Poslední aktualizace :
27/04/2026
Antivirotikum   Foscarnet sodium  
injekce
Stabilita roztoků Stabilita směsí Faktory ovlivňující stabilitu Kompatibilita Způsoby aplikace Odkazy pdf
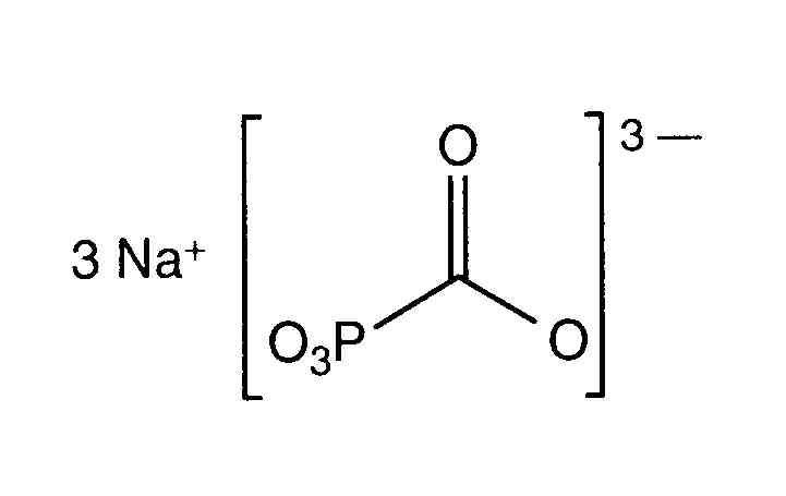
   Chemický vzorec  

Obchodní název   Obchodní název     

Trade names are indicative and excipients composition can be different depending on the country and manufacturers

Foscarnet äpanÏlsko, Argentina, Chile, Ekvádor, Kolumbie, Mexiko, Peru, Portugalsko, USA
Foscavir äpanÏlsko, Austrálie, Belgie, Francie, Itálie, Lucembursko, MaÔarsko, NÏmecko, Nizozemsko, nový Zéland, Rakousko, Švédsko, Švýcarsko, USA, Velká Británie, ÿecko
Kompatibilita   injekce   Kompatibilita : Foscarnet sodium              
Tato obrazovka ukazuje kompatibilitu nebo nekompatibilitu s, v tomto případě, typem nekompatibility (srážení, změna barvy, modifikace emulze atd.). Zde uvedené kompatibility jsou většinou pouze fyzikální, přičemž chemická stabilita každé molekuly je zřídka hodnocena. Hodnocení těchto směsí bylo studováno, aby se zvážila možnost podání Y-místa pacientovi. Tyto údaje nelze použít k přípravě směsí předem v pytlích nebo stříkačkách. Tento typ informací je k dispozici na obrazovce „Stabilita ve směsi“.
SlouËenina RozpouötÏdlo Odkazy
Nespecifikovaná nekompatibilita Nekompatibilní
injekce Foscarnet sodium
injekce Aciclovir sodium
3595
Okamžité srážení Nekompatibilní
injekce Foscarnet sodium 24 mg/ml
injekce Aciclovir sodium 7 mg/ml
GlukÛza 5% 1135
Okamžité srážení Nekompatibilní
injekce Foscarnet sodium 24 mg/ml
injekce Aciclovir sodium 7 mg/ml
Chlorid sodný 0,9% 1135
Nespecifikovaná nekompatibilita Nekompatibilní
injekce Foscarnet sodium
injekce Aciclovir sodium
3662
Okamžité srážení Nekompatibilní
injekce Foscarnet sodium 24 mg/ml
injekce Aciclovir sodium 10 mg/ml
Žádné 73
Kompatibilní
injekce Foscarnet sodium 24 mg/ml
injekce Aldesleukin 0.0338 MUI/ml
GlukÛza 5% 36
Kompatibilní
injekce Foscarnet sodium 24 mg/ml
injekce Amikacin sulfate 20 mg/ml
Žádné 73
Kompatibilní
injekce Foscarnet sodium 24 mg/ml
injekce Aminophylline 25 mg/ml
Žádné 73
Okamžitá zákal Nekompatibilní
injekce Foscarnet sodium 24 mg/ml
injekce Amphotericin B 0.6 mg/ml
GlukÛza 5% 1135
Nespecifikovaná nekompatibilita Nekompatibilní
injekce Foscarnet sodium
injekce Amphotericin B
3662
Okamžité srážení Nekompatibilní
injekce Foscarnet sodium 24 mg/ml
injekce Amphotericin B 5 mg/ml
Žádné 73
Kompatibilní
injekce Foscarnet sodium 24 mg/ml
injekce Ampicillin sodium 20 mg/ml
Žádné 73
Kompatibilní
injekce Foscarnet sodium 24 mg/ml
injekce Aztreonam 40 mg/ml
Chlorid sodný 0,9% 1135
Kompatibilní
injekce Foscarnet sodium 24 mg/ml
injekce Aztreonam 40 mg/ml
GlukÛza 5% 1135
Kompatibilní
injekce Foscarnet sodium 24 mg/ml
injekce Aztreonam 40 mg/ml
Žádné 73
Nespecifikovaná nekompatibilita Nekompatibilní
injekce Foscarnet sodium
injekce Calcium chloride
3662
Nespecifikovaná nekompatibilita Nekompatibilní
injekce Foscarnet sodium
injekce Calcium glucoheptonate
3662
Nespecifikovaná nekompatibilita Nekompatibilní
injekce Foscarnet sodium
injekce Calcium gluconate
3662
Kompatibilní
injekce Foscarnet sodium 24 mg/ml
injekce Cefazolin sodium 40 mg/ml
Žádné 73
Kompatibilní
injekce Foscarnet sodium 24 mg/ml
injekce Cefoperazone sodium 40 mg/ml
Žádné 73
Kompatibilní
injekce Foscarnet sodium 24 mg/ml
injekce Cefoxitin sodium 40 mg/ml
Žádné 73
Kompatibilní
injekce Foscarnet sodium 24 mg/ml
injekce Ceftazidime 20 mg/ml
GlukÛza 5% 1135
Kompatibilní
injekce Foscarnet sodium 24 mg/ml
injekce Ceftazidime 20 mg/ml
Žádné 73
Kompatibilní
injekce Foscarnet sodium 24 mg/ml
injekce Ceftazidime 20 mg/ml
Chlorid sodný 0,9% 1135
Kompatibilní
injekce Foscarnet sodium
injekce Ceftazidime
3883
Kompatibilní
injekce Foscarnet sodium 24 mg/ml
injekce Ceftizoxime sodium 40 mg/ml
Žádné 73
Kompatibilní
injekce Foscarnet sodium 24 mg/ml
injekce Ceftriaxone disodium 20 mg/ml
GlukÛza 5% 1135
Kompatibilní
injekce Foscarnet sodium 24 mg/ml
injekce Ceftriaxone disodium 20 mg/ml
Chlorid sodný 0,9% 1135
Kompatibilní
injekce Foscarnet sodium 24 mg/ml
injekce Cefuroxime sodium 30 mg/ml
Žádné 73
Kompatibilní
injekce Foscarnet sodium 24 mg/ml
injekce Chloramphenicol sodium succinate 20 mg/ml
Žádné 73
Kompatibilní
injekce Foscarnet sodium 24 mg/ml
injekce Cimetidine hydrochloride 150 mg/ml
Žádné 73
Kompatibilní
injekce Foscarnet sodium 24 mg/ml
injekce Clindamycin phosphate 24 mg/ml
Žádné 73
Kompatibilní
injekce Foscarnet sodium 24 mg/ml
injekce Clindamycin phosphate 12 mg/ml
GlukÛza 5% 1135
Kompatibilní
injekce Foscarnet sodium 24 mg/ml
injekce Clindamycin phosphate 12 mg/ml
Chlorid sodný 0,9% 1135
Nespecifikovaná nekompatibilita Nekompatibilní
injekce Foscarnet sodium
injekce Co-trimoxazole
3662
Kompatibilní
injekce Foscarnet sodium 24 mg/ml
injekce Co-trimoxazole 2,6/0,53 mg/ml
GlukÛza 5% 1135
Okamžité srážení Nekompatibilní
injekce Foscarnet sodium 24 mg/ml
injekce Co-trimoxazole
Žádné 73
Kompatibilní
injekce Foscarnet sodium 24 mg/ml
injekce Defibrotide 8 mg/ml
Chlorid sodný 0,9% 3728
Kompatibilní
injekce Foscarnet sodium 24 mg/ml
injekce Dexamethasone sodium phosphate 10 mg/ml
Žádné 73
Výroba plynových bublin Nekompatibilní
injekce Foscarnet sodium 24 mg/ml
injekce Diazepam 5 mg/ml
Žádné 73
Výroba plynových bublin Nekompatibilní
injekce Foscarnet sodium 24 mg/ml
injekce Digoxin 250 µg/ml
Žádné 73
Okamžitá zákal Nekompatibilní
injekce Foscarnet sodium 24 mg/ml
injekce Diphenhydramine hydrochloride 50 mg/ml
Žádné 73
Okamžité srážení Nekompatibilní
injekce Foscarnet sodium 24 mg/ml
injekce Dobutamine hydrochloride 12.5 mg/ml
Žádné 73
Kompatibilní
injekce Foscarnet sodium 24 mg/ml
injekce Dopamine hydrochloride 80 mg/ml
Žádné 73
Kompatibilní
injekce Foscarnet sodium 24 mg/ml
injekce Doripenem 5 mg/ml
GlukÛza 5% 2262
Kompatibilní
injekce Foscarnet sodium 24 mg/ml
injekce Doripenem 5 mg/ml
Chlorid sodný 0,9% 2262
Okamžité srážení Nekompatibilní
injekce Foscarnet sodium 24 mg/ml
injekce Droperidol 2.5 mg/ml
Žádné 73
Kompatibilní
injekce Foscarnet sodium 24 mg/ml
injekce Erythromycin lactobionate 20 mg/ml
Chlorid sodný 0,9% 1135
Kompatibilní
injekce Foscarnet sodium 24 mg/ml
injekce Erythromycin lactobionate 20 mg/ml
Žádné 73
Kompatibilní
injekce Foscarnet sodium 24 mg/ml
injekce Fluconazole 2 mg/ml
Chlorid sodný 0,9% 496
Okamžitá zákal Nekompatibilní
injekce Foscarnet sodium 24 mg/ml
injekce Folinate calcium 10 mg/ml
Žádné 73
Kompatibilní
injekce Foscarnet sodium 24 mg/ml
injekce Furosemide 10 mg/ml
Žádné 73
Okamžité srážení Nekompatibilní
injekce Foscarnet sodium 24 mg/ml
injekce Ganciclovir sodium 50 mg/ml
Žádné 73
Nespecifikovaná nekompatibilita Nekompatibilní
injekce Foscarnet sodium
injekce Ganciclovir sodium
3662
Kompatibilní
injekce Foscarnet sodium 24 mg/ml
injekce Gentamicin sulfate 4 mg/ml
Žádné 73
Kompatibilní
injekce Foscarnet sodium 24 mg/ml
injekce Gentamicin sulfate 2 mg/ml
Chlorid sodný 0,9% 1135
Kompatibilní
injekce Foscarnet sodium 24 mg/ml
injekce Gentamicin sulfate 2 mg/ml
GlukÛza 5% 1135
Okamžité srážení Nekompatibilní
injekce Foscarnet sodium 24 mg/ml
injekce Haloperidol lactate 5 mg/ml
Žádné 73
Kompatibilní
injekce Foscarnet sodium 24 mg/ml
injekce Heparin sodium 100 UI/ml
Chlorid sodný 0,9% 1135
Kompatibilní
injekce Foscarnet sodium 24 mg/ml
injekce Heparin sodium 1000 UI/ml
Žádné 73
Kompatibilní
injekce Foscarnet sodium 24 mg/ml
injekce Heparin sodium 100 UI/ml
GlukÛza 5% 1135
Kompatibilní
injekce Foscarnet sodium 24 mg/ml
injekce Hydrocortisone sodium succinate 50 mg/ml
Žádné 73
Kompatibilní
injekce Foscarnet sodium 24 mg/ml
injekce Hydromorphone hydrochloride 10 mg/ml
Žádné 73
Kompatibilní
injekce Foscarnet sodium 24 mg/ml
injekce Hydroxyzine dihydrochloride 50 mg/ml
Žádné 73
Kompatibilní
injekce Foscarnet sodium 24 mg/ml
injekce Imipenem - cilastatin sodium 5 mg/ml
GlukÛza 5% 1135
Kompatibilní
injekce Foscarnet sodium 24 mg/ml
injekce Imipenem - cilastatin sodium 10 mg/ml
Žádné 73
Nespecifikovaná nekompatibilita Nekompatibilní
injekce Foscarnet sodium
injekce Levofolinate calcium
3662
Kompatibilní
injekce Foscarnet sodium 24 mg/ml
injekce Lorazepam 0,08 mg/ml
Chlorid sodný 0,9% 1135
Kompatibilní
injekce Foscarnet sodium 24 mg/ml
injekce Lorazepam 0,08 mg/ml
GlukÛza 5% 1135
Výroba plynových bublin Nekompatibilní
injekce Foscarnet sodium 24 mg/ml
injekce Lorazepam 4 mg/ml
Žádné 73
Kompatibilní
injekce Foscarnet sodium 24 mg/ml
injekce Meropenem 50 mg/ml
Voda pro injekci 4319
Kompatibilní
injekce Foscarnet sodium 24 mg/ml
injekce Metoclopramide hydrochloride 2 mg/ml
Chlorid sodný 0,9% 1135
Kompatibilní
injekce Foscarnet sodium 24 mg/ml
injekce Metoclopramide hydrochloride 4 mg/ml
Žádné 73
Kompatibilní
injekce Foscarnet sodium 24 mg/ml
injekce Metoclopramide hydrochloride 2 mg/ml
GlukÛza 5% 1135
Kompatibilní
injekce Foscarnet sodium 24 mg/ml
injekce Metronidazole 5 mg/ml
Chlorid sodný 0,9% 1135
Kompatibilní
injekce Foscarnet sodium 24 mg/ml
injekce Metronidazole 5 mg/ml
Žádné 73
Výroba plynových bublin Nekompatibilní
injekce Foscarnet sodium 24 mg/ml
injekce Midazolam hydrochloride 5 mg/ml
Žádné 73
Kompatibilní
injekce Foscarnet sodium 24 mg/ml
injekce Morphine sulfate 1 mg/ml
Chlorid sodný 0,9% 1135
Kompatibilní
injekce Foscarnet sodium 24 mg/ml
injekce Morphine sulfate 15 mg/ml
Žádné 64
Kompatibilní
injekce Foscarnet sodium 24 mg/ml
injekce Morphine sulfate 5 mg/ml
Chlorid sodný 0,9% 64
Kompatibilní
injekce Foscarnet sodium 24 mg/ml
injekce Morphine sulfate 1 mg/ml
GlukÛza 5% 1135
Kompatibilní
injekce Foscarnet sodium 24 mg/ml
injekce Morphine sulfate 1 mg/ml
Žádné 73
Kompatibilní
injekce Foscarnet sodium 24 mg/ml
injekce Nafcillin sodium 20 mg/ml
GlukÛza 5% 1135
Kompatibilní
injekce Foscarnet sodium 24 mg/ml
injekce Nafcillin sodium 20 mg/ml
Chlorid sodný 0,9% 1135
Kompatibilní
injekce Foscarnet sodium 24 mg/ml
injekce Oxacillin sodium 40 mg/ml
Žádné 73
Kompatibilní
injekce Foscarnet sodium 24 mg/ml
injekce Oxacillin sodium 20 mg/ml
GlukÛza 5% 1135
Nespecifikovaná nekompatibilita Nekompatibilní
injekce Foscarnet sodium
GlukÛza 30% 3662
Kompatibilní
injekce Foscarnet sodium 24 mg/ml
injekce Oxacillin sodium 20 mg/ml
Chlorid sodný 0,9% 1135
Kompatibilní
injekce Foscarnet sodium 24 mg/ml
injekce Penicillin G potassium 0.1 MUI/ml
Žádné 73
Okamžité srážení Nekompatibilní
injekce Foscarnet sodium 24 mg/ml
injekce Pentamidine isetionate 6 mg/ml
Žádné 73
Okamžité srážení Nekompatibilní
injekce Foscarnet sodium 24 mg/ml
injekce Pentamidine isetionate 6 mg/ml
GlukÛza 5% 1135
Nespecifikovaná nekompatibilita Nekompatibilní
injekce Foscarnet sodium
injekce Pentamidine isetionate
3662
Okamžité srážení Nekompatibilní
injekce Foscarnet sodium 24 mg/ml
injekce Pentamidine isetionate 6 mg/ml
Chlorid sodný 0,9% 1135
Okamžité srážení Nekompatibilní
injekce Foscarnet sodium 24 mg/ml
injekce Phenytoin sodium 50 mg/ml
Žádné 73
Kompatibilní
injekce Foscarnet sodium 24 mg/ml
injekce Piperacillin sodium 80 mg/ml
Žádné 73
Okamžitá zákal Nekompatibilní
injekce Foscarnet sodium 24 mg/ml
injekce Prochlorperazine edysilate 5 mg/ml
Žádné 73
Výroba plynových bublin Nekompatibilní
injekce Foscarnet sodium 24 mg/ml
injekce Promethazine hydrochloride 50 mg/ml
Žádné 73
Kompatibilní
injekce Foscarnet sodium 24 mg/ml
injekce Ranitidine hydrochloride 2 mg/ml
Chlorid sodný 0,9% 1135
Kompatibilní
injekce Foscarnet sodium 24 mg/ml
injekce Ranitidine hydrochloride 2 mg/ml
GlukÛza 5% 1135
Kompatibilní
injekce Foscarnet sodium 24 mg/ml
injekce Ticarcillin / clavulanic acid 100 mg/ml
Chlorid sodný 0,9% 1135
Kompatibilní
injekce Foscarnet sodium 24 mg/ml
injekce Ticarcillin / clavulanic acid 100 mg/ml
GlukÛza 5% 1135
Kompatibilní
injekce Foscarnet sodium 24 mg/ml
injekce Tobramycin sulfate 40 mg/ml
Žádné 73
Kompatibilní
injekce Foscarnet sodium 24 mg/ml
injekce Vancomycin hydrochloride 10 mg/ml
Chlorid sodný 0,9% 132
Nespecifikovaná nekompatibilita Nekompatibilní
injekce Foscarnet sodium
injekce Vancomycin hydrochloride
3662
Kompatibilní
injekce Foscarnet sodium 24 mg/ml
injekce Vancomycin hydrochloride 15 mg/ml
Chlorid sodný 0,9% 1135
Kompatibilní
injekce Foscarnet sodium 24 mg/ml
injekce Vancomycin hydrochloride 15 mg/ml
GlukÛza 5% 1135
Okamžité srážení Nekompatibilní
injekce Foscarnet sodium 24 mg/ml
injekce Vancomycin hydrochloride 20 mg/ml
Žádné 73

  Mentions Légales