Siste oppdatering :
27/04/2026
Vasodilatator   Alprostadil  
Injeksjon
Oppløsningsstabilitet Stabilitet i blandinger Faktorer som påvirker stabiliteten Kompatibilitet Administrasjonsmåte Referanser pdf
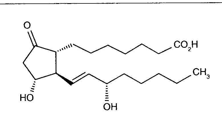
   Kjemisk struktur  

Handelsnavn   Handelsnavn     

Handelsnavn er veiledende og sammensetning av hjelpestoffer kan være forskjellig avhengig av land og produsent

Alfaprostin Egypt
Alistint Mexico, Peru
Alprostadil Argentina, Australia, Canada, Chile, Ecuador, Malaysia, Peru, Romania, Saudi-Arabia, Spania, Tyrkia, Tyskland, USA
Alprostapint Argentina, Colombia, Ecuador, Peru, Ungarn, Østerrike
Alprostar Italia
Aplicav
Cardiobonisol Polen
Caverject Belgia, Brasil, Canada, Chile, Colombia, Danmark, De forente arabiske emirater, Frankrike, Italia, Norge, Polen, Portugal, Slovenia, Spania, Storbritannia, Sveits, Sverige, Tyrkia, USA, Østerrike
Edex Frankrike, Hellas, Tunisia, USA
Liple Japan
Minprog Tyskland, Østerrike
Ostapint Mexico, Peru
Palux Japan
Pridax Romania, Spania, Tyskland, Østerrike
Prolisina VR Argentina
Prostandin Japan
Prostavasin Egypt, Iran, Italia, Luxembourg, Polen, Tyskland, Ungarn, Østerrike
Prostin VR Belgia, Canada, Colombia, Danmark, Finland, Hellas, Iran, Italia, Kroatia, Luxembourg, Malaysia, Nederland, Norge, Polen, Portugal, Saudi-Arabia, Storbritannia, Sveits, Ungarn, USA, Venezuela
Prostine VR Frankrike
Vasaprostan Romania
Kompatibilitet   Injeksjon   Kompatibilitet : Alprostadil              
Dette skjermbildet viser kompatibilitet eller inkompatibilitet med, i dette tilfellet, typen inkompatibilitet (nedbør, fargeendring, modifisering av en emulsjon, etc.). Kompatibilitetene som er vist her, er for det meste bare fysiske, og den kjemiske stabiliteten til hvert molekyl blir sjelden vurdert. Evalueringen av disse blandingene ble studert for å vurdere muligheten for Y-stedadministrasjon til pasienten. Disse dataene kan ikke brukes til å lage blandinger på forhånd i poser eller sprøyter. Denne typen informasjon er tilgjengelig på skjermen "Stabilitet i blanding".
Legemiddel Oppløsningsmiddel Referanser
Kompatibel
Injeksjon Alprostadil 20 µg/ml
Injeksjon Caffeine citrate 20 mg/ml
Natriumklorid 0,9 % 4837
Kompatibel
Injeksjon Alprostadil
Glukose 5 % 4954
Kompatibel
Injeksjon Alprostadil 20 µg/ml
Injeksjon Amiodarone hydrochloride 6 mg/ml
Glukose 5 % 4651
Kompatibel
Injeksjon Alprostadil 20 µg/ml
Injeksjon Amiodarone hydrochloride 6 mg/ml
Glukose 5 % 4491
Kompatibel
Injeksjon Alprostadil 15 µg/ml
Injeksjon Ampicillin sodium 100 mg/ml
3201
Kompatibel
Injeksjon Alprostadil 20 µg/ml
Injeksjon Caffeine 10 mg/ml
Natriumklorid 0,9 % 4837
Kompatibel
Injeksjon Alprostadil 20 µg/ml
Injeksjon Calcium gluconate 10 mg/ml
Glukose 5 % 4651
Kompatibel
Injeksjon Alprostadil 20 µg/ml
Injeksjon Calcium gluconate 0,04 mg/ml
Glukose 10 % 4491
Kompatibel
Injeksjon Alprostadil 15 µg/ml
Injeksjon Cefazolin sodium 100 mg/ml
3201
Kompatibel
Injeksjon Alprostadil 15 µg/ml
Injeksjon Cefotaxime sodium 100 mg/ml
3201
Kompatibel
Injeksjon Alprostadil 15 µg/ml
Injeksjon Chlorothiazide sodium 25 mg/ml
3201
Umiddelbar nedbør Uforenlig
Injeksjon Alprostadil 20 µg/ml
Injeksjon Cisatracurium besylate 1,2 mg/ml
Glukose 5 % 4651
Kompatibel
Injeksjon Alprostadil 20 µg/ml
Parenteral ernæring (med lipider) 4507
Umiddelbar nedbør Uforenlig
Injeksjon Alprostadil 20 µg/ml
Injeksjon Cisatracurium besylate 1,2 mg/ml
Glukose 5 % 4491
Umiddelbar turbiditet Uforenlig
Injeksjon Alprostadil 20 µg/ml
Injeksjon Dexmedetomidine 4 µg/ml
Glukose 5 % 4651
Kompatibel
Injeksjon Alprostadil 20 µg/ml
Injeksjon Dexmedetomidine 4 µg/ml
Glukose 5 % 4491
Kompatibel
Injeksjon Alprostadil 500 µg/ml
Injeksjon Dexmedetomidine 100 µg/ml
4389
Kompatibel
Injeksjon Alprostadil 20 µg/ml
Injeksjon Dobutamine hydrochloride 10 mg/ml
Glukose 5 % 4651
Kompatibel
Injeksjon Alprostadil 15 µg/ml
Injeksjon Dobutamine hydrochloride 3 mg/ml
3201
Kompatibel
Injeksjon Alprostadil 20 µg/ml
Injeksjon Dobutamine hydrochloride 10 mg/ml
Glukose 5 % 4491
Kompatibel
Injeksjon Alprostadil 20 µg/ml
Injeksjon Dopamine hydrochloride 10 mg/ml
Glukose 5 % 4651
Kompatibel
Injeksjon Alprostadil 15 µg/ml
Injeksjon Dopamine hydrochloride 3 mg/ml
3201
Kompatibel
Injeksjon Alprostadil 20 µg/ml
Injeksjon Dopamine hydrochloride 10 mg/ml
Glukose 5 % 4491
Kompatibel
Injeksjon Alprostadil 20 µg/ml
Injeksjon Epinephrine hydrochloride 0,2 µg/ml
Glukose 5 % 4491
Kompatibel
Injeksjon Alprostadil 20 µg/ml
Injeksjon Epinephrine hydrochloride 200 µg/ml
Glukose 5 % 4651
Kompatibel
Injeksjon Alprostadil 20 µg/ml
Injeksjon Fentanyl citrate 40 µg/ml
Glukose 5 % 4651
Kompatibel
Injeksjon Alprostadil 15 µg/ml
Injeksjon Fentanyl citrate 10 µg/ml
3201
Kompatibel
Injeksjon Alprostadil 20 µg/ml
Injeksjon Fentanyl citrate 40 µg/ml
Natriumklorid 0,9 % 4491
Kompatibel
Injeksjon Alprostadil 20 µg/ml
Injeksjon Flecainide acetate 2 mg/ml
Glukose 5 % 4491
Kompatibel
Injeksjon Alprostadil 20 µg/ml
Injeksjon Flecainide acetate 2 mg/ml
Glukose 5 % 4651
Kompatibel
Injeksjon Alprostadil 15 µg/ml
Injeksjon Furosemide 5 mg/ml
3201
Kompatibel
Injeksjon Alprostadil 20 µg/ml
Injeksjon Furosemide 5 mg/ml
Glukose 5 % 4651
Kompatibel
Injeksjon Alprostadil 20 µg/ml
Injeksjon Furosemide 5 mg/ml
Natriumklorid 0,9 % 4491
Kompatibel
Injeksjon Alprostadil 1 µg/ml
Injeksjon Furosemide 10 mg/ml
Natriumklorid 0,9 % 4570
Kompatibel
Injeksjon Alprostadil 15 µg/ml
Injeksjon Gentamicin sulfate 1 mg/ml
3201
Kompatibel
Injeksjon Alprostadil 20 µg/ml
Injeksjon Heparin sodium 1 UI/ml
Natriumklorid 0,9 % 4491
Kompatibel
Injeksjon Alprostadil 20 µg/ml
Injeksjon Heparin sodium 1 UI/ml
Glukose 5 % 4651
Umiddelbar turbiditet Uforenlig
Injeksjon Alprostadil 20 µg/ml
Injeksjon Insulin 1 UI/ml
Glukose 5 % 4491
Umiddelbar nedbør Uforenlig
Injeksjon Alprostadil 20 µg/ml
Injeksjon Insulin 1 UI/ml
Natriumklorid 0,9 % 4651
Kompatibel
Injeksjon Alprostadil 500 µg/ml
Injeksjon Ketamine hydrochloride 50 mg/ml
4389
Kompatibel
Injeksjon Alprostadil 20 µg/ml
Injeksjon Ketamine hydrochloride 5 mg/ml
Glukose 5 % 4651
Kompatibel
Injeksjon Alprostadil 20 µg/ml
Injeksjon Ketamine hydrochloride 5 mg/ml
Glukose 5 % 4491
Umiddelbar nedbør Uforenlig
Injeksjon Alprostadil 500 µg/ml
Injeksjon Levofloxacine 5 mg/ml
Glukose 5 % 1072
Kompatibel
Injeksjon Alprostadil 15 µg/ml
Injeksjon Methylprednisolone sodium succinate 40 mg/ml
3201
Kompatibel
Injeksjon Alprostadil 20 µg/ml
Injeksjon Midazolam hydrochloride 2,5 mg/ml
Glukose 5 % 4491
Kompatibel
Injeksjon Alprostadil 20 µg/ml
Injeksjon Midazolam hydrochloride 2,5 mg/ml
Glukose 5 % 4651
Kompatibel
Injeksjon Alprostadil 20 µg/ml
Injeksjon Milrinone lactate 0,5 mg/ml
Glukose 5 % 4491
Kompatibel
Injeksjon Alprostadil 500 µg/ml
Injeksjon Milrinone lactate 1 mg/ml
4389
Kompatibel
Injeksjon Alprostadil 20 µg/ml
Injeksjon Milrinone lactate 0,5 mg/ml
Glukose 5 % 4651
Kompatibel
Injeksjon Alprostadil 20 µg/ml
Injeksjon Morphine hydrochloride 2 mg/ml
Glukose 5 % 4651
Nedbør etter 4 timer Uforenlig
Injeksjon Alprostadil 20 µg/ml
Injeksjon Norepinephrine bitartrate 0,5 mg/ml
Glukose 5 % 4491
Nedbør etter 4 timer Uforenlig
Injeksjon Alprostadil 20 µg/ml
Injeksjon Norepinephrine bitartrate 0,5 mg/ml
Glukose 5 % 4651
Kompatibel
Injeksjon Alprostadil
Injeksjon Pantoprazole sodium
2090
Uforenlig
Injeksjon Alprostadil
Injeksjon Papaverine hydrochloride
2150
Kompatibel
Injeksjon Alprostadil
Natriumklorid 0,9 % 4954
Kompatibel
Injeksjon Alprostadil 6 µg/ml
Injeksjon Pentoxifyllin 5 mg/ml
Natriumklorid 0,9 % 4543
Uforenlig
Injeksjon Alprostadil
Injeksjon Phentolamine mesylate
2150
Kompatibel
Injeksjon Alprostadil 20 µg/ml
Injeksjon Sildenafil citrate 0,6 mg/ml
Glukose 5 % 4845
Kompatibel
Injeksjon Alprostadil 15 µg/ml
Injeksjon Tobramycin sulfate 1 mg/ml
3201
Kompatibel
Injeksjon Alprostadil 15 µg/ml
Injeksjon Vancomycin hydrochloride 5 mg/ml
3201
Kompatibel
Injeksjon Alprostadil 15 µg/ml
Injeksjon Vecuronium bromide 1 mg/ml
3201

  Mentions Légales