Ultimele actualizari :
27/04/2026
Antiviral   Foscarnet sodium  
Injectabil
Stabilitatea in solutie Stabilitatea in amestec Factorii care influenteaza stabilitatea Compatibilitate Microunde Bibliografie pdf
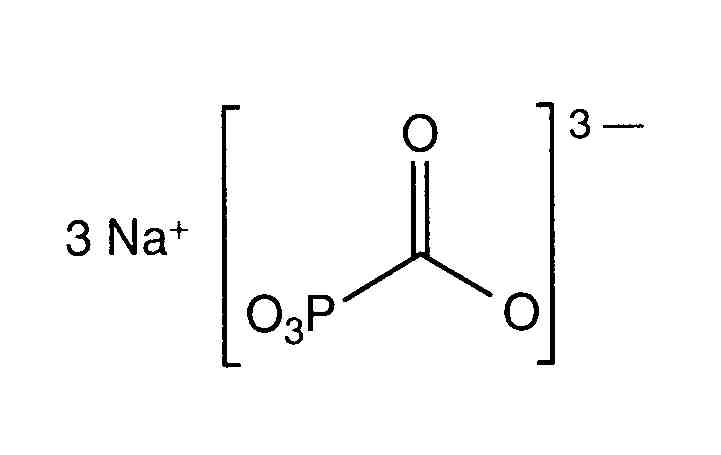
   Formula chimica  

Denumirea comerciala   Denumirea comerciala     

Trade names are indicative and excipients composition can be different depending on the country and manufacturers

Foscarnet Argentina, Chilli, Columbia, Ecuador, Mexic, Peru, Portugalia, Spania, SUA
Foscavir Australia, Austria, Belgia, Elvetia, Franta, Germania, Grecia, Italia, Luxemburg, Marea Britanie, noua Zeelandă, Olanda, Spania, SUA, Suedia, Ungaria
Compatibilitate   Injectabil   Compatibilitate : Foscarnet sodium              
Acest ecran indică compatibilitățile sau incompatibilitățile cu, în acest caz, tipul de incompatibilitate (precipitații, schimbarea culorii, modificarea unei emulsii etc.). Compatibilitățile prezentate aici sunt în mare parte numai fizice, stabilitatea chimică a fiecărei molecule fiind rareori evaluată. Evaluarea acestor amestecuri a fost studiată pentru a lua în considerare posibilitatea administrării site-ului Y la pacient. Aceste date nu pot fi utilizate pentru prepararea în prealabil a amestecurilor în pungi sau seringi. Acest tip de informații este disponibil în ecranul „Stabilitate în amestec».
Molecula (substanta activa) Solvent Bibiografie
Incompatibilitate nespecificată Incompatibil
Injectabil Foscarnet sodium
Injectabil Aciclovir sodium
3595
Precipitații imediate Incompatibil
Injectabil Foscarnet sodium 24 mg/ml
Injectabil Aciclovir sodium 7 mg/ml
Glucoza 5% 1135
Precipitații imediate Incompatibil
Injectabil Foscarnet sodium 24 mg/ml
Injectabil Aciclovir sodium 7 mg/ml
clorura de sodiu 0,9% 1135
Incompatibilitate nespecificată Incompatibil
Injectabil Foscarnet sodium
Injectabil Aciclovir sodium
3662
Precipitații imediate Incompatibil
Injectabil Foscarnet sodium 24 mg/ml
Injectabil Aciclovir sodium 10 mg/ml
fara 73
Compatibil
Injectabil Foscarnet sodium 24 mg/ml
Injectabil Aldesleukin 0.0338 MUI/ml
Glucoza 5% 36
Compatibil
Injectabil Foscarnet sodium 24 mg/ml
Injectabil Amikacin sulfate 20 mg/ml
fara 73
Compatibil
Injectabil Foscarnet sodium 24 mg/ml
Injectabil Aminophylline 25 mg/ml
fara 73
Turbiditate imediată Incompatibil
Injectabil Foscarnet sodium 24 mg/ml
Injectabil Amphotericin B 0.6 mg/ml
Glucoza 5% 1135
Incompatibilitate nespecificată Incompatibil
Injectabil Foscarnet sodium
Injectabil Amphotericin B
3662
Precipitații imediate Incompatibil
Injectabil Foscarnet sodium 24 mg/ml
Injectabil Amphotericin B 5 mg/ml
fara 73
Compatibil
Injectabil Foscarnet sodium 24 mg/ml
Injectabil Ampicillin sodium 20 mg/ml
fara 73
Compatibil
Injectabil Foscarnet sodium 24 mg/ml
Injectabil Aztreonam 40 mg/ml
clorura de sodiu 0,9% 1135
Compatibil
Injectabil Foscarnet sodium 24 mg/ml
Injectabil Aztreonam 40 mg/ml
Glucoza 5% 1135
Compatibil
Injectabil Foscarnet sodium 24 mg/ml
Injectabil Aztreonam 40 mg/ml
fara 73
Incompatibilitate nespecificată Incompatibil
Injectabil Foscarnet sodium
Injectabil Calcium chloride
3662
Incompatibilitate nespecificată Incompatibil
Injectabil Foscarnet sodium
Injectabil Calcium glucoheptonate
3662
Incompatibilitate nespecificată Incompatibil
Injectabil Foscarnet sodium
Injectabil Calcium gluconate
3662
Compatibil
Injectabil Foscarnet sodium 24 mg/ml
Injectabil Cefazolin sodium 40 mg/ml
fara 73
Compatibil
Injectabil Foscarnet sodium 24 mg/ml
Injectabil Cefoperazone sodium 40 mg/ml
fara 73
Compatibil
Injectabil Foscarnet sodium 24 mg/ml
Injectabil Cefoxitin sodium 40 mg/ml
fara 73
Compatibil
Injectabil Foscarnet sodium 24 mg/ml
Injectabil Ceftazidime 20 mg/ml
Glucoza 5% 1135
Compatibil
Injectabil Foscarnet sodium 24 mg/ml
Injectabil Ceftazidime 20 mg/ml
fara 73
Compatibil
Injectabil Foscarnet sodium 24 mg/ml
Injectabil Ceftazidime 20 mg/ml
clorura de sodiu 0,9% 1135
Compatibil
Injectabil Foscarnet sodium
Injectabil Ceftazidime
3883
Compatibil
Injectabil Foscarnet sodium 24 mg/ml
Injectabil Ceftizoxime sodium 40 mg/ml
fara 73
Compatibil
Injectabil Foscarnet sodium 24 mg/ml
Injectabil Ceftriaxone disodium 20 mg/ml
Glucoza 5% 1135
Compatibil
Injectabil Foscarnet sodium 24 mg/ml
Injectabil Ceftriaxone disodium 20 mg/ml
clorura de sodiu 0,9% 1135
Compatibil
Injectabil Foscarnet sodium 24 mg/ml
Injectabil Cefuroxime sodium 30 mg/ml
fara 73
Compatibil
Injectabil Foscarnet sodium 24 mg/ml
Injectabil Chloramphenicol sodium succinate 20 mg/ml
fara 73
Compatibil
Injectabil Foscarnet sodium 24 mg/ml
Injectabil Cimetidine hydrochloride 150 mg/ml
fara 73
Compatibil
Injectabil Foscarnet sodium 24 mg/ml
Injectabil Clindamycin phosphate 24 mg/ml
fara 73
Compatibil
Injectabil Foscarnet sodium 24 mg/ml
Injectabil Clindamycin phosphate 12 mg/ml
Glucoza 5% 1135
Compatibil
Injectabil Foscarnet sodium 24 mg/ml
Injectabil Clindamycin phosphate 12 mg/ml
clorura de sodiu 0,9% 1135
Incompatibilitate nespecificată Incompatibil
Injectabil Foscarnet sodium
Injectabil Co-trimoxazole
3662
Compatibil
Injectabil Foscarnet sodium 24 mg/ml
Injectabil Co-trimoxazole 2,6/0,53 mg/ml
Glucoza 5% 1135
Precipitații imediate Incompatibil
Injectabil Foscarnet sodium 24 mg/ml
Injectabil Co-trimoxazole
fara 73
Compatibil
Injectabil Foscarnet sodium 24 mg/ml
Injectabil Defibrotide 8 mg/ml
clorura de sodiu 0,9% 3728
Compatibil
Injectabil Foscarnet sodium 24 mg/ml
Injectabil Dexamethasone sodium phosphate 10 mg/ml
fara 73
Producția de bule de gaz Incompatibil
Injectabil Foscarnet sodium 24 mg/ml
Injectabil Diazepam 5 mg/ml
fara 73
Producția de bule de gaz Incompatibil
Injectabil Foscarnet sodium 24 mg/ml
Injectabil Digoxin 250 µg/ml
fara 73
Turbiditate imediată Incompatibil
Injectabil Foscarnet sodium 24 mg/ml
Injectabil Diphenhydramine hydrochloride 50 mg/ml
fara 73
Precipitații imediate Incompatibil
Injectabil Foscarnet sodium 24 mg/ml
Injectabil Dobutamine hydrochloride 12.5 mg/ml
fara 73
Compatibil
Injectabil Foscarnet sodium 24 mg/ml
Injectabil Dopamine hydrochloride 80 mg/ml
fara 73
Compatibil
Injectabil Foscarnet sodium 24 mg/ml
Injectabil Doripenem 5 mg/ml
Glucoza 5% 2262
Compatibil
Injectabil Foscarnet sodium 24 mg/ml
Injectabil Doripenem 5 mg/ml
clorura de sodiu 0,9% 2262
Precipitații imediate Incompatibil
Injectabil Foscarnet sodium 24 mg/ml
Injectabil Droperidol 2.5 mg/ml
fara 73
Compatibil
Injectabil Foscarnet sodium 24 mg/ml
Injectabil Erythromycin lactobionate 20 mg/ml
clorura de sodiu 0,9% 1135
Compatibil
Injectabil Foscarnet sodium 24 mg/ml
Injectabil Erythromycin lactobionate 20 mg/ml
fara 73
Compatibil
Injectabil Foscarnet sodium 24 mg/ml
Injectabil Fluconazole 2 mg/ml
clorura de sodiu 0,9% 496
Turbiditate imediată Incompatibil
Injectabil Foscarnet sodium 24 mg/ml
Injectabil Folinate calcium 10 mg/ml
fara 73
Compatibil
Injectabil Foscarnet sodium 24 mg/ml
Injectabil Furosemide 10 mg/ml
fara 73
Precipitații imediate Incompatibil
Injectabil Foscarnet sodium 24 mg/ml
Injectabil Ganciclovir sodium 50 mg/ml
fara 73
Incompatibilitate nespecificată Incompatibil
Injectabil Foscarnet sodium
Injectabil Ganciclovir sodium
3662
Compatibil
Injectabil Foscarnet sodium 24 mg/ml
Injectabil Gentamicin sulfate 4 mg/ml
fara 73
Compatibil
Injectabil Foscarnet sodium 24 mg/ml
Injectabil Gentamicin sulfate 2 mg/ml
clorura de sodiu 0,9% 1135
Compatibil
Injectabil Foscarnet sodium 24 mg/ml
Injectabil Gentamicin sulfate 2 mg/ml
Glucoza 5% 1135
Precipitații imediate Incompatibil
Injectabil Foscarnet sodium 24 mg/ml
Injectabil Haloperidol lactate 5 mg/ml
fara 73
Compatibil
Injectabil Foscarnet sodium 24 mg/ml
Injectabil Heparin sodium 100 UI/ml
clorura de sodiu 0,9% 1135
Compatibil
Injectabil Foscarnet sodium 24 mg/ml
Injectabil Heparin sodium 1000 UI/ml
fara 73
Compatibil
Injectabil Foscarnet sodium 24 mg/ml
Injectabil Heparin sodium 100 UI/ml
Glucoza 5% 1135
Compatibil
Injectabil Foscarnet sodium 24 mg/ml
Injectabil Hydrocortisone sodium succinate 50 mg/ml
fara 73
Compatibil
Injectabil Foscarnet sodium 24 mg/ml
Injectabil Hydromorphone hydrochloride 10 mg/ml
fara 73
Compatibil
Injectabil Foscarnet sodium 24 mg/ml
Injectabil Hydroxyzine dihydrochloride 50 mg/ml
fara 73
Compatibil
Injectabil Foscarnet sodium 24 mg/ml
Injectabil Imipenem - cilastatin sodium 5 mg/ml
Glucoza 5% 1135
Compatibil
Injectabil Foscarnet sodium 24 mg/ml
Injectabil Imipenem - cilastatin sodium 10 mg/ml
fara 73
Incompatibilitate nespecificată Incompatibil
Injectabil Foscarnet sodium
Injectabil Levofolinate calcium
3662
Compatibil
Injectabil Foscarnet sodium 24 mg/ml
Injectabil Lorazepam 0,08 mg/ml
clorura de sodiu 0,9% 1135
Compatibil
Injectabil Foscarnet sodium 24 mg/ml
Injectabil Lorazepam 0,08 mg/ml
Glucoza 5% 1135
Producția de bule de gaz Incompatibil
Injectabil Foscarnet sodium 24 mg/ml
Injectabil Lorazepam 4 mg/ml
fara 73
Compatibil
Injectabil Foscarnet sodium 24 mg/ml
Injectabil Meropenem 50 mg/ml
apa pentru preparate injectabile 4319
Compatibil
Injectabil Foscarnet sodium 24 mg/ml
Injectabil Metoclopramide hydrochloride 2 mg/ml
clorura de sodiu 0,9% 1135
Compatibil
Injectabil Foscarnet sodium 24 mg/ml
Injectabil Metoclopramide hydrochloride 4 mg/ml
fara 73
Compatibil
Injectabil Foscarnet sodium 24 mg/ml
Injectabil Metoclopramide hydrochloride 2 mg/ml
Glucoza 5% 1135
Compatibil
Injectabil Foscarnet sodium 24 mg/ml
Injectabil Metronidazole 5 mg/ml
clorura de sodiu 0,9% 1135
Compatibil
Injectabil Foscarnet sodium 24 mg/ml
Injectabil Metronidazole 5 mg/ml
fara 73
Producția de bule de gaz Incompatibil
Injectabil Foscarnet sodium 24 mg/ml
Injectabil Midazolam hydrochloride 5 mg/ml
fara 73
Compatibil
Injectabil Foscarnet sodium 24 mg/ml
Injectabil Morphine sulfate 1 mg/ml
clorura de sodiu 0,9% 1135
Compatibil
Injectabil Foscarnet sodium 24 mg/ml
Injectabil Morphine sulfate 15 mg/ml
fara 64
Compatibil
Injectabil Foscarnet sodium 24 mg/ml
Injectabil Morphine sulfate 5 mg/ml
clorura de sodiu 0,9% 64
Compatibil
Injectabil Foscarnet sodium 24 mg/ml
Injectabil Morphine sulfate 1 mg/ml
Glucoza 5% 1135
Compatibil
Injectabil Foscarnet sodium 24 mg/ml
Injectabil Morphine sulfate 1 mg/ml
fara 73
Compatibil
Injectabil Foscarnet sodium 24 mg/ml
Injectabil Nafcillin sodium 20 mg/ml
Glucoza 5% 1135
Compatibil
Injectabil Foscarnet sodium 24 mg/ml
Injectabil Nafcillin sodium 20 mg/ml
clorura de sodiu 0,9% 1135
Compatibil
Injectabil Foscarnet sodium 24 mg/ml
Injectabil Oxacillin sodium 40 mg/ml
fara 73
Compatibil
Injectabil Foscarnet sodium 24 mg/ml
Injectabil Oxacillin sodium 20 mg/ml
Glucoza 5% 1135
Incompatibilitate nespecificată Incompatibil
Injectabil Foscarnet sodium
Glucoza 30% 3662
Compatibil
Injectabil Foscarnet sodium 24 mg/ml
Injectabil Oxacillin sodium 20 mg/ml
clorura de sodiu 0,9% 1135
Compatibil
Injectabil Foscarnet sodium 24 mg/ml
Injectabil Penicillin G potassium 0.1 MUI/ml
fara 73
Precipitații imediate Incompatibil
Injectabil Foscarnet sodium 24 mg/ml
Injectabil Pentamidine isetionate 6 mg/ml
fara 73
Precipitații imediate Incompatibil
Injectabil Foscarnet sodium 24 mg/ml
Injectabil Pentamidine isetionate 6 mg/ml
Glucoza 5% 1135
Incompatibilitate nespecificată Incompatibil
Injectabil Foscarnet sodium
Injectabil Pentamidine isetionate
3662
Precipitații imediate Incompatibil
Injectabil Foscarnet sodium 24 mg/ml
Injectabil Pentamidine isetionate 6 mg/ml
clorura de sodiu 0,9% 1135
Precipitații imediate Incompatibil
Injectabil Foscarnet sodium 24 mg/ml
Injectabil Phenytoin sodium 50 mg/ml
fara 73
Compatibil
Injectabil Foscarnet sodium 24 mg/ml
Injectabil Piperacillin sodium 80 mg/ml
fara 73
Turbiditate imediată Incompatibil
Injectabil Foscarnet sodium 24 mg/ml
Injectabil Prochlorperazine edysilate 5 mg/ml
fara 73
Producția de bule de gaz Incompatibil
Injectabil Foscarnet sodium 24 mg/ml
Injectabil Promethazine hydrochloride 50 mg/ml
fara 73
Compatibil
Injectabil Foscarnet sodium 24 mg/ml
Injectabil Ranitidine hydrochloride 2 mg/ml
clorura de sodiu 0,9% 1135
Compatibil
Injectabil Foscarnet sodium 24 mg/ml
Injectabil Ranitidine hydrochloride 2 mg/ml
Glucoza 5% 1135
Compatibil
Injectabil Foscarnet sodium 24 mg/ml
Injectabil Ticarcillin / clavulanic acid 100 mg/ml
clorura de sodiu 0,9% 1135
Compatibil
Injectabil Foscarnet sodium 24 mg/ml
Injectabil Ticarcillin / clavulanic acid 100 mg/ml
Glucoza 5% 1135
Compatibil
Injectabil Foscarnet sodium 24 mg/ml
Injectabil Tobramycin sulfate 40 mg/ml
fara 73
Compatibil
Injectabil Foscarnet sodium 24 mg/ml
Injectabil Vancomycin hydrochloride 10 mg/ml
clorura de sodiu 0,9% 132
Incompatibilitate nespecificată Incompatibil
Injectabil Foscarnet sodium
Injectabil Vancomycin hydrochloride
3662
Compatibil
Injectabil Foscarnet sodium 24 mg/ml
Injectabil Vancomycin hydrochloride 15 mg/ml
clorura de sodiu 0,9% 1135
Compatibil
Injectabil Foscarnet sodium 24 mg/ml
Injectabil Vancomycin hydrochloride 15 mg/ml
Glucoza 5% 1135
Precipitații imediate Incompatibil
Injectabil Foscarnet sodium 24 mg/ml
Injectabil Vancomycin hydrochloride 20 mg/ml
fara 73

  Mentions Légales