Laatste update :
27/01/2026
Vaatverwijder   Alprostadil  
injecteerbaar geneesmiddel
Stabiliteit in oplossing Stabiliteit in mengsels Factoren die de stabiliteit beïnvloeden Verenigbaarheden Toedieningswijze Literatuur pdf
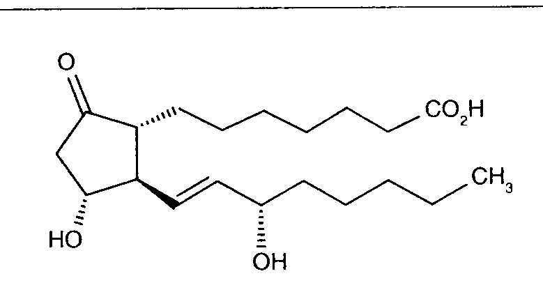
   Molecuulstructuur  

Merknamen in verschillende landen   Merknamen in verschillende landen     

Handelsnamen zijn slechts een indicatie; de samenstelling van hulpstoffen kan per land variëren afhankelijk van de fabrikant

Alfaprostin Egypte
Alistint Mexico, Peru
Alprostadil Argentinië, Australië, Canada, Chili, Duitsland, Ecuador, Maleisië, Peru, Roemenië, Saudi-Arabië, Spanje, Turkije, USA
Alprostapint Argentinië, Colombia, Ecuador, Hongarije, Oostenrijk, Peru
Alprostar Italië
Aplicav
Cardiobonisol Polen
Caverject België, Brazilië, Canada, Chili, Colombia, Denemarken, Frankrijk, Groot Britannië, Italië, Noorwegen, Oostenrijk, Polen, Portugal, Slovenië, Spanje, Turkije, USA, Verenigde Arabische Emiraten, Zweden, Zwitserland
Edex Frankrijk, Griekenland, Tunisie, USA
Liple Japan
Minprog Duitsland, Oostenrijk
Ostapint Mexico, Peru
Palux Japan
Pridax Duitsland, Oostenrijk, Roemenië, Spanje
Prolisina VR Argentinië
Prostandin Japan
Prostavasin Duitsland, Egypte, Hongarije, Iran, Italië, Luxemburg, Oostenrijk, Polen
Prostin VR België, Canada, Colombia, Denemarken, Finland, Griekenland, Groot Britannië, Hongarije, Iran, Italië, Kroatië, Luxemburg, Maleisië, Nederland, Noorwegen, Polen, Portugal, Saudi-Arabië, USA, Venezuela, Zwitserland
Prostine VR Frankrijk
Vasaprostan Roemenië
Stabiliteit in mengsels   injecteerbaar geneesmiddel   Stabiliteit in mengsels : Alprostadil     
Verpakking Oplosmiddel Concentratie Stof Temperatuur Bewaring Duur van de stabiliteit Literatuur
Glas NaCl 0,9% (geconserveerd) 12,5 µg/ml
injecteerbaar geneesmiddel   Alprostadil   
injecteerbaar geneesmiddel   Papaverine hydrochloride 4,5 mg/ml
injecteerbaar geneesmiddel   Phentolamine mesylate 0,125 mg/ml
-20°C
180 Dag
Buiten invloed van licht 1899
Bewijsniveau A
Glas NaCl 0,9% (geconserveerd) 12,5 µg/ml
injecteerbaar geneesmiddel   Alprostadil   
injecteerbaar geneesmiddel   Papaverine hydrochloride 4,5 mg/ml
injecteerbaar geneesmiddel   Phentolamine mesylate 0,125 mg/ml
4°C
30 Dag
Buiten invloed van licht 1899
Bewijsniveau A
Polypropyleen (PP) Natriumchloride 0,9% 15 µg/ml
injecteerbaar geneesmiddel   Alprostadil   
injecteerbaar geneesmiddel   Papaverine hydrochloride 15 mg/ml
injecteerbaar geneesmiddel   Urapidil 2 mg/ml
2-8°C
55 Dag
Buiten invloed van licht 3448
Bewijsniveau B

  Mentions Légales