Son güncelleme :
27/11/2025
Vazodilatör   Alprostadil  
Enjeksiyon
Çözeltilerin stabilitesi Karışımlardaki stabilitesi Stabiliteyi etkileyen faktörler Uyumluluk Uygulama yöntemi Kaynaklar pdf
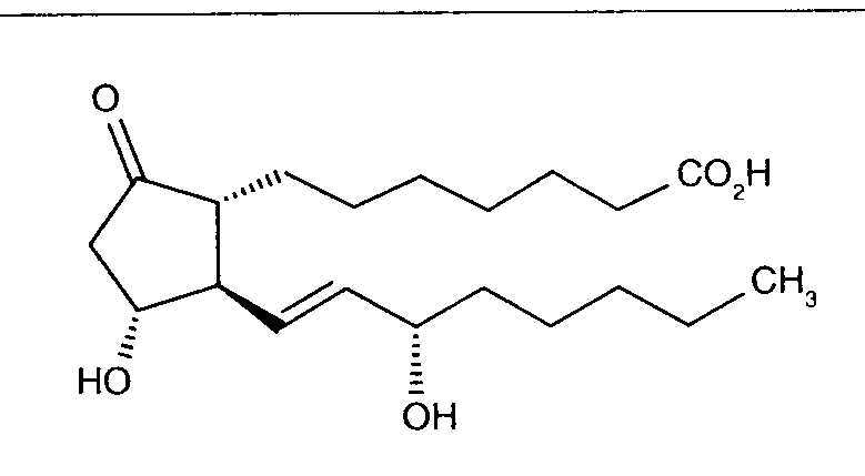
   Kimyasal yapı   

Ticari isim   Ticari isim     

Trade names are indicative and excipients composition can be different depending on the country and manufacturers

Alfaprostin Mısır
Alistint Meksika, Peru
Alprostadil Almanya, Amerika Birleşik Devletleri, Arjantin, Avustralya, Ekvador, İspanya, Kanada, Malezya, Peru, Romanya, Şili, Suudi Arabistan, Türkiye
Alprostapint Arjantin, Avusturya, Ekvador, Kolombiya, Macaristan, Peru
Alprostar İtalya
Aplicav
Cardiobonisol Polonya
Caverject Amerika Birleşik Devletleri, Avusturya, Belçika, Birleşik Arap Emirlikleri, Brezilya, Büyük Britanya, Danimarka, Fransa, İspanya, İsveç, İsviçre, İtalya, Kanada, Kolombiya, Norveç, Polonya, Portekiz, Şili, Slovenya, Türkiye
Edex Amerika Birleşik Devletleri, Fransa, Tunus, Yunanistan
Liple Japonya
Minprog Almanya, Avusturya
Ostapint Meksika, Peru
Palux Japonya
Pridax Almanya, Avusturya, İspanya, Romanya
Prolisina VR Arjantin
Prostandin Japonya
Prostavasin Almanya, Avusturya, İran, İtalya, Lüksemburg, Macaristan, Mısır, Polonya
Prostin VR Amerika Birleşik Devletleri, Belçika, Büyük Britanya, Danimarka, Finlandiya, Hırvatistan, Hollanda, İran, İsviçre, İtalya, Kanada, Kolombiya, Lüksemburg, Macaristan, Malezya, Norveç, Polonya, Portekiz, Suudi Arabistan, Venezuela, Yunanistan
Prostine VR Fransa
Vasaprostan Romanya
Uyumluluk   Enjeksiyon    Uyumluluk : Alprostadil              
Bu ekran, bu durumda uyumsuzluk tipiyle (çökelme, renk değişimi, bir emülsiyonun modifikasyonu, vb.) Uyumlulukları veya uyumsuzlukları gösterir. Burada gösterilen uyumluluklar çoğunlukla yalnızca fizikseldir ve her molekülün kimyasal stabilitesi nadiren değerlendirilir. Bu karışımların değerlendirilmesi, hastaya Y bölgesi uygulama olasılığını göz önünde bulundurmak için çalışıldı. Bu veriler önceden torba veya şırıngalarda karışım yapmak için kullanılamaz. Bu tür bilgiler "Karışımda stabilite" ekranında mevcuttur.
Bileşik Çözücü Kaynaklar
Uyumlu
Enjeksiyon Alprostadil 20 µg/ml
Enjeksiyon Caffeine citrate 20 mg/ml
Sodyum klorür % 0,9 4837
Uyumlu
Enjeksiyon Alprostadil
Glukoz %5 4954
Uyumlu
Enjeksiyon Alprostadil 20 µg/ml
Enjeksiyon Amiodarone hydrochloride 6 mg/ml
Glukoz %5 4651
Uyumlu
Enjeksiyon Alprostadil 20 µg/ml
Enjeksiyon Amiodarone hydrochloride 6 mg/ml
Glukoz %5 4491
Uyumlu
Enjeksiyon Alprostadil 15 µg/ml
Enjeksiyon Ampicillin sodium 100 mg/ml
3201
Uyumlu
Enjeksiyon Alprostadil 20 µg/ml
Enjeksiyon Caffeine 10 mg/ml
Sodyum klorür % 0,9 4837
Uyumlu
Enjeksiyon Alprostadil 20 µg/ml
Enjeksiyon Calcium gluconate 10 mg/ml
Glukoz %5 4651
Uyumlu
Enjeksiyon Alprostadil 20 µg/ml
Enjeksiyon Calcium gluconate 0,04 mg/ml
Glukoz %10 4491
Uyumlu
Enjeksiyon Alprostadil 15 µg/ml
Enjeksiyon Cefazolin sodium 100 mg/ml
3201
Uyumlu
Enjeksiyon Alprostadil 15 µg/ml
Enjeksiyon Cefotaxime sodium 100 mg/ml
3201
Uyumlu
Enjeksiyon Alprostadil 15 µg/ml
Enjeksiyon Chlorothiazide sodium 25 mg/ml
3201
Acil yağış uyumsuz
Enjeksiyon Alprostadil 20 µg/ml
Enjeksiyon Cisatracurium besylate 1,2 mg/ml
Glukoz %5 4651
Uyumlu
Enjeksiyon Alprostadil 20 µg/ml
Parenteral beslenme (Lipidler) 4507
Acil yağış uyumsuz
Enjeksiyon Alprostadil 20 µg/ml
Enjeksiyon Cisatracurium besylate 1,2 mg/ml
Glukoz %5 4491
Anında bulanıklık uyumsuz
Enjeksiyon Alprostadil 20 µg/ml
Enjeksiyon Dexmedetomidine 4 µg/ml
Glukoz %5 4651
Uyumlu
Enjeksiyon Alprostadil 20 µg/ml
Enjeksiyon Dexmedetomidine 4 µg/ml
Glukoz %5 4491
Uyumlu
Enjeksiyon Alprostadil 500 µg/ml
Enjeksiyon Dexmedetomidine 100 µg/ml
4389
Uyumlu
Enjeksiyon Alprostadil 20 µg/ml
Enjeksiyon Dobutamine hydrochloride 10 mg/ml
Glukoz %5 4651
Uyumlu
Enjeksiyon Alprostadil 15 µg/ml
Enjeksiyon Dobutamine hydrochloride 3 mg/ml
3201
Uyumlu
Enjeksiyon Alprostadil 20 µg/ml
Enjeksiyon Dobutamine hydrochloride 10 mg/ml
Glukoz %5 4491
Uyumlu
Enjeksiyon Alprostadil 20 µg/ml
Enjeksiyon Dopamine hydrochloride 10 mg/ml
Glukoz %5 4651
Uyumlu
Enjeksiyon Alprostadil 15 µg/ml
Enjeksiyon Dopamine hydrochloride 3 mg/ml
3201
Uyumlu
Enjeksiyon Alprostadil 20 µg/ml
Enjeksiyon Dopamine hydrochloride 10 mg/ml
Glukoz %5 4491
Uyumlu
Enjeksiyon Alprostadil 20 µg/ml
Enjeksiyon Epinephrine hydrochloride 0,2 µg/ml
Glukoz %5 4491
Uyumlu
Enjeksiyon Alprostadil 20 µg/ml
Enjeksiyon Epinephrine hydrochloride 200 µg/ml
Glukoz %5 4651
Uyumlu
Enjeksiyon Alprostadil 20 µg/ml
Enjeksiyon Fentanyl citrate 40 µg/ml
Glukoz %5 4651
Uyumlu
Enjeksiyon Alprostadil 15 µg/ml
Enjeksiyon Fentanyl citrate 10 µg/ml
3201
Uyumlu
Enjeksiyon Alprostadil 20 µg/ml
Enjeksiyon Fentanyl citrate 40 µg/ml
Sodyum klorür % 0,9 4491
Uyumlu
Enjeksiyon Alprostadil 20 µg/ml
Enjeksiyon Flecainide acetate 2 mg/ml
Glukoz %5 4491
Uyumlu
Enjeksiyon Alprostadil 20 µg/ml
Enjeksiyon Flecainide acetate 2 mg/ml
Glukoz %5 4651
Uyumlu
Enjeksiyon Alprostadil 15 µg/ml
Enjeksiyon Furosemide 5 mg/ml
3201
Uyumlu
Enjeksiyon Alprostadil 20 µg/ml
Enjeksiyon Furosemide 5 mg/ml
Glukoz %5 4651
Uyumlu
Enjeksiyon Alprostadil 20 µg/ml
Enjeksiyon Furosemide 5 mg/ml
Sodyum klorür % 0,9 4491
Uyumlu
Enjeksiyon Alprostadil 1 µg/ml
Enjeksiyon Furosemide 10 mg/ml
Sodyum klorür % 0,9 4570
Uyumlu
Enjeksiyon Alprostadil 15 µg/ml
Enjeksiyon Gentamicin sulfate 1 mg/ml
3201
Uyumlu
Enjeksiyon Alprostadil 20 µg/ml
Enjeksiyon Heparin sodium 1 UI/ml
Sodyum klorür % 0,9 4491
Uyumlu
Enjeksiyon Alprostadil 20 µg/ml
Enjeksiyon Heparin sodium 1 UI/ml
Glukoz %5 4651
Anında bulanıklık uyumsuz
Enjeksiyon Alprostadil 20 µg/ml
Enjeksiyon Insulin 1 UI/ml
Glukoz %5 4491
Acil yağış uyumsuz
Enjeksiyon Alprostadil 20 µg/ml
Enjeksiyon Insulin 1 UI/ml
Sodyum klorür % 0,9 4651
Uyumlu
Enjeksiyon Alprostadil 500 µg/ml
Enjeksiyon Ketamine hydrochloride 50 mg/ml
4389
Uyumlu
Enjeksiyon Alprostadil 20 µg/ml
Enjeksiyon Ketamine hydrochloride 5 mg/ml
Glukoz %5 4651
Uyumlu
Enjeksiyon Alprostadil 20 µg/ml
Enjeksiyon Ketamine hydrochloride 5 mg/ml
Glukoz %5 4491
Acil yağış uyumsuz
Enjeksiyon Alprostadil 500 µg/ml
Enjeksiyon Levofloxacine 5 mg/ml
Glukoz %5 1072
Uyumlu
Enjeksiyon Alprostadil 15 µg/ml
Enjeksiyon Methylprednisolone sodium succinate 40 mg/ml
3201
Uyumlu
Enjeksiyon Alprostadil 20 µg/ml
Enjeksiyon Midazolam hydrochloride 2,5 mg/ml
Glukoz %5 4491
Uyumlu
Enjeksiyon Alprostadil 20 µg/ml
Enjeksiyon Midazolam hydrochloride 2,5 mg/ml
Glukoz %5 4651
Uyumlu
Enjeksiyon Alprostadil 20 µg/ml
Enjeksiyon Milrinone lactate 0,5 mg/ml
Glukoz %5 4491
Uyumlu
Enjeksiyon Alprostadil 500 µg/ml
Enjeksiyon Milrinone lactate 1 mg/ml
4389
Uyumlu
Enjeksiyon Alprostadil 20 µg/ml
Enjeksiyon Milrinone lactate 0,5 mg/ml
Glukoz %5 4651
Uyumlu
Enjeksiyon Alprostadil 20 µg/ml
Enjeksiyon Morphine hydrochloride 2 mg/ml
Glukoz %5 4651
4 saat sonra yağış uyumsuz
Enjeksiyon Alprostadil 20 µg/ml
Enjeksiyon Norepinephrine bitartrate 0,5 mg/ml
Glukoz %5 4491
4 saat sonra yağış uyumsuz
Enjeksiyon Alprostadil 20 µg/ml
Enjeksiyon Norepinephrine bitartrate 0,5 mg/ml
Glukoz %5 4651
Uyumlu
Enjeksiyon Alprostadil
Enjeksiyon Pantoprazole sodium
2090
uyumsuz
Enjeksiyon Alprostadil
Enjeksiyon Papaverine hydrochloride
2150
Uyumlu
Enjeksiyon Alprostadil
Sodyum klorür % 0,9 4954
Uyumlu
Enjeksiyon Alprostadil 6 µg/ml
Enjeksiyon Pentoxifyllin 5 mg/ml
Sodyum klorür % 0,9 4543
uyumsuz
Enjeksiyon Alprostadil
Enjeksiyon Phentolamine mesylate
2150
Uyumlu
Enjeksiyon Alprostadil 20 µg/ml
Enjeksiyon Sildenafil citrate 0,6 mg/ml
Glukoz %5 4845
Uyumlu
Enjeksiyon Alprostadil 15 µg/ml
Enjeksiyon Tobramycin sulfate 1 mg/ml
3201
Uyumlu
Enjeksiyon Alprostadil 15 µg/ml
Enjeksiyon Vancomycin hydrochloride 5 mg/ml
3201
Uyumlu
Enjeksiyon Alprostadil 15 µg/ml
Enjeksiyon Vecuronium bromide 1 mg/ml
3201

  Mentions Légales