Senaste uppdateringen :
27/04/2026
Antiviralt medel   Foscarnet sodium  
injektion
Lösningars stabilitet Stabilitet i blandningar Faktorer som påverkar stabiliteten Kompatibilitet Administreringssätt Hänvisningar pdf
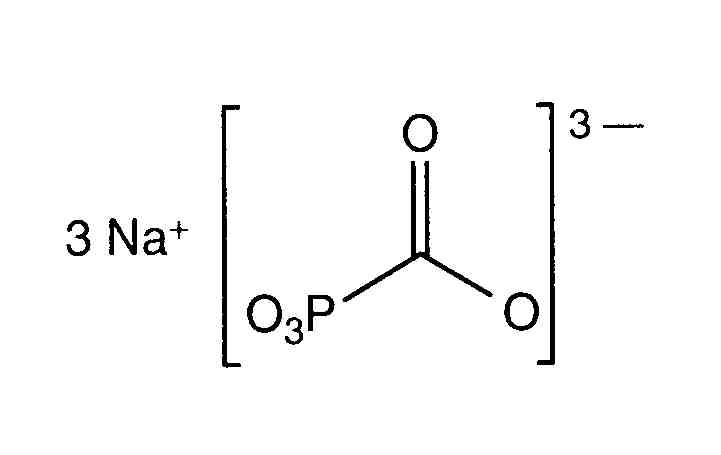
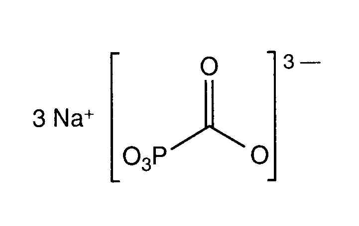
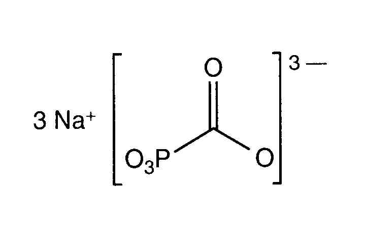
   Molekylstruktur  

Varunamn   Varunamn     

Angivna handelsnamn på läkemedel är enbart vägledande då formulering inklusive hjälpämnen kan variera mellan länder och tillverkare

Foscarnet Argentina, Chile, Colombia, Ecuador, Förenta Staterna, Mexiko, Peru, Portugal, Spanien
Foscavir Australien, Belgien, Förenta Staterna, Frankrike, Grekland, Italien, Luxemburg, Nederländerna, nya Zeeland, Österrike, Schweiz, Spanien, Storbritannien, Sverige, Tyskland, Ungern
Kompatibilitet   injektion   Kompatibilitet : Foscarnet sodium              
Den här skärmen visar kompatibiliteten eller inkompatibiliteten med, i detta fall, typen av inkompatibilitet (utfällning, färgförändring, modifiering av en emulsion, etc.). De kompatibiliteter som visas här är oftast endast fysiska, varvid den kemiska stabiliteten för varje molekyl sällan utvärderas. Utvärderingen av dessa blandningar studerades för att överväga möjligheten för Y-platsadministrering till patienten. Dessa data kan inte användas för att göra blandningar i förväg i påsar eller sprutor. Denna typ av information finns på skärmen "Stabilitet i blandning".
Substans Lösningsmedel Hänvisningar
Ospecificerad inkompatibilitet Oförenlig
injektion Foscarnet sodium
injektion Aciclovir sodium
3595
Omedelbar nederbörd Oförenlig
injektion Foscarnet sodium 24 mg/ml
injektion Aciclovir sodium 7 mg/ml
Glukos 5 % 1135
Omedelbar nederbörd Oförenlig
injektion Foscarnet sodium 24 mg/ml
injektion Aciclovir sodium 7 mg/ml
Natriumklorid 0,9 % 1135
Ospecificerad inkompatibilitet Oförenlig
injektion Foscarnet sodium
injektion Aciclovir sodium
3662
Omedelbar nederbörd Oförenlig
injektion Foscarnet sodium 24 mg/ml
injektion Aciclovir sodium 10 mg/ml
Ingen 73
Kompatibel
injektion Foscarnet sodium 24 mg/ml
injektion Aldesleukin 0.0338 MUI/ml
Glukos 5 % 36
Kompatibel
injektion Foscarnet sodium 24 mg/ml
injektion Amikacin sulfate 20 mg/ml
Ingen 73
Kompatibel
injektion Foscarnet sodium 24 mg/ml
injektion Aminophylline 25 mg/ml
Ingen 73
Omedelbar grumlighet Oförenlig
injektion Foscarnet sodium 24 mg/ml
injektion Amphotericin B 0.6 mg/ml
Glukos 5 % 1135
Ospecificerad inkompatibilitet Oförenlig
injektion Foscarnet sodium
injektion Amphotericin B
3662
Omedelbar nederbörd Oförenlig
injektion Foscarnet sodium 24 mg/ml
injektion Amphotericin B 5 mg/ml
Ingen 73
Kompatibel
injektion Foscarnet sodium 24 mg/ml
injektion Ampicillin sodium 20 mg/ml
Ingen 73
Kompatibel
injektion Foscarnet sodium 24 mg/ml
injektion Aztreonam 40 mg/ml
Natriumklorid 0,9 % 1135
Kompatibel
injektion Foscarnet sodium 24 mg/ml
injektion Aztreonam 40 mg/ml
Glukos 5 % 1135
Kompatibel
injektion Foscarnet sodium 24 mg/ml
injektion Aztreonam 40 mg/ml
Ingen 73
Ospecificerad inkompatibilitet Oförenlig
injektion Foscarnet sodium
injektion Calcium chloride
3662
Ospecificerad inkompatibilitet Oförenlig
injektion Foscarnet sodium
injektion Calcium glucoheptonate
3662
Ospecificerad inkompatibilitet Oförenlig
injektion Foscarnet sodium
injektion Calcium gluconate
3662
Kompatibel
injektion Foscarnet sodium 24 mg/ml
injektion Cefazolin sodium 40 mg/ml
Ingen 73
Kompatibel
injektion Foscarnet sodium 24 mg/ml
injektion Cefoperazone sodium 40 mg/ml
Ingen 73
Kompatibel
injektion Foscarnet sodium 24 mg/ml
injektion Cefoxitin sodium 40 mg/ml
Ingen 73
Kompatibel
injektion Foscarnet sodium 24 mg/ml
injektion Ceftazidime 20 mg/ml
Glukos 5 % 1135
Kompatibel
injektion Foscarnet sodium 24 mg/ml
injektion Ceftazidime 20 mg/ml
Ingen 73
Kompatibel
injektion Foscarnet sodium 24 mg/ml
injektion Ceftazidime 20 mg/ml
Natriumklorid 0,9 % 1135
Kompatibel
injektion Foscarnet sodium
injektion Ceftazidime
3883
Kompatibel
injektion Foscarnet sodium 24 mg/ml
injektion Ceftizoxime sodium 40 mg/ml
Ingen 73
Kompatibel
injektion Foscarnet sodium 24 mg/ml
injektion Ceftriaxone disodium 20 mg/ml
Glukos 5 % 1135
Kompatibel
injektion Foscarnet sodium 24 mg/ml
injektion Ceftriaxone disodium 20 mg/ml
Natriumklorid 0,9 % 1135
Kompatibel
injektion Foscarnet sodium 24 mg/ml
injektion Cefuroxime sodium 30 mg/ml
Ingen 73
Kompatibel
injektion Foscarnet sodium 24 mg/ml
injektion Chloramphenicol sodium succinate 20 mg/ml
Ingen 73
Kompatibel
injektion Foscarnet sodium 24 mg/ml
injektion Cimetidine hydrochloride 150 mg/ml
Ingen 73
Kompatibel
injektion Foscarnet sodium 24 mg/ml
injektion Clindamycin phosphate 24 mg/ml
Ingen 73
Kompatibel
injektion Foscarnet sodium 24 mg/ml
injektion Clindamycin phosphate 12 mg/ml
Glukos 5 % 1135
Kompatibel
injektion Foscarnet sodium 24 mg/ml
injektion Clindamycin phosphate 12 mg/ml
Natriumklorid 0,9 % 1135
Ospecificerad inkompatibilitet Oförenlig
injektion Foscarnet sodium
injektion Co-trimoxazole
3662
Kompatibel
injektion Foscarnet sodium 24 mg/ml
injektion Co-trimoxazole 2,6/0,53 mg/ml
Glukos 5 % 1135
Omedelbar nederbörd Oförenlig
injektion Foscarnet sodium 24 mg/ml
injektion Co-trimoxazole
Ingen 73
Kompatibel
injektion Foscarnet sodium 24 mg/ml
injektion Defibrotide 8 mg/ml
Natriumklorid 0,9 % 3728
Kompatibel
injektion Foscarnet sodium 24 mg/ml
injektion Dexamethasone sodium phosphate 10 mg/ml
Ingen 73
Produktion av gasbubblor Oförenlig
injektion Foscarnet sodium 24 mg/ml
injektion Diazepam 5 mg/ml
Ingen 73
Produktion av gasbubblor Oförenlig
injektion Foscarnet sodium 24 mg/ml
injektion Digoxin 250 µg/ml
Ingen 73
Omedelbar grumlighet Oförenlig
injektion Foscarnet sodium 24 mg/ml
injektion Diphenhydramine hydrochloride 50 mg/ml
Ingen 73
Omedelbar nederbörd Oförenlig
injektion Foscarnet sodium 24 mg/ml
injektion Dobutamine hydrochloride 12.5 mg/ml
Ingen 73
Kompatibel
injektion Foscarnet sodium 24 mg/ml
injektion Dopamine hydrochloride 80 mg/ml
Ingen 73
Kompatibel
injektion Foscarnet sodium 24 mg/ml
injektion Doripenem 5 mg/ml
Glukos 5 % 2262
Kompatibel
injektion Foscarnet sodium 24 mg/ml
injektion Doripenem 5 mg/ml
Natriumklorid 0,9 % 2262
Omedelbar nederbörd Oförenlig
injektion Foscarnet sodium 24 mg/ml
injektion Droperidol 2.5 mg/ml
Ingen 73
Kompatibel
injektion Foscarnet sodium 24 mg/ml
injektion Erythromycin lactobionate 20 mg/ml
Natriumklorid 0,9 % 1135
Kompatibel
injektion Foscarnet sodium 24 mg/ml
injektion Erythromycin lactobionate 20 mg/ml
Ingen 73
Kompatibel
injektion Foscarnet sodium 24 mg/ml
injektion Fluconazole 2 mg/ml
Natriumklorid 0,9 % 496
Omedelbar grumlighet Oförenlig
injektion Foscarnet sodium 24 mg/ml
injektion Folinate calcium 10 mg/ml
Ingen 73
Kompatibel
injektion Foscarnet sodium 24 mg/ml
injektion Furosemide 10 mg/ml
Ingen 73
Omedelbar nederbörd Oförenlig
injektion Foscarnet sodium 24 mg/ml
injektion Ganciclovir sodium 50 mg/ml
Ingen 73
Ospecificerad inkompatibilitet Oförenlig
injektion Foscarnet sodium
injektion Ganciclovir sodium
3662
Kompatibel
injektion Foscarnet sodium 24 mg/ml
injektion Gentamicin sulfate 4 mg/ml
Ingen 73
Kompatibel
injektion Foscarnet sodium 24 mg/ml
injektion Gentamicin sulfate 2 mg/ml
Natriumklorid 0,9 % 1135
Kompatibel
injektion Foscarnet sodium 24 mg/ml
injektion Gentamicin sulfate 2 mg/ml
Glukos 5 % 1135
Omedelbar nederbörd Oförenlig
injektion Foscarnet sodium 24 mg/ml
injektion Haloperidol lactate 5 mg/ml
Ingen 73
Kompatibel
injektion Foscarnet sodium 24 mg/ml
injektion Heparin sodium 100 UI/ml
Natriumklorid 0,9 % 1135
Kompatibel
injektion Foscarnet sodium 24 mg/ml
injektion Heparin sodium 1000 UI/ml
Ingen 73
Kompatibel
injektion Foscarnet sodium 24 mg/ml
injektion Heparin sodium 100 UI/ml
Glukos 5 % 1135
Kompatibel
injektion Foscarnet sodium 24 mg/ml
injektion Hydrocortisone sodium succinate 50 mg/ml
Ingen 73
Kompatibel
injektion Foscarnet sodium 24 mg/ml
injektion Hydromorphone hydrochloride 10 mg/ml
Ingen 73
Kompatibel
injektion Foscarnet sodium 24 mg/ml
injektion Hydroxyzine dihydrochloride 50 mg/ml
Ingen 73
Kompatibel
injektion Foscarnet sodium 24 mg/ml
injektion Imipenem - cilastatin sodium 5 mg/ml
Glukos 5 % 1135
Kompatibel
injektion Foscarnet sodium 24 mg/ml
injektion Imipenem - cilastatin sodium 10 mg/ml
Ingen 73
Ospecificerad inkompatibilitet Oförenlig
injektion Foscarnet sodium
injektion Levofolinate calcium
3662
Kompatibel
injektion Foscarnet sodium 24 mg/ml
injektion Lorazepam 0,08 mg/ml
Natriumklorid 0,9 % 1135
Kompatibel
injektion Foscarnet sodium 24 mg/ml
injektion Lorazepam 0,08 mg/ml
Glukos 5 % 1135
Produktion av gasbubblor Oförenlig
injektion Foscarnet sodium 24 mg/ml
injektion Lorazepam 4 mg/ml
Ingen 73
Kompatibel
injektion Foscarnet sodium 24 mg/ml
injektion Meropenem 50 mg/ml
Vatten för injektion 4319
Kompatibel
injektion Foscarnet sodium 24 mg/ml
injektion Metoclopramide hydrochloride 2 mg/ml
Natriumklorid 0,9 % 1135
Kompatibel
injektion Foscarnet sodium 24 mg/ml
injektion Metoclopramide hydrochloride 4 mg/ml
Ingen 73
Kompatibel
injektion Foscarnet sodium 24 mg/ml
injektion Metoclopramide hydrochloride 2 mg/ml
Glukos 5 % 1135
Kompatibel
injektion Foscarnet sodium 24 mg/ml
injektion Metronidazole 5 mg/ml
Natriumklorid 0,9 % 1135
Kompatibel
injektion Foscarnet sodium 24 mg/ml
injektion Metronidazole 5 mg/ml
Ingen 73
Produktion av gasbubblor Oförenlig
injektion Foscarnet sodium 24 mg/ml
injektion Midazolam hydrochloride 5 mg/ml
Ingen 73
Kompatibel
injektion Foscarnet sodium 24 mg/ml
injektion Morphine sulfate 1 mg/ml
Natriumklorid 0,9 % 1135
Kompatibel
injektion Foscarnet sodium 24 mg/ml
injektion Morphine sulfate 15 mg/ml
Ingen 64
Kompatibel
injektion Foscarnet sodium 24 mg/ml
injektion Morphine sulfate 5 mg/ml
Natriumklorid 0,9 % 64
Kompatibel
injektion Foscarnet sodium 24 mg/ml
injektion Morphine sulfate 1 mg/ml
Glukos 5 % 1135
Kompatibel
injektion Foscarnet sodium 24 mg/ml
injektion Morphine sulfate 1 mg/ml
Ingen 73
Kompatibel
injektion Foscarnet sodium 24 mg/ml
injektion Nafcillin sodium 20 mg/ml
Glukos 5 % 1135
Kompatibel
injektion Foscarnet sodium 24 mg/ml
injektion Nafcillin sodium 20 mg/ml
Natriumklorid 0,9 % 1135
Kompatibel
injektion Foscarnet sodium 24 mg/ml
injektion Oxacillin sodium 40 mg/ml
Ingen 73
Kompatibel
injektion Foscarnet sodium 24 mg/ml
injektion Oxacillin sodium 20 mg/ml
Glukos 5 % 1135
Ospecificerad inkompatibilitet Oförenlig
injektion Foscarnet sodium
Glukos 30 % 3662
Kompatibel
injektion Foscarnet sodium 24 mg/ml
injektion Oxacillin sodium 20 mg/ml
Natriumklorid 0,9 % 1135
Kompatibel
injektion Foscarnet sodium 24 mg/ml
injektion Penicillin G potassium 0.1 MUI/ml
Ingen 73
Omedelbar nederbörd Oförenlig
injektion Foscarnet sodium 24 mg/ml
injektion Pentamidine isetionate 6 mg/ml
Ingen 73
Omedelbar nederbörd Oförenlig
injektion Foscarnet sodium 24 mg/ml
injektion Pentamidine isetionate 6 mg/ml
Glukos 5 % 1135
Ospecificerad inkompatibilitet Oförenlig
injektion Foscarnet sodium
injektion Pentamidine isetionate
3662
Omedelbar nederbörd Oförenlig
injektion Foscarnet sodium 24 mg/ml
injektion Pentamidine isetionate 6 mg/ml
Natriumklorid 0,9 % 1135
Omedelbar nederbörd Oförenlig
injektion Foscarnet sodium 24 mg/ml
injektion Phenytoin sodium 50 mg/ml
Ingen 73
Kompatibel
injektion Foscarnet sodium 24 mg/ml
injektion Piperacillin sodium 80 mg/ml
Ingen 73
Omedelbar grumlighet Oförenlig
injektion Foscarnet sodium 24 mg/ml
injektion Prochlorperazine edysilate 5 mg/ml
Ingen 73
Produktion av gasbubblor Oförenlig
injektion Foscarnet sodium 24 mg/ml
injektion Promethazine hydrochloride 50 mg/ml
Ingen 73
Kompatibel
injektion Foscarnet sodium 24 mg/ml
injektion Ranitidine hydrochloride 2 mg/ml
Natriumklorid 0,9 % 1135
Kompatibel
injektion Foscarnet sodium 24 mg/ml
injektion Ranitidine hydrochloride 2 mg/ml
Glukos 5 % 1135
Kompatibel
injektion Foscarnet sodium 24 mg/ml
injektion Ticarcillin / clavulanic acid 100 mg/ml
Natriumklorid 0,9 % 1135
Kompatibel
injektion Foscarnet sodium 24 mg/ml
injektion Ticarcillin / clavulanic acid 100 mg/ml
Glukos 5 % 1135
Kompatibel
injektion Foscarnet sodium 24 mg/ml
injektion Tobramycin sulfate 40 mg/ml
Ingen 73
Kompatibel
injektion Foscarnet sodium 24 mg/ml
injektion Vancomycin hydrochloride 10 mg/ml
Natriumklorid 0,9 % 132
Ospecificerad inkompatibilitet Oförenlig
injektion Foscarnet sodium
injektion Vancomycin hydrochloride
3662
Kompatibel
injektion Foscarnet sodium 24 mg/ml
injektion Vancomycin hydrochloride 15 mg/ml
Natriumklorid 0,9 % 1135
Kompatibel
injektion Foscarnet sodium 24 mg/ml
injektion Vancomycin hydrochloride 15 mg/ml
Glukos 5 % 1135
Omedelbar nederbörd Oförenlig
injektion Foscarnet sodium 24 mg/ml
injektion Vancomycin hydrochloride 20 mg/ml
Ingen 73

  Mentions Légales