Laatste update :
27/04/2026
Vaatverwijder   Alprostadil  
injecteerbaar geneesmiddel
Stabiliteit in oplossing Stabiliteit in mengsels Factoren die de stabiliteit beïnvloeden Verenigbaarheden Toedieningswijze Literatuur pdf
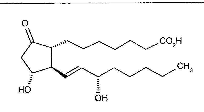
   Molecuulstructuur  

Merknamen in verschillende landen   Merknamen in verschillende landen     

Handelsnamen zijn slechts een indicatie; de samenstelling van hulpstoffen kan per land variëren afhankelijk van de fabrikant

Alfaprostin Egypte
Alistint Mexico, Peru
Alprostadil Argentinië, Australië, Canada, Chili, Duitsland, Ecuador, Maleisië, Peru, Roemenië, Saudi-Arabië, Spanje, Turkije, USA
Alprostapint Argentinië, Colombia, Ecuador, Hongarije, Oostenrijk, Peru
Alprostar Italië
Aplicav
Cardiobonisol Polen
Caverject België, Brazilië, Canada, Chili, Colombia, Denemarken, Frankrijk, Groot Britannië, Italië, Noorwegen, Oostenrijk, Polen, Portugal, Slovenië, Spanje, Turkije, USA, Verenigde Arabische Emiraten, Zweden, Zwitserland
Edex Frankrijk, Griekenland, Tunisie, USA
Liple Japan
Minprog Duitsland, Oostenrijk
Ostapint Mexico, Peru
Palux Japan
Pridax Duitsland, Oostenrijk, Roemenië, Spanje
Prolisina VR Argentinië
Prostandin Japan
Prostavasin Duitsland, Egypte, Hongarije, Iran, Italië, Luxemburg, Oostenrijk, Polen
Prostin VR België, Canada, Colombia, Denemarken, Finland, Griekenland, Groot Britannië, Hongarije, Iran, Italië, Kroatië, Luxemburg, Maleisië, Nederland, Noorwegen, Polen, Portugal, Saudi-Arabië, USA, Venezuela, Zwitserland
Prostine VR Frankrijk
Vasaprostan Roemenië
Verenigbaarheden   injecteerbaar geneesmiddel   Verenigbaarheden : Alprostadil              
In dit scherm worden de verenigbaarheden en onverenigbaarheden weergegeven. In het geval van een onverenigbaarheid wordt ook het type (neerslag, kleurverandering, modificatie van een emulsie, etc) weergegeven. De weergegeven verenigbaarheden zijn meestal alleen op uiterlijk beoordeeld, er heeft zelden een chemische beoordeling van iedere component plaatsgevonden. De verenigbaarheden betreffen gelijktijdige toediening aan de patient middels de Y-site. De data kan niet gebruikt worden in de beoordeling van verenigbaarheden van componenten in infuuszakken of spuiten. Die informatie is te vinden onder ‘stabiliteit in mengsels’.
Stof Oplosmiddel Literatuur
Verenigbaar
injecteerbaar geneesmiddel Alprostadil 20 µg/ml
injecteerbaar geneesmiddel Caffeine citrate 20 mg/ml
Natriumchloride 0,9% 4837
Verenigbaar
injecteerbaar geneesmiddel Alprostadil
Glucose 5% 4954
Verenigbaar
injecteerbaar geneesmiddel Alprostadil 20 µg/ml
injecteerbaar geneesmiddel Amiodarone hydrochloride 6 mg/ml
Glucose 5% 4651
Verenigbaar
injecteerbaar geneesmiddel Alprostadil 20 µg/ml
injecteerbaar geneesmiddel Amiodarone hydrochloride 6 mg/ml
Glucose 5% 4491
Verenigbaar
injecteerbaar geneesmiddel Alprostadil 15 µg/ml
injecteerbaar geneesmiddel Ampicillin sodium 100 mg/ml
3201
Verenigbaar
injecteerbaar geneesmiddel Alprostadil 20 µg/ml
injecteerbaar geneesmiddel Caffeine 10 mg/ml
Natriumchloride 0,9% 4837
Verenigbaar
injecteerbaar geneesmiddel Alprostadil 20 µg/ml
injecteerbaar geneesmiddel Calcium gluconate 10 mg/ml
Glucose 5% 4651
Verenigbaar
injecteerbaar geneesmiddel Alprostadil 20 µg/ml
injecteerbaar geneesmiddel Calcium gluconate 0,04 mg/ml
Glucose 10% 4491
Verenigbaar
injecteerbaar geneesmiddel Alprostadil 15 µg/ml
injecteerbaar geneesmiddel Cefazolin sodium 100 mg/ml
3201
Verenigbaar
injecteerbaar geneesmiddel Alprostadil 15 µg/ml
injecteerbaar geneesmiddel Cefotaxime sodium 100 mg/ml
3201
Verenigbaar
injecteerbaar geneesmiddel Alprostadil 15 µg/ml
injecteerbaar geneesmiddel Chlorothiazide sodium 25 mg/ml
3201
Onmiddellijke neerslag Onverenigbaar
injecteerbaar geneesmiddel Alprostadil 20 µg/ml
injecteerbaar geneesmiddel Cisatracurium besylate 1,2 mg/ml
Glucose 5% 4651
Verenigbaar
injecteerbaar geneesmiddel Alprostadil 20 µg/ml
Parenterale voeding (met lipiden) 4507
Onmiddellijke neerslag Onverenigbaar
injecteerbaar geneesmiddel Alprostadil 20 µg/ml
injecteerbaar geneesmiddel Cisatracurium besylate 1,2 mg/ml
Glucose 5% 4491
Onmiddellijke troebelheid Onverenigbaar
injecteerbaar geneesmiddel Alprostadil 20 µg/ml
injecteerbaar geneesmiddel Dexmedetomidine 4 µg/ml
Glucose 5% 4651
Verenigbaar
injecteerbaar geneesmiddel Alprostadil 20 µg/ml
injecteerbaar geneesmiddel Dexmedetomidine 4 µg/ml
Glucose 5% 4491
Verenigbaar
injecteerbaar geneesmiddel Alprostadil 500 µg/ml
injecteerbaar geneesmiddel Dexmedetomidine 100 µg/ml
4389
Verenigbaar
injecteerbaar geneesmiddel Alprostadil 20 µg/ml
injecteerbaar geneesmiddel Dobutamine hydrochloride 10 mg/ml
Glucose 5% 4651
Verenigbaar
injecteerbaar geneesmiddel Alprostadil 15 µg/ml
injecteerbaar geneesmiddel Dobutamine hydrochloride 3 mg/ml
3201
Verenigbaar
injecteerbaar geneesmiddel Alprostadil 20 µg/ml
injecteerbaar geneesmiddel Dobutamine hydrochloride 10 mg/ml
Glucose 5% 4491
Verenigbaar
injecteerbaar geneesmiddel Alprostadil 20 µg/ml
injecteerbaar geneesmiddel Dopamine hydrochloride 10 mg/ml
Glucose 5% 4651
Verenigbaar
injecteerbaar geneesmiddel Alprostadil 15 µg/ml
injecteerbaar geneesmiddel Dopamine hydrochloride 3 mg/ml
3201
Verenigbaar
injecteerbaar geneesmiddel Alprostadil 20 µg/ml
injecteerbaar geneesmiddel Dopamine hydrochloride 10 mg/ml
Glucose 5% 4491
Verenigbaar
injecteerbaar geneesmiddel Alprostadil 20 µg/ml
injecteerbaar geneesmiddel Epinephrine hydrochloride 0,2 µg/ml
Glucose 5% 4491
Verenigbaar
injecteerbaar geneesmiddel Alprostadil 20 µg/ml
injecteerbaar geneesmiddel Epinephrine hydrochloride 200 µg/ml
Glucose 5% 4651
Verenigbaar
injecteerbaar geneesmiddel Alprostadil 20 µg/ml
injecteerbaar geneesmiddel Fentanyl citrate 40 µg/ml
Glucose 5% 4651
Verenigbaar
injecteerbaar geneesmiddel Alprostadil 15 µg/ml
injecteerbaar geneesmiddel Fentanyl citrate 10 µg/ml
3201
Verenigbaar
injecteerbaar geneesmiddel Alprostadil 20 µg/ml
injecteerbaar geneesmiddel Fentanyl citrate 40 µg/ml
Natriumchloride 0,9% 4491
Verenigbaar
injecteerbaar geneesmiddel Alprostadil 20 µg/ml
injecteerbaar geneesmiddel Flecainide acetate 2 mg/ml
Glucose 5% 4491
Verenigbaar
injecteerbaar geneesmiddel Alprostadil 20 µg/ml
injecteerbaar geneesmiddel Flecainide acetate 2 mg/ml
Glucose 5% 4651
Verenigbaar
injecteerbaar geneesmiddel Alprostadil 15 µg/ml
injecteerbaar geneesmiddel Furosemide 5 mg/ml
3201
Verenigbaar
injecteerbaar geneesmiddel Alprostadil 20 µg/ml
injecteerbaar geneesmiddel Furosemide 5 mg/ml
Glucose 5% 4651
Verenigbaar
injecteerbaar geneesmiddel Alprostadil 20 µg/ml
injecteerbaar geneesmiddel Furosemide 5 mg/ml
Natriumchloride 0,9% 4491
Verenigbaar
injecteerbaar geneesmiddel Alprostadil 1 µg/ml
injecteerbaar geneesmiddel Furosemide 10 mg/ml
Natriumchloride 0,9% 4570
Verenigbaar
injecteerbaar geneesmiddel Alprostadil 15 µg/ml
injecteerbaar geneesmiddel Gentamicin sulfate 1 mg/ml
3201
Verenigbaar
injecteerbaar geneesmiddel Alprostadil 20 µg/ml
injecteerbaar geneesmiddel Heparin sodium 1 UI/ml
Natriumchloride 0,9% 4491
Verenigbaar
injecteerbaar geneesmiddel Alprostadil 20 µg/ml
injecteerbaar geneesmiddel Heparin sodium 1 UI/ml
Glucose 5% 4651
Onmiddellijke troebelheid Onverenigbaar
injecteerbaar geneesmiddel Alprostadil 20 µg/ml
injecteerbaar geneesmiddel Insulin 1 UI/ml
Glucose 5% 4491
Onmiddellijke neerslag Onverenigbaar
injecteerbaar geneesmiddel Alprostadil 20 µg/ml
injecteerbaar geneesmiddel Insulin 1 UI/ml
Natriumchloride 0,9% 4651
Verenigbaar
injecteerbaar geneesmiddel Alprostadil 500 µg/ml
injecteerbaar geneesmiddel Ketamine hydrochloride 50 mg/ml
4389
Verenigbaar
injecteerbaar geneesmiddel Alprostadil 20 µg/ml
injecteerbaar geneesmiddel Ketamine hydrochloride 5 mg/ml
Glucose 5% 4651
Verenigbaar
injecteerbaar geneesmiddel Alprostadil 20 µg/ml
injecteerbaar geneesmiddel Ketamine hydrochloride 5 mg/ml
Glucose 5% 4491
Onmiddellijke neerslag Onverenigbaar
injecteerbaar geneesmiddel Alprostadil 500 µg/ml
injecteerbaar geneesmiddel Levofloxacine 5 mg/ml
Glucose 5% 1072
Verenigbaar
injecteerbaar geneesmiddel Alprostadil 15 µg/ml
injecteerbaar geneesmiddel Methylprednisolone sodium succinate 40 mg/ml
3201
Verenigbaar
injecteerbaar geneesmiddel Alprostadil 20 µg/ml
injecteerbaar geneesmiddel Midazolam hydrochloride 2,5 mg/ml
Glucose 5% 4491
Verenigbaar
injecteerbaar geneesmiddel Alprostadil 20 µg/ml
injecteerbaar geneesmiddel Midazolam hydrochloride 2,5 mg/ml
Glucose 5% 4651
Verenigbaar
injecteerbaar geneesmiddel Alprostadil 20 µg/ml
injecteerbaar geneesmiddel Milrinone lactate 0,5 mg/ml
Glucose 5% 4491
Verenigbaar
injecteerbaar geneesmiddel Alprostadil 500 µg/ml
injecteerbaar geneesmiddel Milrinone lactate 1 mg/ml
4389
Verenigbaar
injecteerbaar geneesmiddel Alprostadil 20 µg/ml
injecteerbaar geneesmiddel Milrinone lactate 0,5 mg/ml
Glucose 5% 4651
Verenigbaar
injecteerbaar geneesmiddel Alprostadil 20 µg/ml
injecteerbaar geneesmiddel Morphine hydrochloride 2 mg/ml
Glucose 5% 4651
Neerslag na 4 uur Onverenigbaar
injecteerbaar geneesmiddel Alprostadil 20 µg/ml
injecteerbaar geneesmiddel Norepinephrine bitartrate 0,5 mg/ml
Glucose 5% 4491
Neerslag na 4 uur Onverenigbaar
injecteerbaar geneesmiddel Alprostadil 20 µg/ml
injecteerbaar geneesmiddel Norepinephrine bitartrate 0,5 mg/ml
Glucose 5% 4651
Verenigbaar
injecteerbaar geneesmiddel Alprostadil
injecteerbaar geneesmiddel Pantoprazole sodium
2090
Onverenigbaar
injecteerbaar geneesmiddel Alprostadil
injecteerbaar geneesmiddel Papaverine hydrochloride
2150
Verenigbaar
injecteerbaar geneesmiddel Alprostadil
Natriumchloride 0,9% 4954
Verenigbaar
injecteerbaar geneesmiddel Alprostadil 6 µg/ml
injecteerbaar geneesmiddel Pentoxifyllin 5 mg/ml
Natriumchloride 0,9% 4543
Onverenigbaar
injecteerbaar geneesmiddel Alprostadil
injecteerbaar geneesmiddel Phentolamine mesylate
2150
Verenigbaar
injecteerbaar geneesmiddel Alprostadil 20 µg/ml
injecteerbaar geneesmiddel Sildenafil citrate 0,6 mg/ml
Glucose 5% 4845
Verenigbaar
injecteerbaar geneesmiddel Alprostadil 15 µg/ml
injecteerbaar geneesmiddel Tobramycin sulfate 1 mg/ml
3201
Verenigbaar
injecteerbaar geneesmiddel Alprostadil 15 µg/ml
injecteerbaar geneesmiddel Vancomycin hydrochloride 5 mg/ml
3201
Verenigbaar
injecteerbaar geneesmiddel Alprostadil 15 µg/ml
injecteerbaar geneesmiddel Vecuronium bromide 1 mg/ml
3201

  Mentions Légales