούς ή σύριγγες. Αυτό το είδος πληροφορίας υπάρχει και μπορεί να αναζητηθεί στην οθόνη «Σταθερότητα σε μίγμα».
Συστατικό Διαλυτικό Βιβλιογραφία
Σύμφωνος
Ενέσιμο Alprostadil 20 µg/ml
Ενέσιμο Caffeine citrate 20 mg/ml
Χλωριούχο νάτριο 0,9% 4837
Σύμφωνος
Ενέσιμο Alprostadil
Γλυκόζη 5% 4954
Σύμφωνος
Ενέσιμο Alprostadil 20 µg/ml
Ενέσιμο Amiodarone hydrochloride 6 mg/ml
Γλυκόζη 5% 4651
Σύμφωνος
Ενέσιμο Alprostadil 20 µg/ml
Ενέσιμο Amiodarone hydrochloride 6 mg/ml
Γλυκόζη 5% 4491
Σύμφωνος
Ενέσιμο Alprostadil 15 µg/ml
Ενέσιμο Ampicillin sodium 100 mg/ml
3201
Σύμφωνος
Ενέσιμο Alprostadil 20 µg/ml
Ενέσιμο Caffeine 10 mg/ml
Χλωριούχο νάτριο 0,9% 4837
Σύμφωνος
Ενέσιμο Alprostadil 20 µg/ml
Ενέσιμο Calcium gluconate 10 mg/ml
Γλυκόζη 5% 4651
Σύμφωνος
Ενέσιμο Alprostadil 20 µg/ml
Ενέσιμο Calcium gluconate 0,04 mg/ml
Γλυκόζη 10% 4491
Σύμφωνος
Ενέσιμο Alprostadil 15 µg/ml
Ενέσιμο Cefazolin sodium 100 mg/ml
3201
Σύμφωνος
Ενέσιμο Alprostadil 15 µg/ml
Ενέσιμο Cefotaxime sodium 100 mg/ml
3201
Σύμφωνος
Ενέσιμο Alprostadil 15 µg/ml
Ενέσιμο Chlorothiazide sodium 25 mg/ml
3201
Άμεση βροχόπτωση Ασύμβατες
Ενέσιμο Alprostadil 20 µg/ml
Ενέσιμο Cisatracurium besylate 1,2 mg/ml
Γλυκόζη 5% 4651
Σύμφωνος
Ενέσιμο Alprostadil 20 µg/ml
Παρεντερική διατροφή (με λιπίδια) 4507
Άμεση βροχόπτωση Ασύμβατες
Ενέσιμο Alprostadil 20 µg/ml
Ενέσιμο Cisatracurium besylate 1,2 mg/ml
Γλυκόζη 5% 4491
Άμεση θολότητα Ασύμβατες
Ενέσιμο Alprostadil 20 µg/ml
Ενέσιμο Dexmedetomidine 4 µg/ml
Γλυκόζη 5% 4651
Σύμφωνος
Ενέσιμο Alprostadil 20 µg/ml
Ενέσιμο Dexmedetomidine 4 µg/ml
Γλυκόζη 5% 4491
Σύμφωνος
Ενέσιμο Alprostadil 500 µg/ml
Ενέσιμο Dexmedetomidine 100 µg/ml
4389
Σύμφωνος
Ενέσιμο Alprostadil 20 µg/ml
Ενέσιμο Dobutamine hydrochloride 10 mg/ml
Γλυκόζη 5% 4651
Σύμφωνος
Ενέσιμο Alprostadil 15 µg/ml
Ενέσιμο Dobutamine hydrochloride 3 mg/ml
3201
Σύμφωνος
Ενέσιμο Alprostadil 20 µg/ml
Ενέσιμο Dobutamine hydrochloride 10 mg/ml
Γλυκόζη 5% 4491
Σύμφωνος
Ενέσιμο Alprostadil 20 µg/ml
Ενέσιμο Dopamine hydrochloride 10 mg/ml
Γλυκόζη 5% 4651
Σύμφωνος
Ενέσιμο Alprostadil 15 µg/ml
Ενέσιμο Dopamine hydrochloride 3 mg/ml
3201
Σύμφωνος
Ενέσιμο Alprostadil 20 µg/ml
Ενέσιμο Dopamine hydrochloride 10 mg/ml
Γλυκόζη 5% 4491
Σύμφωνος
Ενέσιμο Alprostadil 20 µg/ml
Ενέσιμο Epinephrine hydrochloride 0,2 µg/ml
Γλυκόζη 5% 4491
Σύμφωνος
Ενέσιμο Alprostadil 20 µg/ml
Ενέσιμο Epinephrine hydrochloride 200 µg/ml
Γλυκόζη 5% 4651
Σύμφωνος
Ενέσιμο Alprostadil 20 µg/ml
Ενέσιμο Fentanyl citrate 40 µg/ml
Γλυκόζη 5% 4651
Σύμφωνος
Ενέσιμο Alprostadil 15 µg/ml
Ενέσιμο Fentanyl citrate 10 µg/ml
3201
Σύμφωνος
Ενέσιμο Alprostadil 20 µg/ml
Ενέσιμο Fentanyl citrate 40 µg/ml
Χλωριούχο νάτριο 0,9% 4491
Σύμφωνος
Ενέσιμο Alprostadil 20 µg/ml
Ενέσιμο Flecainide acetate 2 mg/ml
Γλυκόζη 5% 4491
Σύμφωνος
Ενέσιμο Alprostadil 20 µg/ml
Ενέσιμο Flecainide acetate 2 mg/ml
Γλυκόζη 5% 4651
Σύμφωνος
Ενέσιμο Alprostadil 15 µg/ml
Ενέσιμο Furosemide 5 mg/ml
3201
Σύμφωνος
Ενέσιμο Alprostadil 20 µg/ml
Ενέσιμο Furosemide 5 mg/ml
Γλυκόζη 5% 4651
Σύμφωνος
Ενέσιμο Alprostadil 20 µg/ml
Ενέσιμο Furosemide 5 mg/ml
Χλωριούχο νάτριο 0,9% 4491
Σύμφωνος
Ενέσιμο Alprostadil 1 µg/ml
Ενέσιμο Furosemide 10 mg/ml
Χλωριούχο νάτριο 0,9% 4570
Σύμφωνος
Ενέσιμο Alprostadil 15 µg/ml
Ενέσιμο Gentamicin sulfate 1 mg/ml
3201
Σύμφωνος
Ενέσιμο Alprostadil 20 µg/ml
Ενέσιμο Heparin sodium 1 UI/ml
Χλωριούχο νάτριο 0,9% 4491
Σύμφωνος
Ενέσιμο Alprostadil 20 µg/ml
Ενέσιμο Heparin sodium 1 UI/ml
Γλυκόζη 5% 4651
Άμεση θολότητα Ασύμβατες
Ενέσιμο Alprostadil 20 µg/ml
Ενέσιμο Insulin 1 UI/ml
Γλυκόζη 5% 4491
Άμεση βροχόπτωση Ασύμβατες
Ενέσιμο Alprostadil 20 µg/ml
Ενέσιμο Insulin 1 UI/ml
Χλωριούχο νάτριο 0,9% 4651
Σύμφωνος
Ενέσιμο Alprostadil 500 µg/ml
Ενέσιμο Ketamine hydrochloride 50 mg/ml
4389
Σύμφωνος
Ενέσιμο Alprostadil 20 µg/ml
Ενέσιμο Ketamine hydrochloride 5 mg/ml
Γλυκόζη 5% 4651
Σύμφωνος
Ενέσιμο Alprostadil 20 µg/ml
Ενέσιμο Ketamine hydrochloride 5 mg/ml
Γλυκόζη 5% 4491
Άμεση βροχόπτωση Ασύμβατες
Ενέσιμο Alprostadil 500 µg/ml
Ενέσιμο Levofloxacine 5 mg/ml
Γλυκόζη 5% 1072
Σύμφωνος
Ενέσιμο Alprostadil 15 µg/ml
Ενέσιμο Methylprednisolone sodium succinate 40 mg/ml
3201
Σύμφωνος
Ενέσιμο Alprostadil 20 µg/ml
Ενέσιμο Midazolam hydrochloride 2,5 mg/ml
Γλυκόζη 5% 4491
Σύμφωνος
Ενέσιμο Alprostadil 20 µg/ml
Ενέσιμο Midazolam hydrochloride 2,5 mg/ml
Γλυκόζη 5% 4651
Σύμφωνος
Ενέσιμο Alprostadil 20 µg/ml
Ενέσιμο Milrinone lactate 0,5 mg/ml
Γλυκόζη 5% 4491
Σύμφωνος
Ενέσιμο Alprostadil 500 µg/ml
Ενέσιμο Milrinone lactate 1 mg/ml
4389
Σύμφωνος
Ενέσιμο Alprostadil 20 µg/ml
Ενέσιμο Milrinone lactate 0,5 mg/ml
Γλυκόζη 5% 4651
Σύμφωνος
Ενέσιμο Alprostadil 20 µg/ml
Ενέσιμο Morphine hydrochloride 2 mg/ml
Γλυκόζη 5% 4651
Καταβύθιση μετά από 4 ώρες Ασύμβατες
Ενέσιμο Alprostadil 20 µg/ml
Ενέσιμο Norepinephrine bitartrate 0,5 mg/ml
Γλυκόζη 5% 4491
Καταβύθιση μετά από 4 ώρες Ασύμβατες
Ενέσιμο Alprostadil 20 µg/ml
Ενέσιμο Norepinephrine bitartrate 0,5 mg/ml
Γλυκόζη 5% 4651
Σύμφωνος
Ενέσιμο Alprostadil
Ενέσιμο Pantoprazole sodium
2090
Ασύμβατες
Ενέσιμο Alprostadil
Ενέσιμο Papaverine hydrochloride
2150
Σύμφωνος
Ενέσιμο Alprostadil
Χλωριούχο νάτριο 0,9% 4954
Σύμφωνος
Ενέσιμο Alprostadil 6 µg/ml
Ενέσιμο Pentoxifyllin 5 mg/ml
Χλωριούχο νάτριο 0,9% 4543
Ασύμβατες
Ενέσιμο Alprostadil
Ενέσιμο Phentolamine mesylate
2150
Σύμφωνος
Ενέσιμο Alprostadil 20 µg/ml
Ενέσιμο Sildenafil citrate 0,6 mg/ml
Γλυκόζη 5% 4845
Σύμφωνος
Ενέσιμο Alprostadil 15 µg/ml
Ενέσιμο Tobramycin sulfate 1 mg/ml
3201
Σύμφωνος
Ενέσιμο Alprostadil 15 µg/ml
Ενέσιμο Vancomycin hydrochloride 5 mg/ml
3201
Σύμφωνος
Ενέσιμο Alprostadil 15 µg/ml
Ενέσιμο Vecuronium bromide 1 mg/ml
3201

  Mentions Légales