最新更新 :
27/04/2026
抗病毒药   Foscarnet sodium  
注射液
溶液稳定性 混合物稳定性 影响稳定性的因素 兼容性 用药途径 引用文献 PDF
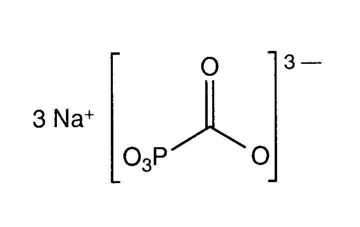
   化学式  

商品名   商品名     

商品名仅供参考, 药品所用的辅料可能依国家或厂商不同有所不同。

Foscarnet 厄瓜多尔, 哥伦比亚, 墨西哥, 智利, 秘鲁, 美国, 葡萄牙, 西班牙, 阿根廷
Foscavir 匈牙利, 卢森堡, 奥地利, 希腊, 德国, 意大利, 新西蘭, 比利时, 法国, 澳大利亚, 瑞典, 瑞士, 美国, 英国, 荷兰, 西班牙
兼容性   注射液   兼容性 : Foscarnet sodium              
This screen indicates the compatibilities or incompatibilities with, in this case, the type of incompatibility (precipitation, color change, modification of an emulsion, etc.). The compatibilities shown here are mostly physical only, with the chemical stability of each molecule rarely being assessed. The evaluation of these mixtures was studied to consider the possibility of Y-site administration to the patient. These data cannot be used for making mixtures in advance in bags or syringes. This type of information is available in the screen "Stability in mixture ».
分子 溶剂 引用文献
未指定的不兼容性 不相容
注射液 Foscarnet sodium
注射液 Aciclovir sodium
3595
立即沉澱 不相容
注射液 Foscarnet sodium 24 mg/ml
注射液 Aciclovir sodium 7 mg/ml
葡萄糖5% 1135
立即沉澱 不相容
注射液 Foscarnet sodium 24 mg/ml
注射液 Aciclovir sodium 7 mg/ml
NaCl 0,9% 1135
未指定的不兼容性 不相容
注射液 Foscarnet sodium
注射液 Aciclovir sodium
3662
立即沉澱 不相容
注射液 Foscarnet sodium 24 mg/ml
注射液 Aciclovir sodium 10 mg/ml
无 73
兼容
注射液 Foscarnet sodium 24 mg/ml
注射液 Aldesleukin 0.0338 MUI/ml
葡萄糖5% 36
兼容
注射液 Foscarnet sodium 24 mg/ml
注射液 Amikacin sulfate 20 mg/ml
无 73
兼容
注射液 Foscarnet sodium 24 mg/ml
注射液 Aminophylline 25 mg/ml
无 73
立即渾濁 不相容
注射液 Foscarnet sodium 24 mg/ml
注射液 Amphotericin B 0.6 mg/ml
葡萄糖5% 1135
未指定的不兼容性 不相容
注射液 Foscarnet sodium
注射液 Amphotericin B
3662
立即沉澱 不相容
注射液 Foscarnet sodium 24 mg/ml
注射液 Amphotericin B 5 mg/ml
无 73
兼容
注射液 Foscarnet sodium 24 mg/ml
注射液 Ampicillin sodium 20 mg/ml
无 73
兼容
注射液 Foscarnet sodium 24 mg/ml
注射液 Aztreonam 40 mg/ml
NaCl 0,9% 1135
兼容
注射液 Foscarnet sodium 24 mg/ml
注射液 Aztreonam 40 mg/ml
葡萄糖5% 1135
兼容
注射液 Foscarnet sodium 24 mg/ml
注射液 Aztreonam 40 mg/ml
无 73
未指定的不兼容性 不相容
注射液 Foscarnet sodium
注射液 Calcium chloride
3662
未指定的不兼容性 不相容
注射液 Foscarnet sodium
注射液 Calcium glucoheptonate
3662
未指定的不兼容性 不相容
注射液 Foscarnet sodium
注射液 Calcium gluconate
3662
兼容
注射液 Foscarnet sodium 24 mg/ml
注射液 Cefazolin sodium 40 mg/ml
无 73
兼容
注射液 Foscarnet sodium 24 mg/ml
注射液 Cefoperazone sodium 40 mg/ml
无 73
兼容
注射液 Foscarnet sodium 24 mg/ml
注射液 Cefoxitin sodium 40 mg/ml
无 73
兼容
注射液 Foscarnet sodium 24 mg/ml
注射液 Ceftazidime 20 mg/ml
葡萄糖5% 1135
兼容
注射液 Foscarnet sodium 24 mg/ml
注射液 Ceftazidime 20 mg/ml
无 73
兼容
注射液 Foscarnet sodium 24 mg/ml
注射液 Ceftazidime 20 mg/ml
NaCl 0,9% 1135
兼容
注射液 Foscarnet sodium
注射液 Ceftazidime
3883
兼容
注射液 Foscarnet sodium 24 mg/ml
注射液 Ceftizoxime sodium 40 mg/ml
无 73
兼容
注射液 Foscarnet sodium 24 mg/ml
注射液 Ceftriaxone disodium 20 mg/ml
葡萄糖5% 1135
兼容
注射液 Foscarnet sodium 24 mg/ml
注射液 Ceftriaxone disodium 20 mg/ml
NaCl 0,9% 1135
兼容
注射液 Foscarnet sodium 24 mg/ml
注射液 Cefuroxime sodium 30 mg/ml
无 73
兼容
注射液 Foscarnet sodium 24 mg/ml
注射液 Chloramphenicol sodium succinate 20 mg/ml
无 73
兼容
注射液 Foscarnet sodium 24 mg/ml
注射液 Cimetidine hydrochloride 150 mg/ml
无 73
兼容
注射液 Foscarnet sodium 24 mg/ml
注射液 Clindamycin phosphate 24 mg/ml
无 73
兼容
注射液 Foscarnet sodium 24 mg/ml
注射液 Clindamycin phosphate 12 mg/ml
葡萄糖5% 1135
兼容
注射液 Foscarnet sodium 24 mg/ml
注射液 Clindamycin phosphate 12 mg/ml
NaCl 0,9% 1135
未指定的不兼容性 不相容
注射液 Foscarnet sodium
注射液 Co-trimoxazole
3662
兼容
注射液 Foscarnet sodium 24 mg/ml
注射液 Co-trimoxazole 2,6/0,53 mg/ml
葡萄糖5% 1135
立即沉澱 不相容
注射液 Foscarnet sodium 24 mg/ml
注射液 Co-trimoxazole
无 73
兼容
注射液 Foscarnet sodium 24 mg/ml
注射液 Defibrotide 8 mg/ml
NaCl 0,9% 3728
兼容
注射液 Foscarnet sodium 24 mg/ml
注射液 Dexamethasone sodium phosphate 10 mg/ml
无 73
產生氣泡 不相容
注射液 Foscarnet sodium 24 mg/ml
注射液 Diazepam 5 mg/ml
无 73
產生氣泡 不相容
注射液 Foscarnet sodium 24 mg/ml
注射液 Digoxin 250 µg/ml
无 73
立即渾濁 不相容
注射液 Foscarnet sodium 24 mg/ml
注射液 Diphenhydramine hydrochloride 50 mg/ml
无 73
立即沉澱 不相容
注射液 Foscarnet sodium 24 mg/ml
注射液 Dobutamine hydrochloride 12.5 mg/ml
无 73
兼容
注射液 Foscarnet sodium 24 mg/ml
注射液 Dopamine hydrochloride 80 mg/ml
无 73
兼容
注射液 Foscarnet sodium 24 mg/ml
注射液 Doripenem 5 mg/ml
葡萄糖5% 2262
兼容
注射液 Foscarnet sodium 24 mg/ml
注射液 Doripenem 5 mg/ml
NaCl 0,9% 2262
立即沉澱 不相容
注射液 Foscarnet sodium 24 mg/ml
注射液 Droperidol 2.5 mg/ml
无 73
兼容
注射液 Foscarnet sodium 24 mg/ml
注射液 Erythromycin lactobionate 20 mg/ml
NaCl 0,9% 1135
兼容
注射液 Foscarnet sodium 24 mg/ml
注射液 Erythromycin lactobionate 20 mg/ml
无 73
兼容
注射液 Foscarnet sodium 24 mg/ml
注射液 Fluconazole 2 mg/ml
NaCl 0,9% 496
立即渾濁 不相容
注射液 Foscarnet sodium 24 mg/ml
注射液 Folinate calcium 10 mg/ml
无 73
兼容
注射液 Foscarnet sodium 24 mg/ml
注射液 Furosemide 10 mg/ml
无 73
立即沉澱 不相容
注射液 Foscarnet sodium 24 mg/ml
注射液 Ganciclovir sodium 50 mg/ml
无 73
未指定的不兼容性 不相容
注射液 Foscarnet sodium
注射液 Ganciclovir sodium
3662
兼容
注射液 Foscarnet sodium 24 mg/ml
注射液 Gentamicin sulfate 4 mg/ml
无 73
兼容
注射液 Foscarnet sodium 24 mg/ml
注射液 Gentamicin sulfate 2 mg/ml
NaCl 0,9% 1135
兼容
注射液 Foscarnet sodium 24 mg/ml
注射液 Gentamicin sulfate 2 mg/ml
葡萄糖5% 1135
立即沉澱 不相容
注射液 Foscarnet sodium 24 mg/ml
注射液 Haloperidol lactate 5 mg/ml
无 73
兼容
注射液 Foscarnet sodium 24 mg/ml
注射液 Heparin sodium 100 UI/ml
NaCl 0,9% 1135
兼容
注射液 Foscarnet sodium 24 mg/ml
注射液 Heparin sodium 1000 UI/ml
无 73
兼容
注射液 Foscarnet sodium 24 mg/ml
注射液 Heparin sodium 100 UI/ml
葡萄糖5% 1135
兼容
注射液 Foscarnet sodium 24 mg/ml
注射液 Hydrocortisone sodium succinate 50 mg/ml
无 73
兼容
注射液 Foscarnet sodium 24 mg/ml
注射液 Hydromorphone hydrochloride 10 mg/ml
无 73
兼容
注射液 Foscarnet sodium 24 mg/ml
注射液 Hydroxyzine dihydrochloride 50 mg/ml
无 73
兼容
注射液 Foscarnet sodium 24 mg/ml
注射液 Imipenem - cilastatin sodium 5 mg/ml
葡萄糖5% 1135
兼容
注射液 Foscarnet sodium 24 mg/ml
注射液 Imipenem - cilastatin sodium 10 mg/ml
无 73
未指定的不兼容性 不相容
注射液 Foscarnet sodium
注射液 Levofolinate calcium
3662
兼容
注射液 Foscarnet sodium 24 mg/ml
注射液 Lorazepam 0,08 mg/ml
NaCl 0,9% 1135
兼容
注射液 Foscarnet sodium 24 mg/ml
注射液 Lorazepam 0,08 mg/ml
葡萄糖5% 1135
產生氣泡 不相容
注射液 Foscarnet sodium 24 mg/ml
注射液 Lorazepam 4 mg/ml
无 73
兼容
注射液 Foscarnet sodium 24 mg/ml
注射液 Meropenem 50 mg/ml
注射用水 4319
兼容
注射液 Foscarnet sodium 24 mg/ml
注射液 Metoclopramide hydrochloride 2 mg/ml
NaCl 0,9% 1135
兼容
注射液 Foscarnet sodium 24 mg/ml
注射液 Metoclopramide hydrochloride 4 mg/ml
无 73
兼容
注射液 Foscarnet sodium 24 mg/ml
注射液 Metoclopramide hydrochloride 2 mg/ml
葡萄糖5% 1135
兼容
注射液 Foscarnet sodium 24 mg/ml
注射液 Metronidazole 5 mg/ml
NaCl 0,9% 1135
兼容
注射液 Foscarnet sodium 24 mg/ml
注射液 Metronidazole 5 mg/ml
无 73
產生氣泡 不相容
注射液 Foscarnet sodium 24 mg/ml
注射液 Midazolam hydrochloride 5 mg/ml
无 73
兼容
注射液 Foscarnet sodium 24 mg/ml
注射液 Morphine sulfate 1 mg/ml
NaCl 0,9% 1135
兼容
注射液 Foscarnet sodium 24 mg/ml
注射液 Morphine sulfate 15 mg/ml
无 64
兼容
注射液 Foscarnet sodium 24 mg/ml
注射液 Morphine sulfate 5 mg/ml
NaCl 0,9% 64
兼容
注射液 Foscarnet sodium 24 mg/ml
注射液 Morphine sulfate 1 mg/ml
葡萄糖5% 1135
兼容
注射液 Foscarnet sodium 24 mg/ml
注射液 Morphine sulfate 1 mg/ml
无 73
兼容
注射液 Foscarnet sodium 24 mg/ml
注射液 Nafcillin sodium 20 mg/ml
葡萄糖5% 1135
兼容
注射液 Foscarnet sodium 24 mg/ml
注射液 Nafcillin sodium 20 mg/ml
NaCl 0,9% 1135
兼容
注射液 Foscarnet sodium 24 mg/ml
注射液 Oxacillin sodium 40 mg/ml
无 73
兼容
注射液 Foscarnet sodium 24 mg/ml
注射液 Oxacillin sodium 20 mg/ml
葡萄糖5% 1135
未指定的不兼容性 不相容
注射液 Foscarnet sodium
葡萄糖30% 3662
兼容
注射液 Foscarnet sodium 24 mg/ml
注射液 Oxacillin sodium 20 mg/ml
NaCl 0,9% 1135
兼容
注射液 Foscarnet sodium 24 mg/ml
注射液 Penicillin G potassium 0.1 MUI/ml
无 73
立即沉澱 不相容
注射液 Foscarnet sodium 24 mg/ml
注射液 Pentamidine isetionate 6 mg/ml
无 73
立即沉澱 不相容
注射液 Foscarnet sodium 24 mg/ml
注射液 Pentamidine isetionate 6 mg/ml
葡萄糖5% 1135
未指定的不兼容性 不相容
注射液 Foscarnet sodium
注射液 Pentamidine isetionate
3662
立即沉澱 不相容
注射液 Foscarnet sodium 24 mg/ml
注射液 Pentamidine isetionate 6 mg/ml
NaCl 0,9% 1135
立即沉澱 不相容
注射液 Foscarnet sodium 24 mg/ml
注射液 Phenytoin sodium 50 mg/ml
无 73
兼容
注射液 Foscarnet sodium 24 mg/ml
注射液 Piperacillin sodium 80 mg/ml
无 73
立即渾濁 不相容
注射液 Foscarnet sodium 24 mg/ml
注射液 Prochlorperazine edysilate 5 mg/ml
无 73
產生氣泡 不相容
注射液 Foscarnet sodium 24 mg/ml
注射液 Promethazine hydrochloride 50 mg/ml
无 73
兼容
注射液 Foscarnet sodium 24 mg/ml
注射液 Ranitidine hydrochloride 2 mg/ml
NaCl 0,9% 1135
兼容
注射液 Foscarnet sodium 24 mg/ml
注射液 Ranitidine hydrochloride 2 mg/ml
葡萄糖5% 1135
兼容
注射液 Foscarnet sodium 24 mg/ml
注射液 Ticarcillin / clavulanic acid 100 mg/ml
NaCl 0,9% 1135
兼容
注射液 Foscarnet sodium 24 mg/ml
注射液 Ticarcillin / clavulanic acid 100 mg/ml
葡萄糖5% 1135
兼容
注射液 Foscarnet sodium 24 mg/ml
注射液 Tobramycin sulfate 40 mg/ml
无 73
兼容
注射液 Foscarnet sodium 24 mg/ml
注射液 Vancomycin hydrochloride 10 mg/ml
NaCl 0,9% 132
未指定的不兼容性 不相容
注射液 Foscarnet sodium
注射液 Vancomycin hydrochloride
3662
兼容
注射液 Foscarnet sodium 24 mg/ml
注射液 Vancomycin hydrochloride 15 mg/ml
NaCl 0,9% 1135
兼容
注射液 Foscarnet sodium 24 mg/ml
注射液 Vancomycin hydrochloride 15 mg/ml
葡萄糖5% 1135
立即沉澱 不相容
注射液 Foscarnet sodium 24 mg/ml
注射液 Vancomycin hydrochloride 20 mg/ml
无 73

  Mentions Légales