Cập nhật lần cuối :
27/04/2026
Thuốc kháng virus   Foscarnet sodium  
Dạng tiêm
Tính ổn định của các dung dịch Độ ổn định khi trộn lẫn Những yếu tố ảnh hưởng đến độ ổn định Khả năng tương thích Đường dùng Tài liệu tham khảo Pdf
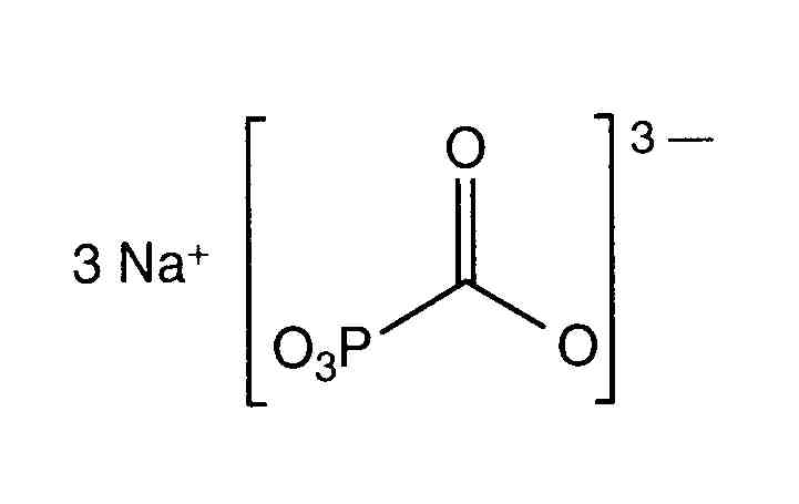
   Cấu trúc hóa học  

Tên thương mại   Tên thương mại     

Các tên thương mại được cung cấp và thành phần tá dược có thể khác nhau giữa các quốc gia và các hãng dược

Foscarnet Argentina, Bồ Đào Nha, Chile, Colombia, Ecuador, Hoa Kỳ, Mexico, Peru, Tây Ban Nha
Foscavir Anh, Áo, Bỉ, Hà Lan, Hoa Kỳ, Hungary, Hy Lạp, Luxembourg, new zealand, Pháp, Tây Ban Nha, Thụy Sỹ, Thụy Điển, Úc, Ý, Đức
Khả năng tương thích   Dạng tiêm   Khả năng tương thích : Foscarnet sodium              
Màn hình này cho biết khả năng tương thích hoặc không tương thích, trong trường hợp này là loại không tương thích (kết tủa, thay đổi màu sắc, sửa đổi nhũ tương, v.v.). Sự tương hợp được chỉ ra ở đây chủ yếu chỉ là vật lý, với độ ổn định hóa học của mỗi phân tử hiếm khi được đánh giá. Việc đánh giá các hỗn hợp này được nghiên cứu để xem xét khả năng sử dụng vị trí Y cho bệnh nhân. Những dữ liệu này không thể được sử dụng để tạo hỗn hợp trước trong túi hoặc ống tiêm. Loại thông tin này có sẵn trong màn hình "Độ ổn định trong hỗn hợp».
Phân tử Dung môi Mục lục
Không tương thích không xác định Không tương thích
Dạng tiêm Foscarnet sodium
Dạng tiêm Aciclovir sodium
3595
Lượng mưa ngay lập tức Không tương thích
Dạng tiêm Foscarnet sodium 24 mg/ml
Dạng tiêm Aciclovir sodium 7 mg/ml
Glucose 5% 1135
Lượng mưa ngay lập tức Không tương thích
Dạng tiêm Foscarnet sodium 24 mg/ml
Dạng tiêm Aciclovir sodium 7 mg/ml
NaCl 0,9% 1135
Không tương thích không xác định Không tương thích
Dạng tiêm Foscarnet sodium
Dạng tiêm Aciclovir sodium
3662
Lượng mưa ngay lập tức Không tương thích
Dạng tiêm Foscarnet sodium 24 mg/ml
Dạng tiêm Aciclovir sodium 10 mg/ml
Không 73
Tương thích
Dạng tiêm Foscarnet sodium 24 mg/ml
Dạng tiêm Aldesleukin 0.0338 MUI/ml
Glucose 5% 36
Tương thích
Dạng tiêm Foscarnet sodium 24 mg/ml
Dạng tiêm Amikacin sulfate 20 mg/ml
Không 73
Tương thích
Dạng tiêm Foscarnet sodium 24 mg/ml
Dạng tiêm Aminophylline 25 mg/ml
Không 73
Độ đục ngay lập tức Không tương thích
Dạng tiêm Foscarnet sodium 24 mg/ml
Dạng tiêm Amphotericin B 0.6 mg/ml
Glucose 5% 1135
Không tương thích không xác định Không tương thích
Dạng tiêm Foscarnet sodium
Dạng tiêm Amphotericin B
3662
Lượng mưa ngay lập tức Không tương thích
Dạng tiêm Foscarnet sodium 24 mg/ml
Dạng tiêm Amphotericin B 5 mg/ml
Không 73
Tương thích
Dạng tiêm Foscarnet sodium 24 mg/ml
Dạng tiêm Ampicillin sodium 20 mg/ml
Không 73
Tương thích
Dạng tiêm Foscarnet sodium 24 mg/ml
Dạng tiêm Aztreonam 40 mg/ml
NaCl 0,9% 1135
Tương thích
Dạng tiêm Foscarnet sodium 24 mg/ml
Dạng tiêm Aztreonam 40 mg/ml
Glucose 5% 1135
Tương thích
Dạng tiêm Foscarnet sodium 24 mg/ml
Dạng tiêm Aztreonam 40 mg/ml
Không 73
Không tương thích không xác định Không tương thích
Dạng tiêm Foscarnet sodium
Dạng tiêm Calcium chloride
3662
Không tương thích không xác định Không tương thích
Dạng tiêm Foscarnet sodium
Dạng tiêm Calcium glucoheptonate
3662
Không tương thích không xác định Không tương thích
Dạng tiêm Foscarnet sodium
Dạng tiêm Calcium gluconate
3662
Tương thích
Dạng tiêm Foscarnet sodium 24 mg/ml
Dạng tiêm Cefazolin sodium 40 mg/ml
Không 73
Tương thích
Dạng tiêm Foscarnet sodium 24 mg/ml
Dạng tiêm Cefoperazone sodium 40 mg/ml
Không 73
Tương thích
Dạng tiêm Foscarnet sodium 24 mg/ml
Dạng tiêm Cefoxitin sodium 40 mg/ml
Không 73
Tương thích
Dạng tiêm Foscarnet sodium 24 mg/ml
Dạng tiêm Ceftazidime 20 mg/ml
Glucose 5% 1135
Tương thích
Dạng tiêm Foscarnet sodium 24 mg/ml
Dạng tiêm Ceftazidime 20 mg/ml
Không 73
Tương thích
Dạng tiêm Foscarnet sodium 24 mg/ml
Dạng tiêm Ceftazidime 20 mg/ml
NaCl 0,9% 1135
Tương thích
Dạng tiêm Foscarnet sodium
Dạng tiêm Ceftazidime
3883
Tương thích
Dạng tiêm Foscarnet sodium 24 mg/ml
Dạng tiêm Ceftizoxime sodium 40 mg/ml
Không 73
Tương thích
Dạng tiêm Foscarnet sodium 24 mg/ml
Dạng tiêm Ceftriaxone disodium 20 mg/ml
Glucose 5% 1135
Tương thích
Dạng tiêm Foscarnet sodium 24 mg/ml
Dạng tiêm Ceftriaxone disodium 20 mg/ml
NaCl 0,9% 1135
Tương thích
Dạng tiêm Foscarnet sodium 24 mg/ml
Dạng tiêm Cefuroxime sodium 30 mg/ml
Không 73
Tương thích
Dạng tiêm Foscarnet sodium 24 mg/ml
Dạng tiêm Chloramphenicol sodium succinate 20 mg/ml
Không 73
Tương thích
Dạng tiêm Foscarnet sodium 24 mg/ml
Dạng tiêm Cimetidine hydrochloride 150 mg/ml
Không 73
Tương thích
Dạng tiêm Foscarnet sodium 24 mg/ml
Dạng tiêm Clindamycin phosphate 24 mg/ml
Không 73
Tương thích
Dạng tiêm Foscarnet sodium 24 mg/ml
Dạng tiêm Clindamycin phosphate 12 mg/ml
Glucose 5% 1135
Tương thích
Dạng tiêm Foscarnet sodium 24 mg/ml
Dạng tiêm Clindamycin phosphate 12 mg/ml
NaCl 0,9% 1135
Không tương thích không xác định Không tương thích
Dạng tiêm Foscarnet sodium
Dạng tiêm Co-trimoxazole
3662
Tương thích
Dạng tiêm Foscarnet sodium 24 mg/ml
Dạng tiêm Co-trimoxazole 2,6/0,53 mg/ml
Glucose 5% 1135
Lượng mưa ngay lập tức Không tương thích
Dạng tiêm Foscarnet sodium 24 mg/ml
Dạng tiêm Co-trimoxazole
Không 73
Tương thích
Dạng tiêm Foscarnet sodium 24 mg/ml
Dạng tiêm Defibrotide 8 mg/ml
NaCl 0,9% 3728
Tương thích
Dạng tiêm Foscarnet sodium 24 mg/ml
Dạng tiêm Dexamethasone sodium phosphate 10 mg/ml
Không 73
Sản xuất bong bóng khí Không tương thích
Dạng tiêm Foscarnet sodium 24 mg/ml
Dạng tiêm Diazepam 5 mg/ml
Không 73
Sản xuất bong bóng khí Không tương thích
Dạng tiêm Foscarnet sodium 24 mg/ml
Dạng tiêm Digoxin 250 µg/ml
Không 73
Độ đục ngay lập tức Không tương thích
Dạng tiêm Foscarnet sodium 24 mg/ml
Dạng tiêm Diphenhydramine hydrochloride 50 mg/ml
Không 73
Lượng mưa ngay lập tức Không tương thích
Dạng tiêm Foscarnet sodium 24 mg/ml
Dạng tiêm Dobutamine hydrochloride 12.5 mg/ml
Không 73
Tương thích
Dạng tiêm Foscarnet sodium 24 mg/ml
Dạng tiêm Dopamine hydrochloride 80 mg/ml
Không 73
Tương thích
Dạng tiêm Foscarnet sodium 24 mg/ml
Dạng tiêm Doripenem 5 mg/ml
Glucose 5% 2262
Tương thích
Dạng tiêm Foscarnet sodium 24 mg/ml
Dạng tiêm Doripenem 5 mg/ml
NaCl 0,9% 2262
Lượng mưa ngay lập tức Không tương thích
Dạng tiêm Foscarnet sodium 24 mg/ml
Dạng tiêm Droperidol 2.5 mg/ml
Không 73
Tương thích
Dạng tiêm Foscarnet sodium 24 mg/ml
Dạng tiêm Erythromycin lactobionate 20 mg/ml
NaCl 0,9% 1135
Tương thích
Dạng tiêm Foscarnet sodium 24 mg/ml
Dạng tiêm Erythromycin lactobionate 20 mg/ml
Không 73
Tương thích
Dạng tiêm Foscarnet sodium 24 mg/ml
Dạng tiêm Fluconazole 2 mg/ml
NaCl 0,9% 496
Độ đục ngay lập tức Không tương thích
Dạng tiêm Foscarnet sodium 24 mg/ml
Dạng tiêm Folinate calcium 10 mg/ml
Không 73
Tương thích
Dạng tiêm Foscarnet sodium 24 mg/ml
Dạng tiêm Furosemide 10 mg/ml
Không 73
Lượng mưa ngay lập tức Không tương thích
Dạng tiêm Foscarnet sodium 24 mg/ml
Dạng tiêm Ganciclovir sodium 50 mg/ml
Không 73
Không tương thích không xác định Không tương thích
Dạng tiêm Foscarnet sodium
Dạng tiêm Ganciclovir sodium
3662
Tương thích
Dạng tiêm Foscarnet sodium 24 mg/ml
Dạng tiêm Gentamicin sulfate 4 mg/ml
Không 73
Tương thích
Dạng tiêm Foscarnet sodium 24 mg/ml
Dạng tiêm Gentamicin sulfate 2 mg/ml
NaCl 0,9% 1135
Tương thích
Dạng tiêm Foscarnet sodium 24 mg/ml
Dạng tiêm Gentamicin sulfate 2 mg/ml
Glucose 5% 1135
Lượng mưa ngay lập tức Không tương thích
Dạng tiêm Foscarnet sodium 24 mg/ml
Dạng tiêm Haloperidol lactate 5 mg/ml
Không 73
Tương thích
Dạng tiêm Foscarnet sodium 24 mg/ml
Dạng tiêm Heparin sodium 100 UI/ml
NaCl 0,9% 1135
Tương thích
Dạng tiêm Foscarnet sodium 24 mg/ml
Dạng tiêm Heparin sodium 1000 UI/ml
Không 73
Tương thích
Dạng tiêm Foscarnet sodium 24 mg/ml
Dạng tiêm Heparin sodium 100 UI/ml
Glucose 5% 1135
Tương thích
Dạng tiêm Foscarnet sodium 24 mg/ml
Dạng tiêm Hydrocortisone sodium succinate 50 mg/ml
Không 73
Tương thích
Dạng tiêm Foscarnet sodium 24 mg/ml
Dạng tiêm Hydromorphone hydrochloride 10 mg/ml
Không 73
Tương thích
Dạng tiêm Foscarnet sodium 24 mg/ml
Dạng tiêm Hydroxyzine dihydrochloride 50 mg/ml
Không 73
Tương thích
Dạng tiêm Foscarnet sodium 24 mg/ml
Dạng tiêm Imipenem - cilastatin sodium 5 mg/ml
Glucose 5% 1135
Tương thích
Dạng tiêm Foscarnet sodium 24 mg/ml
Dạng tiêm Imipenem - cilastatin sodium 10 mg/ml
Không 73
Không tương thích không xác định Không tương thích
Dạng tiêm Foscarnet sodium
Dạng tiêm Levofolinate calcium
3662
Tương thích
Dạng tiêm Foscarnet sodium 24 mg/ml
Dạng tiêm Lorazepam 0,08 mg/ml
NaCl 0,9% 1135
Tương thích
Dạng tiêm Foscarnet sodium 24 mg/ml
Dạng tiêm Lorazepam 0,08 mg/ml
Glucose 5% 1135
Sản xuất bong bóng khí Không tương thích
Dạng tiêm Foscarnet sodium 24 mg/ml
Dạng tiêm Lorazepam 4 mg/ml
Không 73
Tương thích
Dạng tiêm Foscarnet sodium 24 mg/ml
Dạng tiêm Meropenem 50 mg/ml
Nước cất pha tiêm 4319
Tương thích
Dạng tiêm Foscarnet sodium 24 mg/ml
Dạng tiêm Metoclopramide hydrochloride 2 mg/ml
NaCl 0,9% 1135
Tương thích
Dạng tiêm Foscarnet sodium 24 mg/ml
Dạng tiêm Metoclopramide hydrochloride 4 mg/ml
Không 73
Tương thích
Dạng tiêm Foscarnet sodium 24 mg/ml
Dạng tiêm Metoclopramide hydrochloride 2 mg/ml
Glucose 5% 1135
Tương thích
Dạng tiêm Foscarnet sodium 24 mg/ml
Dạng tiêm Metronidazole 5 mg/ml
NaCl 0,9% 1135
Tương thích
Dạng tiêm Foscarnet sodium 24 mg/ml
Dạng tiêm Metronidazole 5 mg/ml
Không 73
Sản xuất bong bóng khí Không tương thích
Dạng tiêm Foscarnet sodium 24 mg/ml
Dạng tiêm Midazolam hydrochloride 5 mg/ml
Không 73
Tương thích
Dạng tiêm Foscarnet sodium 24 mg/ml
Dạng tiêm Morphine sulfate 1 mg/ml
NaCl 0,9% 1135
Tương thích
Dạng tiêm Foscarnet sodium 24 mg/ml
Dạng tiêm Morphine sulfate 15 mg/ml
Không 64
Tương thích
Dạng tiêm Foscarnet sodium 24 mg/ml
Dạng tiêm Morphine sulfate 5 mg/ml
NaCl 0,9% 64
Tương thích
Dạng tiêm Foscarnet sodium 24 mg/ml
Dạng tiêm Morphine sulfate 1 mg/ml
Glucose 5% 1135
Tương thích
Dạng tiêm Foscarnet sodium 24 mg/ml
Dạng tiêm Morphine sulfate 1 mg/ml
Không 73
Tương thích
Dạng tiêm Foscarnet sodium 24 mg/ml
Dạng tiêm Nafcillin sodium 20 mg/ml
Glucose 5% 1135
Tương thích
Dạng tiêm Foscarnet sodium 24 mg/ml
Dạng tiêm Nafcillin sodium 20 mg/ml
NaCl 0,9% 1135
Tương thích
Dạng tiêm Foscarnet sodium 24 mg/ml
Dạng tiêm Oxacillin sodium 40 mg/ml
Không 73
Tương thích
Dạng tiêm Foscarnet sodium 24 mg/ml
Dạng tiêm Oxacillin sodium 20 mg/ml
Glucose 5% 1135
Không tương thích không xác định Không tương thích
Dạng tiêm Foscarnet sodium
Glucose 30% 3662
Tương thích
Dạng tiêm Foscarnet sodium 24 mg/ml
Dạng tiêm Oxacillin sodium 20 mg/ml
NaCl 0,9% 1135
Tương thích
Dạng tiêm Foscarnet sodium 24 mg/ml
Dạng tiêm Penicillin G potassium 0.1 MUI/ml
Không 73
Lượng mưa ngay lập tức Không tương thích
Dạng tiêm Foscarnet sodium 24 mg/ml
Dạng tiêm Pentamidine isetionate 6 mg/ml
Không 73
Lượng mưa ngay lập tức Không tương thích
Dạng tiêm Foscarnet sodium 24 mg/ml
Dạng tiêm Pentamidine isetionate 6 mg/ml
Glucose 5% 1135
Không tương thích không xác định Không tương thích
Dạng tiêm Foscarnet sodium
Dạng tiêm Pentamidine isetionate
3662
Lượng mưa ngay lập tức Không tương thích
Dạng tiêm Foscarnet sodium 24 mg/ml
Dạng tiêm Pentamidine isetionate 6 mg/ml
NaCl 0,9% 1135
Lượng mưa ngay lập tức Không tương thích
Dạng tiêm Foscarnet sodium 24 mg/ml
Dạng tiêm Phenytoin sodium 50 mg/ml
Không 73
Tương thích
Dạng tiêm Foscarnet sodium 24 mg/ml
Dạng tiêm Piperacillin sodium 80 mg/ml
Không 73
Độ đục ngay lập tức Không tương thích
Dạng tiêm Foscarnet sodium 24 mg/ml
Dạng tiêm Prochlorperazine edysilate 5 mg/ml
Không 73
Sản xuất bong bóng khí Không tương thích
Dạng tiêm Foscarnet sodium 24 mg/ml
Dạng tiêm Promethazine hydrochloride 50 mg/ml
Không 73
Tương thích
Dạng tiêm Foscarnet sodium 24 mg/ml
Dạng tiêm Ranitidine hydrochloride 2 mg/ml
NaCl 0,9% 1135
Tương thích
Dạng tiêm Foscarnet sodium 24 mg/ml
Dạng tiêm Ranitidine hydrochloride 2 mg/ml
Glucose 5% 1135
Tương thích
Dạng tiêm Foscarnet sodium 24 mg/ml
Dạng tiêm Ticarcillin / clavulanic acid 100 mg/ml
NaCl 0,9% 1135
Tương thích
Dạng tiêm Foscarnet sodium 24 mg/ml
Dạng tiêm Ticarcillin / clavulanic acid 100 mg/ml
Glucose 5% 1135
Tương thích
Dạng tiêm Foscarnet sodium 24 mg/ml
Dạng tiêm Tobramycin sulfate 40 mg/ml
Không 73
Tương thích
Dạng tiêm Foscarnet sodium 24 mg/ml
Dạng tiêm Vancomycin hydrochloride 10 mg/ml
NaCl 0,9% 132
Không tương thích không xác định Không tương thích
Dạng tiêm Foscarnet sodium
Dạng tiêm Vancomycin hydrochloride
3662
Tương thích
Dạng tiêm Foscarnet sodium 24 mg/ml
Dạng tiêm Vancomycin hydrochloride 15 mg/ml
NaCl 0,9% 1135
Tương thích
Dạng tiêm Foscarnet sodium 24 mg/ml
Dạng tiêm Vancomycin hydrochloride 15 mg/ml
Glucose 5% 1135
Lượng mưa ngay lập tức Không tương thích
Dạng tiêm Foscarnet sodium 24 mg/ml
Dạng tiêm Vancomycin hydrochloride 20 mg/ml
Không 73

  Mentions Légales