Posledná aktualizácia :
27/01/2026
vazodilatans   Alprostadil  
Injekcia
Stabilita roztokov Stabilita v zmesiach Faktory ovplyvňujúce stabilitu Kompatibility spôsob podania Odkazy na literatúru PDF
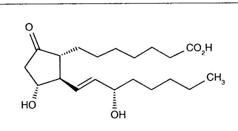
   Chemický vzorec  

Obchodný názov   Obchodný názov     

Obchodné názvy sú orientačné, a zloženie pomocných látok sa môže líšiť v závislosti od krajiny a výrobcu.

Alfaprostin Egypt
Alistint Mexiko, peru
Alprostadil Argentína, Austrália, Čile, Ekvádor, Kanada, Malajzia, Nemecko, peru, Rumunsko, Saudská Arábia, Španielsko, Spojené štáty Americké, Turecko
Alprostapint Argentína, Ekvádor, Kolumbia, Maďarsko, peru, Rakúsko
Alprostar Taliansko
Aplicav
Cardiobonisol Poľsko
Caverject Belgicko, Brazília, Čile, Dánsko, Francúzsko, Kanada, Kolumbia, Nórsko, Poľsko, Portugalsko, Rakúsko, Slovinsko, Španielsko, Spojené arabské emiráty, Spojené štáty Americké, Švajčiarsko, Švédsko, Taliansko, Turecko, Veľká Británia
Edex Francúzsko, Grécko, Spojené štáty Americké, Tunisko
Liple Japonsko
Minprog Nemecko, Rakúsko
Ostapint Mexiko, peru
Palux Japonsko
Pridax Nemecko, Rakúsko, Rumunsko, Španielsko
Prolisina VR Argentína
Prostandin Japonsko
Prostavasin Egypt, Irán, Luxembursko, Maďarsko, Nemecko, Poľsko, Rakúsko, Taliansko
Prostin VR Belgicko, Chorvátsko, Dánsko, Fínsko, Grécko, Holandsko, Irán, Kanada, Kolumbia, Luxembursko, Maďarsko, Malajzia, Nórsko, Poľsko, Portugalsko, Saudská Arábia, Spojené štáty Americké, Švajčiarsko, Taliansko, Veľká Británia, Venezuela
Prostine VR Francúzsko
Vasaprostan Rumunsko
Kompatibility   Injekcia   Kompatibility : Alprostadil              
Toto okno zobrazuje kompatibility alebo inkombatibility, v prípade inkompatibility aj jej typ (vyzrážanie, zmena farby, zmena emulzie atď.). Tu vymenované kompatibility sú väčšinou len fyzikálne, chemická stabilita každej zo zlúčenín sa hodnotila len zriedkavo. Tieto zmesi sa skúmali za účelom možnosti súbežného podávania pacientovi cez infúznu spojku Y. Údaje sa nedajú použiť na prípravu zmesí vo vakoch alebo striekačkách. Taká informácia sa nachádza v okne „Stabilita v zmesiach“.
Zlúčenina rozpúšťadlo odkazy na lieteratúru
kompatibilný
Injekcia Alprostadil 20 µg/ml
Injekcia Caffeine citrate 20 mg/ml
0,9% chlorid sodný 4837
kompatibilný
Injekcia Alprostadil
5% glukóza 4954
kompatibilný
Injekcia Alprostadil 20 µg/ml
Injekcia Amiodarone hydrochloride 6 mg/ml
5% glukóza 4651
kompatibilný
Injekcia Alprostadil 20 µg/ml
Injekcia Amiodarone hydrochloride 6 mg/ml
5% glukóza 4491
kompatibilný
Injekcia Alprostadil 15 µg/ml
Injekcia Ampicillin sodium 100 mg/ml
3201
kompatibilný
Injekcia Alprostadil 20 µg/ml
Injekcia Caffeine 10 mg/ml
0,9% chlorid sodný 4837
kompatibilný
Injekcia Alprostadil 20 µg/ml
Injekcia Calcium gluconate 10 mg/ml
5% glukóza 4651
kompatibilný
Injekcia Alprostadil 20 µg/ml
Injekcia Calcium gluconate 0,04 mg/ml
10% glukóza 4491
kompatibilný
Injekcia Alprostadil 15 µg/ml
Injekcia Cefazolin sodium 100 mg/ml
3201
kompatibilný
Injekcia Alprostadil 15 µg/ml
Injekcia Cefotaxime sodium 100 mg/ml
3201
kompatibilný
Injekcia Alprostadil 15 µg/ml
Injekcia Chlorothiazide sodium 25 mg/ml
3201
Okamžité zrážanie nezlučiteľný
Injekcia Alprostadil 20 µg/ml
Injekcia Cisatracurium besylate 1,2 mg/ml
5% glukóza 4651
kompatibilný
Injekcia Alprostadil 20 µg/ml
Parenterálna výživa (lipidy) 4507
Okamžité zrážanie nezlučiteľný
Injekcia Alprostadil 20 µg/ml
Injekcia Cisatracurium besylate 1,2 mg/ml
5% glukóza 4491
Okamžitá zákal nezlučiteľný
Injekcia Alprostadil 20 µg/ml
Injekcia Dexmedetomidine 4 µg/ml
5% glukóza 4651
kompatibilný
Injekcia Alprostadil 20 µg/ml
Injekcia Dexmedetomidine 4 µg/ml
5% glukóza 4491
kompatibilný
Injekcia Alprostadil 500 µg/ml
Injekcia Dexmedetomidine 100 µg/ml
4389
kompatibilný
Injekcia Alprostadil 20 µg/ml
Injekcia Dobutamine hydrochloride 10 mg/ml
5% glukóza 4651
kompatibilný
Injekcia Alprostadil 15 µg/ml
Injekcia Dobutamine hydrochloride 3 mg/ml
3201
kompatibilný
Injekcia Alprostadil 20 µg/ml
Injekcia Dobutamine hydrochloride 10 mg/ml
5% glukóza 4491
kompatibilný
Injekcia Alprostadil 20 µg/ml
Injekcia Dopamine hydrochloride 10 mg/ml
5% glukóza 4651
kompatibilný
Injekcia Alprostadil 15 µg/ml
Injekcia Dopamine hydrochloride 3 mg/ml
3201
kompatibilný
Injekcia Alprostadil 20 µg/ml
Injekcia Dopamine hydrochloride 10 mg/ml
5% glukóza 4491
kompatibilný
Injekcia Alprostadil 20 µg/ml
Injekcia Epinephrine hydrochloride 0,2 µg/ml
5% glukóza 4491
kompatibilný
Injekcia Alprostadil 20 µg/ml
Injekcia Epinephrine hydrochloride 200 µg/ml
5% glukóza 4651
kompatibilný
Injekcia Alprostadil 20 µg/ml
Injekcia Fentanyl citrate 40 µg/ml
5% glukóza 4651
kompatibilný
Injekcia Alprostadil 15 µg/ml
Injekcia Fentanyl citrate 10 µg/ml
3201
kompatibilný
Injekcia Alprostadil 20 µg/ml
Injekcia Fentanyl citrate 40 µg/ml
0,9% chlorid sodný 4491
kompatibilný
Injekcia Alprostadil 20 µg/ml
Injekcia Flecainide acetate 2 mg/ml
5% glukóza 4491
kompatibilný
Injekcia Alprostadil 20 µg/ml
Injekcia Flecainide acetate 2 mg/ml
5% glukóza 4651
kompatibilný
Injekcia Alprostadil 15 µg/ml
Injekcia Furosemide 5 mg/ml
3201
kompatibilný
Injekcia Alprostadil 20 µg/ml
Injekcia Furosemide 5 mg/ml
5% glukóza 4651
kompatibilný
Injekcia Alprostadil 20 µg/ml
Injekcia Furosemide 5 mg/ml
0,9% chlorid sodný 4491
kompatibilný
Injekcia Alprostadil 1 µg/ml
Injekcia Furosemide 10 mg/ml
0,9% chlorid sodný 4570
kompatibilný
Injekcia Alprostadil 15 µg/ml
Injekcia Gentamicin sulfate 1 mg/ml
3201
kompatibilný
Injekcia Alprostadil 20 µg/ml
Injekcia Heparin sodium 1 UI/ml
0,9% chlorid sodný 4491
kompatibilný
Injekcia Alprostadil 20 µg/ml
Injekcia Heparin sodium 1 UI/ml
5% glukóza 4651
Okamžitá zákal nezlučiteľný
Injekcia Alprostadil 20 µg/ml
Injekcia Insulin 1 UI/ml
5% glukóza 4491
Okamžité zrážanie nezlučiteľný
Injekcia Alprostadil 20 µg/ml
Injekcia Insulin 1 UI/ml
0,9% chlorid sodný 4651
kompatibilný
Injekcia Alprostadil 500 µg/ml
Injekcia Ketamine hydrochloride 50 mg/ml
4389
kompatibilný
Injekcia Alprostadil 20 µg/ml
Injekcia Ketamine hydrochloride 5 mg/ml
5% glukóza 4651
kompatibilný
Injekcia Alprostadil 20 µg/ml
Injekcia Ketamine hydrochloride 5 mg/ml
5% glukóza 4491
Okamžité zrážanie nezlučiteľný
Injekcia Alprostadil 500 µg/ml
Injekcia Levofloxacine 5 mg/ml
5% glukóza 1072
kompatibilný
Injekcia Alprostadil 15 µg/ml
Injekcia Methylprednisolone sodium succinate 40 mg/ml
3201
kompatibilný
Injekcia Alprostadil 20 µg/ml
Injekcia Midazolam hydrochloride 2,5 mg/ml
5% glukóza 4491
kompatibilný
Injekcia Alprostadil 20 µg/ml
Injekcia Midazolam hydrochloride 2,5 mg/ml
5% glukóza 4651
kompatibilný
Injekcia Alprostadil 20 µg/ml
Injekcia Milrinone lactate 0,5 mg/ml
5% glukóza 4491
kompatibilný
Injekcia Alprostadil 500 µg/ml
Injekcia Milrinone lactate 1 mg/ml
4389
kompatibilný
Injekcia Alprostadil 20 µg/ml
Injekcia Milrinone lactate 0,5 mg/ml
5% glukóza 4651
kompatibilný
Injekcia Alprostadil 20 µg/ml
Injekcia Morphine hydrochloride 2 mg/ml
5% glukóza 4651
Zrážky po 4 hodinách nezlučiteľný
Injekcia Alprostadil 20 µg/ml
Injekcia Norepinephrine bitartrate 0,5 mg/ml
5% glukóza 4491
Zrážky po 4 hodinách nezlučiteľný
Injekcia Alprostadil 20 µg/ml
Injekcia Norepinephrine bitartrate 0,5 mg/ml
5% glukóza 4651
kompatibilný
Injekcia Alprostadil
Injekcia Pantoprazole sodium
2090
nezlučiteľný
Injekcia Alprostadil
Injekcia Papaverine hydrochloride
2150
kompatibilný
Injekcia Alprostadil
0,9% chlorid sodný 4954
kompatibilný
Injekcia Alprostadil 6 µg/ml
Injekcia Pentoxifyllin 5 mg/ml
0,9% chlorid sodný 4543
nezlučiteľný
Injekcia Alprostadil
Injekcia Phentolamine mesylate
2150
kompatibilný
Injekcia Alprostadil 20 µg/ml
Injekcia Sildenafil citrate 0,6 mg/ml
5% glukóza 4845
kompatibilný
Injekcia Alprostadil 15 µg/ml
Injekcia Tobramycin sulfate 1 mg/ml
3201
kompatibilný
Injekcia Alprostadil 15 µg/ml
Injekcia Vancomycin hydrochloride 5 mg/ml
3201
kompatibilný
Injekcia Alprostadil 15 µg/ml
Injekcia Vecuronium bromide 1 mg/ml
3201

  Mentions Légales