Ultimele actualizari :
27/04/2026
Vasodilatator   Alprostadil  
Injectabil
Stabilitatea in solutie Stabilitatea in amestec Factorii care influenteaza stabilitatea Compatibilitate Microunde Bibliografie pdf
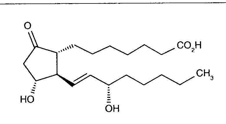
   Formula chimica  

Denumirea comerciala   Denumirea comerciala     

Trade names are indicative and excipients composition can be different depending on the country and manufacturers

Alfaprostin Egipt
Alistint Mexic, Peru
Alprostadil Arabia Saudita, Argentina, Australia, Canada, Chilli, Ecuador, Germania, Malaezia, Peru, Romania, Spania, SUA, Turcia
Alprostapint Argentina, Austria, Columbia, Ecuador, Peru, Ungaria
Alprostar Italia
Aplicav
Cardiobonisol Polonia
Caverject Austria, Belgia, Brazilia, Canada, Chilli, Columbia, Danemarca, Elvetia, Emiratele Arabe Unite, Franta, Italia, Marea Britanie, Norvegia, Polonia, Portugalia, Slovenia, Spania, SUA, Suedia, Turcia
Edex Franta, Grecia, SUA, Tunisia
Liple Japonia
Minprog Austria, Germania
Ostapint Mexic, Peru
Palux Japonia
Pridax Austria, Germania, Romania, Spania
Prolisina VR Argentina
Prostandin Japonia
Prostavasin Austria, Egipt, Germania, Iran, Italia, Luxemburg, Polonia, Ungaria
Prostin VR Arabia Saudita, Belgia, Canada, Columbia, Croatia, Danemarca, Elvetia, Finlanda, Grecia, Iran, Italia, Luxemburg, Malaezia, Marea Britanie, Norvegia, Olanda, Polonia, Portugalia, SUA, Ungaria, Venezuela
Prostine VR Franta
Vasaprostan Romania
Compatibilitate   Injectabil   Compatibilitate : Alprostadil              
Acest ecran indică compatibilitățile sau incompatibilitățile cu, în acest caz, tipul de incompatibilitate (precipitații, schimbarea culorii, modificarea unei emulsii etc.). Compatibilitățile prezentate aici sunt în mare parte numai fizice, stabilitatea chimică a fiecărei molecule fiind rareori evaluată. Evaluarea acestor amestecuri a fost studiată pentru a lua în considerare posibilitatea administrării site-ului Y la pacient. Aceste date nu pot fi utilizate pentru prepararea în prealabil a amestecurilor în pungi sau seringi. Acest tip de informații este disponibil în ecranul „Stabilitate în amestec».
Molecula (substanta activa) Solvent Bibiografie
Compatibil
Injectabil Alprostadil 20 µg/ml
Injectabil Caffeine citrate 20 mg/ml
clorura de sodiu 0,9% 4837
Compatibil
Injectabil Alprostadil
Glucoza 5% 4954
Compatibil
Injectabil Alprostadil 20 µg/ml
Injectabil Amiodarone hydrochloride 6 mg/ml
Glucoza 5% 4651
Compatibil
Injectabil Alprostadil 20 µg/ml
Injectabil Amiodarone hydrochloride 6 mg/ml
Glucoza 5% 4491
Compatibil
Injectabil Alprostadil 15 µg/ml
Injectabil Ampicillin sodium 100 mg/ml
3201
Compatibil
Injectabil Alprostadil 20 µg/ml
Injectabil Caffeine 10 mg/ml
clorura de sodiu 0,9% 4837
Compatibil
Injectabil Alprostadil 20 µg/ml
Injectabil Calcium gluconate 10 mg/ml
Glucoza 5% 4651
Compatibil
Injectabil Alprostadil 20 µg/ml
Injectabil Calcium gluconate 0,04 mg/ml
Glucoza 10% 4491
Compatibil
Injectabil Alprostadil 15 µg/ml
Injectabil Cefazolin sodium 100 mg/ml
3201
Compatibil
Injectabil Alprostadil 15 µg/ml
Injectabil Cefotaxime sodium 100 mg/ml
3201
Compatibil
Injectabil Alprostadil 15 µg/ml
Injectabil Chlorothiazide sodium 25 mg/ml
3201
Precipitații imediate Incompatibil
Injectabil Alprostadil 20 µg/ml
Injectabil Cisatracurium besylate 1,2 mg/ml
Glucoza 5% 4651
Compatibil
Injectabil Alprostadil 20 µg/ml
Nutriție parenterală (cu lipide) 4507
Precipitații imediate Incompatibil
Injectabil Alprostadil 20 µg/ml
Injectabil Cisatracurium besylate 1,2 mg/ml
Glucoza 5% 4491
Turbiditate imediată Incompatibil
Injectabil Alprostadil 20 µg/ml
Injectabil Dexmedetomidine 4 µg/ml
Glucoza 5% 4651
Compatibil
Injectabil Alprostadil 20 µg/ml
Injectabil Dexmedetomidine 4 µg/ml
Glucoza 5% 4491
Compatibil
Injectabil Alprostadil 500 µg/ml
Injectabil Dexmedetomidine 100 µg/ml
4389
Compatibil
Injectabil Alprostadil 20 µg/ml
Injectabil Dobutamine hydrochloride 10 mg/ml
Glucoza 5% 4651
Compatibil
Injectabil Alprostadil 15 µg/ml
Injectabil Dobutamine hydrochloride 3 mg/ml
3201
Compatibil
Injectabil Alprostadil 20 µg/ml
Injectabil Dobutamine hydrochloride 10 mg/ml
Glucoza 5% 4491
Compatibil
Injectabil Alprostadil 20 µg/ml
Injectabil Dopamine hydrochloride 10 mg/ml
Glucoza 5% 4651
Compatibil
Injectabil Alprostadil 15 µg/ml
Injectabil Dopamine hydrochloride 3 mg/ml
3201
Compatibil
Injectabil Alprostadil 20 µg/ml
Injectabil Dopamine hydrochloride 10 mg/ml
Glucoza 5% 4491
Compatibil
Injectabil Alprostadil 20 µg/ml
Injectabil Epinephrine hydrochloride 0,2 µg/ml
Glucoza 5% 4491
Compatibil
Injectabil Alprostadil 20 µg/ml
Injectabil Epinephrine hydrochloride 200 µg/ml
Glucoza 5% 4651
Compatibil
Injectabil Alprostadil 20 µg/ml
Injectabil Fentanyl citrate 40 µg/ml
Glucoza 5% 4651
Compatibil
Injectabil Alprostadil 15 µg/ml
Injectabil Fentanyl citrate 10 µg/ml
3201
Compatibil
Injectabil Alprostadil 20 µg/ml
Injectabil Fentanyl citrate 40 µg/ml
clorura de sodiu 0,9% 4491
Compatibil
Injectabil Alprostadil 20 µg/ml
Injectabil Flecainide acetate 2 mg/ml
Glucoza 5% 4491
Compatibil
Injectabil Alprostadil 20 µg/ml
Injectabil Flecainide acetate 2 mg/ml
Glucoza 5% 4651
Compatibil
Injectabil Alprostadil 15 µg/ml
Injectabil Furosemide 5 mg/ml
3201
Compatibil
Injectabil Alprostadil 20 µg/ml
Injectabil Furosemide 5 mg/ml
Glucoza 5% 4651
Compatibil
Injectabil Alprostadil 20 µg/ml
Injectabil Furosemide 5 mg/ml
clorura de sodiu 0,9% 4491
Compatibil
Injectabil Alprostadil 1 µg/ml
Injectabil Furosemide 10 mg/ml
clorura de sodiu 0,9% 4570
Compatibil
Injectabil Alprostadil 15 µg/ml
Injectabil Gentamicin sulfate 1 mg/ml
3201
Compatibil
Injectabil Alprostadil 20 µg/ml
Injectabil Heparin sodium 1 UI/ml
clorura de sodiu 0,9% 4491
Compatibil
Injectabil Alprostadil 20 µg/ml
Injectabil Heparin sodium 1 UI/ml
Glucoza 5% 4651
Turbiditate imediată Incompatibil
Injectabil Alprostadil 20 µg/ml
Injectabil Insulin 1 UI/ml
Glucoza 5% 4491
Precipitații imediate Incompatibil
Injectabil Alprostadil 20 µg/ml
Injectabil Insulin 1 UI/ml
clorura de sodiu 0,9% 4651
Compatibil
Injectabil Alprostadil 500 µg/ml
Injectabil Ketamine hydrochloride 50 mg/ml
4389
Compatibil
Injectabil Alprostadil 20 µg/ml
Injectabil Ketamine hydrochloride 5 mg/ml
Glucoza 5% 4651
Compatibil
Injectabil Alprostadil 20 µg/ml
Injectabil Ketamine hydrochloride 5 mg/ml
Glucoza 5% 4491
Precipitații imediate Incompatibil
Injectabil Alprostadil 500 µg/ml
Injectabil Levofloxacine 5 mg/ml
Glucoza 5% 1072
Compatibil
Injectabil Alprostadil 15 µg/ml
Injectabil Methylprednisolone sodium succinate 40 mg/ml
3201
Compatibil
Injectabil Alprostadil 20 µg/ml
Injectabil Midazolam hydrochloride 2,5 mg/ml
Glucoza 5% 4491
Compatibil
Injectabil Alprostadil 20 µg/ml
Injectabil Midazolam hydrochloride 2,5 mg/ml
Glucoza 5% 4651
Compatibil
Injectabil Alprostadil 20 µg/ml
Injectabil Milrinone lactate 0,5 mg/ml
Glucoza 5% 4491
Compatibil
Injectabil Alprostadil 500 µg/ml
Injectabil Milrinone lactate 1 mg/ml
4389
Compatibil
Injectabil Alprostadil 20 µg/ml
Injectabil Milrinone lactate 0,5 mg/ml
Glucoza 5% 4651
Compatibil
Injectabil Alprostadil 20 µg/ml
Injectabil Morphine hydrochloride 2 mg/ml
Glucoza 5% 4651
Precipitații după 4 ore Incompatibil
Injectabil Alprostadil 20 µg/ml
Injectabil Norepinephrine bitartrate 0,5 mg/ml
Glucoza 5% 4491
Precipitații după 4 ore Incompatibil
Injectabil Alprostadil 20 µg/ml
Injectabil Norepinephrine bitartrate 0,5 mg/ml
Glucoza 5% 4651
Compatibil
Injectabil Alprostadil
Injectabil Pantoprazole sodium
2090
Incompatibil
Injectabil Alprostadil
Injectabil Papaverine hydrochloride
2150
Compatibil
Injectabil Alprostadil
clorura de sodiu 0,9% 4954
Compatibil
Injectabil Alprostadil 6 µg/ml
Injectabil Pentoxifyllin 5 mg/ml
clorura de sodiu 0,9% 4543
Incompatibil
Injectabil Alprostadil
Injectabil Phentolamine mesylate
2150
Compatibil
Injectabil Alprostadil 20 µg/ml
Injectabil Sildenafil citrate 0,6 mg/ml
Glucoza 5% 4845
Compatibil
Injectabil Alprostadil 15 µg/ml
Injectabil Tobramycin sulfate 1 mg/ml
3201
Compatibil
Injectabil Alprostadil 15 µg/ml
Injectabil Vancomycin hydrochloride 5 mg/ml
3201
Compatibil
Injectabil Alprostadil 15 µg/ml
Injectabil Vecuronium bromide 1 mg/ml
3201

  Mentions Légales