zadnja posodobitev :
27/04/2026
Protivirusno zdravilo   Foscarnet sodium  
Brizgalka
Stabilnost raztopine Stabilnost mešanice Faktorji, ki vplivajo na stabilnost Kompatibilnost način aplikacije Viri pdf
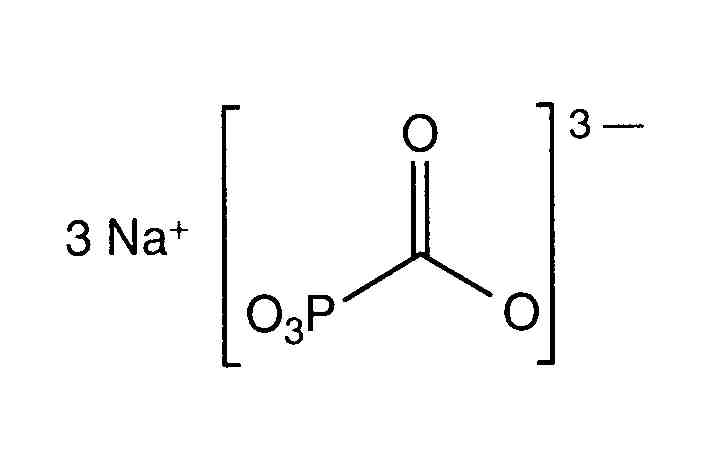
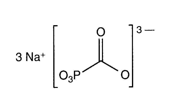
   Kemična formula  

Lastniško ime   Lastniško ime     

Sestava pomožnih snovi je med paralelami lahko različna

Foscarnet Argentina, Čile, Ekvador, Kolumbija, Mehika, Peru, Portugalska, Španija, Združene države Amerike
Foscavir Avstralija, Avstrija, Belgija, Francija, Grčija, Italija, Luksemburg, Madžarska, Nemčija, Nizozemska, nova Zelandija, Španija, Švedska, Švica, Velika Britanija, Združene države Amerike
Kompatibilnost   Brizgalka   Kompatibilnost : Foscarnet sodium              
Ta zaslon prikazuje združljivost ali nezdružljivost s, v tem primeru, vrsto nezdružljivosti (padavine, sprememba barve, sprememba emulzije itd.). Tu prikazane združljivosti so večinoma samo fizične, pri čemer se kemijska stabilnost vsake molekule redko ocenjuje. Vrednotenje teh zmesi so preučevali, da bi preučili možnost pacientovega dajanja na mestu Y. Teh podatkov ni mogoče uporabiti za pripravo mešanic v vrečkah ali brizgah. Ta vrsta informacij je na voljo na zaslonu "Obstojnost v mešanici".
Sestava Topilo Viri
Nedoločena nezdružljivost Nezdružljivo
Brizgalka Foscarnet sodium
Brizgalka Aciclovir sodium
3595
Takoj padavine Nezdružljivo
Brizgalka Foscarnet sodium 24 mg/ml
Brizgalka Aciclovir sodium 7 mg/ml
Glukoza 5% 1135
Takoj padavine Nezdružljivo
Brizgalka Foscarnet sodium 24 mg/ml
Brizgalka Aciclovir sodium 7 mg/ml
Natrijev klorid 0,9% 1135
Nedoločena nezdružljivost Nezdružljivo
Brizgalka Foscarnet sodium
Brizgalka Aciclovir sodium
3662
Takoj padavine Nezdružljivo
Brizgalka Foscarnet sodium 24 mg/ml
Brizgalka Aciclovir sodium 10 mg/ml
Nobeden 73
Združljivo
Brizgalka Foscarnet sodium 24 mg/ml
Brizgalka Aldesleukin 0.0338 MUI/ml
Glukoza 5% 36
Združljivo
Brizgalka Foscarnet sodium 24 mg/ml
Brizgalka Amikacin sulfate 20 mg/ml
Nobeden 73
Združljivo
Brizgalka Foscarnet sodium 24 mg/ml
Brizgalka Aminophylline 25 mg/ml
Nobeden 73
Takojšnja motnost Nezdružljivo
Brizgalka Foscarnet sodium 24 mg/ml
Brizgalka Amphotericin B 0.6 mg/ml
Glukoza 5% 1135
Nedoločena nezdružljivost Nezdružljivo
Brizgalka Foscarnet sodium
Brizgalka Amphotericin B
3662
Takoj padavine Nezdružljivo
Brizgalka Foscarnet sodium 24 mg/ml
Brizgalka Amphotericin B 5 mg/ml
Nobeden 73
Združljivo
Brizgalka Foscarnet sodium 24 mg/ml
Brizgalka Ampicillin sodium 20 mg/ml
Nobeden 73
Združljivo
Brizgalka Foscarnet sodium 24 mg/ml
Brizgalka Aztreonam 40 mg/ml
Natrijev klorid 0,9% 1135
Združljivo
Brizgalka Foscarnet sodium 24 mg/ml
Brizgalka Aztreonam 40 mg/ml
Glukoza 5% 1135
Združljivo
Brizgalka Foscarnet sodium 24 mg/ml
Brizgalka Aztreonam 40 mg/ml
Nobeden 73
Nedoločena nezdružljivost Nezdružljivo
Brizgalka Foscarnet sodium
Brizgalka Calcium chloride
3662
Nedoločena nezdružljivost Nezdružljivo
Brizgalka Foscarnet sodium
Brizgalka Calcium glucoheptonate
3662
Nedoločena nezdružljivost Nezdružljivo
Brizgalka Foscarnet sodium
Brizgalka Calcium gluconate
3662
Združljivo
Brizgalka Foscarnet sodium 24 mg/ml
Brizgalka Cefazolin sodium 40 mg/ml
Nobeden 73
Združljivo
Brizgalka Foscarnet sodium 24 mg/ml
Brizgalka Cefoperazone sodium 40 mg/ml
Nobeden 73
Združljivo
Brizgalka Foscarnet sodium 24 mg/ml
Brizgalka Cefoxitin sodium 40 mg/ml
Nobeden 73
Združljivo
Brizgalka Foscarnet sodium 24 mg/ml
Brizgalka Ceftazidime 20 mg/ml
Glukoza 5% 1135
Združljivo
Brizgalka Foscarnet sodium 24 mg/ml
Brizgalka Ceftazidime 20 mg/ml
Nobeden 73
Združljivo
Brizgalka Foscarnet sodium 24 mg/ml
Brizgalka Ceftazidime 20 mg/ml
Natrijev klorid 0,9% 1135
Združljivo
Brizgalka Foscarnet sodium
Brizgalka Ceftazidime
3883
Združljivo
Brizgalka Foscarnet sodium 24 mg/ml
Brizgalka Ceftizoxime sodium 40 mg/ml
Nobeden 73
Združljivo
Brizgalka Foscarnet sodium 24 mg/ml
Brizgalka Ceftriaxone disodium 20 mg/ml
Glukoza 5% 1135
Združljivo
Brizgalka Foscarnet sodium 24 mg/ml
Brizgalka Ceftriaxone disodium 20 mg/ml
Natrijev klorid 0,9% 1135
Združljivo
Brizgalka Foscarnet sodium 24 mg/ml
Brizgalka Cefuroxime sodium 30 mg/ml
Nobeden 73
Združljivo
Brizgalka Foscarnet sodium 24 mg/ml
Brizgalka Chloramphenicol sodium succinate 20 mg/ml
Nobeden 73
Združljivo
Brizgalka Foscarnet sodium 24 mg/ml
Brizgalka Cimetidine hydrochloride 150 mg/ml
Nobeden 73
Združljivo
Brizgalka Foscarnet sodium 24 mg/ml
Brizgalka Clindamycin phosphate 24 mg/ml
Nobeden 73
Združljivo
Brizgalka Foscarnet sodium 24 mg/ml
Brizgalka Clindamycin phosphate 12 mg/ml
Glukoza 5% 1135
Združljivo
Brizgalka Foscarnet sodium 24 mg/ml
Brizgalka Clindamycin phosphate 12 mg/ml
Natrijev klorid 0,9% 1135
Nedoločena nezdružljivost Nezdružljivo
Brizgalka Foscarnet sodium
Brizgalka Co-trimoxazole
3662
Združljivo
Brizgalka Foscarnet sodium 24 mg/ml
Brizgalka Co-trimoxazole 2,6/0,53 mg/ml
Glukoza 5% 1135
Takoj padavine Nezdružljivo
Brizgalka Foscarnet sodium 24 mg/ml
Brizgalka Co-trimoxazole
Nobeden 73
Združljivo
Brizgalka Foscarnet sodium 24 mg/ml
Brizgalka Defibrotide 8 mg/ml
Natrijev klorid 0,9% 3728
Združljivo
Brizgalka Foscarnet sodium 24 mg/ml
Brizgalka Dexamethasone sodium phosphate 10 mg/ml
Nobeden 73
Proizvodnja plinskih mehurčkov Nezdružljivo
Brizgalka Foscarnet sodium 24 mg/ml
Brizgalka Diazepam 5 mg/ml
Nobeden 73
Proizvodnja plinskih mehurčkov Nezdružljivo
Brizgalka Foscarnet sodium 24 mg/ml
Brizgalka Digoxin 250 µg/ml
Nobeden 73
Takojšnja motnost Nezdružljivo
Brizgalka Foscarnet sodium 24 mg/ml
Brizgalka Diphenhydramine hydrochloride 50 mg/ml
Nobeden 73
Takoj padavine Nezdružljivo
Brizgalka Foscarnet sodium 24 mg/ml
Brizgalka Dobutamine hydrochloride 12.5 mg/ml
Nobeden 73
Združljivo
Brizgalka Foscarnet sodium 24 mg/ml
Brizgalka Dopamine hydrochloride 80 mg/ml
Nobeden 73
Združljivo
Brizgalka Foscarnet sodium 24 mg/ml
Brizgalka Doripenem 5 mg/ml
Glukoza 5% 2262
Združljivo
Brizgalka Foscarnet sodium 24 mg/ml
Brizgalka Doripenem 5 mg/ml
Natrijev klorid 0,9% 2262
Takoj padavine Nezdružljivo
Brizgalka Foscarnet sodium 24 mg/ml
Brizgalka Droperidol 2.5 mg/ml
Nobeden 73
Združljivo
Brizgalka Foscarnet sodium 24 mg/ml
Brizgalka Erythromycin lactobionate 20 mg/ml
Natrijev klorid 0,9% 1135
Združljivo
Brizgalka Foscarnet sodium 24 mg/ml
Brizgalka Erythromycin lactobionate 20 mg/ml
Nobeden 73
Združljivo
Brizgalka Foscarnet sodium 24 mg/ml
Brizgalka Fluconazole 2 mg/ml
Natrijev klorid 0,9% 496
Takojšnja motnost Nezdružljivo
Brizgalka Foscarnet sodium 24 mg/ml
Brizgalka Folinate calcium 10 mg/ml
Nobeden 73
Združljivo
Brizgalka Foscarnet sodium 24 mg/ml
Brizgalka Furosemide 10 mg/ml
Nobeden 73
Takoj padavine Nezdružljivo
Brizgalka Foscarnet sodium 24 mg/ml
Brizgalka Ganciclovir sodium 50 mg/ml
Nobeden 73
Nedoločena nezdružljivost Nezdružljivo
Brizgalka Foscarnet sodium
Brizgalka Ganciclovir sodium
3662
Združljivo
Brizgalka Foscarnet sodium 24 mg/ml
Brizgalka Gentamicin sulfate 4 mg/ml
Nobeden 73
Združljivo
Brizgalka Foscarnet sodium 24 mg/ml
Brizgalka Gentamicin sulfate 2 mg/ml
Natrijev klorid 0,9% 1135
Združljivo
Brizgalka Foscarnet sodium 24 mg/ml
Brizgalka Gentamicin sulfate 2 mg/ml
Glukoza 5% 1135
Takoj padavine Nezdružljivo
Brizgalka Foscarnet sodium 24 mg/ml
Brizgalka Haloperidol lactate 5 mg/ml
Nobeden 73
Združljivo
Brizgalka Foscarnet sodium 24 mg/ml
Brizgalka Heparin sodium 100 UI/ml
Natrijev klorid 0,9% 1135
Združljivo
Brizgalka Foscarnet sodium 24 mg/ml
Brizgalka Heparin sodium 1000 UI/ml
Nobeden 73
Združljivo
Brizgalka Foscarnet sodium 24 mg/ml
Brizgalka Heparin sodium 100 UI/ml
Glukoza 5% 1135
Združljivo
Brizgalka Foscarnet sodium 24 mg/ml
Brizgalka Hydrocortisone sodium succinate 50 mg/ml
Nobeden 73
Združljivo
Brizgalka Foscarnet sodium 24 mg/ml
Brizgalka Hydromorphone hydrochloride 10 mg/ml
Nobeden 73
Združljivo
Brizgalka Foscarnet sodium 24 mg/ml
Brizgalka Hydroxyzine dihydrochloride 50 mg/ml
Nobeden 73
Združljivo
Brizgalka Foscarnet sodium 24 mg/ml
Brizgalka Imipenem - cilastatin sodium 5 mg/ml
Glukoza 5% 1135
Združljivo
Brizgalka Foscarnet sodium 24 mg/ml
Brizgalka Imipenem - cilastatin sodium 10 mg/ml
Nobeden 73
Nedoločena nezdružljivost Nezdružljivo
Brizgalka Foscarnet sodium
Brizgalka Levofolinate calcium
3662
Združljivo
Brizgalka Foscarnet sodium 24 mg/ml
Brizgalka Lorazepam 0,08 mg/ml
Natrijev klorid 0,9% 1135
Združljivo
Brizgalka Foscarnet sodium 24 mg/ml
Brizgalka Lorazepam 0,08 mg/ml
Glukoza 5% 1135
Proizvodnja plinskih mehurčkov Nezdružljivo
Brizgalka Foscarnet sodium 24 mg/ml
Brizgalka Lorazepam 4 mg/ml
Nobeden 73
Združljivo
Brizgalka Foscarnet sodium 24 mg/ml
Brizgalka Meropenem 50 mg/ml
Voda za injekcije 4319
Združljivo
Brizgalka Foscarnet sodium 24 mg/ml
Brizgalka Metoclopramide hydrochloride 2 mg/ml
Natrijev klorid 0,9% 1135
Združljivo
Brizgalka Foscarnet sodium 24 mg/ml
Brizgalka Metoclopramide hydrochloride 4 mg/ml
Nobeden 73
Združljivo
Brizgalka Foscarnet sodium 24 mg/ml
Brizgalka Metoclopramide hydrochloride 2 mg/ml
Glukoza 5% 1135
Združljivo
Brizgalka Foscarnet sodium 24 mg/ml
Brizgalka Metronidazole 5 mg/ml
Natrijev klorid 0,9% 1135
Združljivo
Brizgalka Foscarnet sodium 24 mg/ml
Brizgalka Metronidazole 5 mg/ml
Nobeden 73
Proizvodnja plinskih mehurčkov Nezdružljivo
Brizgalka Foscarnet sodium 24 mg/ml
Brizgalka Midazolam hydrochloride 5 mg/ml
Nobeden 73
Združljivo
Brizgalka Foscarnet sodium 24 mg/ml
Brizgalka Morphine sulfate 1 mg/ml
Natrijev klorid 0,9% 1135
Združljivo
Brizgalka Foscarnet sodium 24 mg/ml
Brizgalka Morphine sulfate 15 mg/ml
Nobeden 64
Združljivo
Brizgalka Foscarnet sodium 24 mg/ml
Brizgalka Morphine sulfate 5 mg/ml
Natrijev klorid 0,9% 64
Združljivo
Brizgalka Foscarnet sodium 24 mg/ml
Brizgalka Morphine sulfate 1 mg/ml
Glukoza 5% 1135
Združljivo
Brizgalka Foscarnet sodium 24 mg/ml
Brizgalka Morphine sulfate 1 mg/ml
Nobeden 73
Združljivo
Brizgalka Foscarnet sodium 24 mg/ml
Brizgalka Nafcillin sodium 20 mg/ml
Glukoza 5% 1135
Združljivo
Brizgalka Foscarnet sodium 24 mg/ml
Brizgalka Nafcillin sodium 20 mg/ml
Natrijev klorid 0,9% 1135
Združljivo
Brizgalka Foscarnet sodium 24 mg/ml
Brizgalka Oxacillin sodium 40 mg/ml
Nobeden 73
Združljivo
Brizgalka Foscarnet sodium 24 mg/ml
Brizgalka Oxacillin sodium 20 mg/ml
Glukoza 5% 1135
Nedoločena nezdružljivost Nezdružljivo
Brizgalka Foscarnet sodium
Glukoza 30% 3662
Združljivo
Brizgalka Foscarnet sodium 24 mg/ml
Brizgalka Oxacillin sodium 20 mg/ml
Natrijev klorid 0,9% 1135
Združljivo
Brizgalka Foscarnet sodium 24 mg/ml
Brizgalka Penicillin G potassium 0.1 MUI/ml
Nobeden 73
Takoj padavine Nezdružljivo
Brizgalka Foscarnet sodium 24 mg/ml
Brizgalka Pentamidine isetionate 6 mg/ml
Nobeden 73
Takoj padavine Nezdružljivo
Brizgalka Foscarnet sodium 24 mg/ml
Brizgalka Pentamidine isetionate 6 mg/ml
Glukoza 5% 1135
Nedoločena nezdružljivost Nezdružljivo
Brizgalka Foscarnet sodium
Brizgalka Pentamidine isetionate
3662
Takoj padavine Nezdružljivo
Brizgalka Foscarnet sodium 24 mg/ml
Brizgalka Pentamidine isetionate 6 mg/ml
Natrijev klorid 0,9% 1135
Takoj padavine Nezdružljivo
Brizgalka Foscarnet sodium 24 mg/ml
Brizgalka Phenytoin sodium 50 mg/ml
Nobeden 73
Združljivo
Brizgalka Foscarnet sodium 24 mg/ml
Brizgalka Piperacillin sodium 80 mg/ml
Nobeden 73
Takojšnja motnost Nezdružljivo
Brizgalka Foscarnet sodium 24 mg/ml
Brizgalka Prochlorperazine edysilate 5 mg/ml
Nobeden 73
Proizvodnja plinskih mehurčkov Nezdružljivo
Brizgalka Foscarnet sodium 24 mg/ml
Brizgalka Promethazine hydrochloride 50 mg/ml
Nobeden 73
Združljivo
Brizgalka Foscarnet sodium 24 mg/ml
Brizgalka Ranitidine hydrochloride 2 mg/ml
Natrijev klorid 0,9% 1135
Združljivo
Brizgalka Foscarnet sodium 24 mg/ml
Brizgalka Ranitidine hydrochloride 2 mg/ml
Glukoza 5% 1135
Združljivo
Brizgalka Foscarnet sodium 24 mg/ml
Brizgalka Ticarcillin / clavulanic acid 100 mg/ml
Natrijev klorid 0,9% 1135
Združljivo
Brizgalka Foscarnet sodium 24 mg/ml
Brizgalka Ticarcillin / clavulanic acid 100 mg/ml
Glukoza 5% 1135
Združljivo
Brizgalka Foscarnet sodium 24 mg/ml
Brizgalka Tobramycin sulfate 40 mg/ml
Nobeden 73
Združljivo
Brizgalka Foscarnet sodium 24 mg/ml
Brizgalka Vancomycin hydrochloride 10 mg/ml
Natrijev klorid 0,9% 132
Nedoločena nezdružljivost Nezdružljivo
Brizgalka Foscarnet sodium
Brizgalka Vancomycin hydrochloride
3662
Združljivo
Brizgalka Foscarnet sodium 24 mg/ml
Brizgalka Vancomycin hydrochloride 15 mg/ml
Natrijev klorid 0,9% 1135
Združljivo
Brizgalka Foscarnet sodium 24 mg/ml
Brizgalka Vancomycin hydrochloride 15 mg/ml
Glukoza 5% 1135
Takoj padavine Nezdružljivo
Brizgalka Foscarnet sodium 24 mg/ml
Brizgalka Vancomycin hydrochloride 20 mg/ml
Nobeden 73

  Mentions Légales