Last update :
27/04/2026
Antiviral   Foscarnet sodium  
injection
Stability in solutions Stability of mixtures Factors which affect stability Compatibility Route of administration References pdf
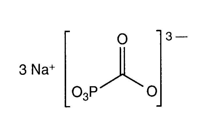
   Chemical structure  

Tradename   Tradename     

Trade names are indicative and excipients composition can be different depending on the country and manufacturers

Foscarnet Argentina, Chile, Colombia, Ecuador, Mexico, Peru, Portugal, Spain, United States of America
Foscavir Australia, Austria, Belgium, France, Germany, Great Britain, Greece, Hungary, Italy, Luxembourg, Netherlands, New Zealand, Spain, Sweden, Switzerland, United States of America
Compatibility   injection   Compatibility : Foscarnet sodium              
This screen indicates the compatibilities or incompatibilities with, in this case, the type of incompatibility (precipitation, color change, modification of an emulsion, etc.). The compatibilities shown here are mostly physical only, with the chemical stability of each molecule rarely being assessed. The evaluation of these mixtures was studied to consider the possibility of Y-site administration to the patient. These data cannot be used for making mixtures in advance in bags or syringes. This type of information is available in the screen "Stability in mixture ».
Compound Solvent References
Unspecified incompatibility Incompatible
injection Foscarnet sodium
injection Aciclovir sodium
3595
Immediate precipitation Incompatible
injection Foscarnet sodium 24 mg/ml
injection Aciclovir sodium 7 mg/ml
Glucose 5% 1135
Immediate precipitation Incompatible
injection Foscarnet sodium 24 mg/ml
injection Aciclovir sodium 7 mg/ml
Sodium chloride 0,9% 1135
Unspecified incompatibility Incompatible
injection Foscarnet sodium
injection Aciclovir sodium
3662
Immediate precipitation Incompatible
injection Foscarnet sodium 24 mg/ml
injection Aciclovir sodium 10 mg/ml
None 73
Compatible
injection Foscarnet sodium 24 mg/ml
injection Aldesleukin 0.0338 MUI/ml
Glucose 5% 36
Compatible
injection Foscarnet sodium 24 mg/ml
injection Amikacin sulfate 20 mg/ml
None 73
Compatible
injection Foscarnet sodium 24 mg/ml
injection Aminophylline 25 mg/ml
None 73
Immediate turbidity Incompatible
injection Foscarnet sodium 24 mg/ml
injection Amphotericin B 0.6 mg/ml
Glucose 5% 1135
Unspecified incompatibility Incompatible
injection Foscarnet sodium
injection Amphotericin B
3662
Immediate precipitation Incompatible
injection Foscarnet sodium 24 mg/ml
injection Amphotericin B 5 mg/ml
None 73
Compatible
injection Foscarnet sodium 24 mg/ml
injection Ampicillin sodium 20 mg/ml
None 73
Compatible
injection Foscarnet sodium 24 mg/ml
injection Aztreonam 40 mg/ml
Sodium chloride 0,9% 1135
Compatible
injection Foscarnet sodium 24 mg/ml
injection Aztreonam 40 mg/ml
Glucose 5% 1135
Compatible
injection Foscarnet sodium 24 mg/ml
injection Aztreonam 40 mg/ml
None 73
Unspecified incompatibility Incompatible
injection Foscarnet sodium
injection Calcium chloride
3662
Unspecified incompatibility Incompatible
injection Foscarnet sodium
injection Calcium glucoheptonate
3662
Unspecified incompatibility Incompatible
injection Foscarnet sodium
injection Calcium gluconate
3662
Compatible
injection Foscarnet sodium 24 mg/ml
injection Cefazolin sodium 40 mg/ml
None 73
Compatible
injection Foscarnet sodium 24 mg/ml
injection Cefoperazone sodium 40 mg/ml
None 73
Compatible
injection Foscarnet sodium 24 mg/ml
injection Cefoxitin sodium 40 mg/ml
None 73
Compatible
injection Foscarnet sodium 24 mg/ml
injection Ceftazidime 20 mg/ml
Glucose 5% 1135
Compatible
injection Foscarnet sodium 24 mg/ml
injection Ceftazidime 20 mg/ml
None 73
Compatible
injection Foscarnet sodium 24 mg/ml
injection Ceftazidime 20 mg/ml
Sodium chloride 0,9% 1135
Compatible
injection Foscarnet sodium
injection Ceftazidime
3883
Compatible
injection Foscarnet sodium 24 mg/ml
injection Ceftizoxime sodium 40 mg/ml
None 73
Compatible
injection Foscarnet sodium 24 mg/ml
injection Ceftriaxone disodium 20 mg/ml
Glucose 5% 1135
Compatible
injection Foscarnet sodium 24 mg/ml
injection Ceftriaxone disodium 20 mg/ml
Sodium chloride 0,9% 1135
Compatible
injection Foscarnet sodium 24 mg/ml
injection Cefuroxime sodium 30 mg/ml
None 73
Compatible
injection Foscarnet sodium 24 mg/ml
injection Chloramphenicol sodium succinate 20 mg/ml
None 73
Compatible
injection Foscarnet sodium 24 mg/ml
injection Cimetidine hydrochloride 150 mg/ml
None 73
Compatible
injection Foscarnet sodium 24 mg/ml
injection Clindamycin phosphate 24 mg/ml
None 73
Compatible
injection Foscarnet sodium 24 mg/ml
injection Clindamycin phosphate 12 mg/ml
Glucose 5% 1135
Compatible
injection Foscarnet sodium 24 mg/ml
injection Clindamycin phosphate 12 mg/ml
Sodium chloride 0,9% 1135
Unspecified incompatibility Incompatible
injection Foscarnet sodium
injection Co-trimoxazole
3662
Compatible
injection Foscarnet sodium 24 mg/ml
injection Co-trimoxazole 2,6/0,53 mg/ml
Glucose 5% 1135
Immediate precipitation Incompatible
injection Foscarnet sodium 24 mg/ml
injection Co-trimoxazole
None 73
Compatible
injection Foscarnet sodium 24 mg/ml
injection Defibrotide 8 mg/ml
Sodium chloride 0,9% 3728
Compatible
injection Foscarnet sodium 24 mg/ml
injection Dexamethasone sodium phosphate 10 mg/ml
None 73
Production of gas bubbles Incompatible
injection Foscarnet sodium 24 mg/ml
injection Diazepam 5 mg/ml
None 73
Production of gas bubbles Incompatible
injection Foscarnet sodium 24 mg/ml
injection Digoxin 250 µg/ml
None 73
Immediate turbidity Incompatible
injection Foscarnet sodium 24 mg/ml
injection Diphenhydramine hydrochloride 50 mg/ml
None 73
Immediate precipitation Incompatible
injection Foscarnet sodium 24 mg/ml
injection Dobutamine hydrochloride 12.5 mg/ml
None 73
Compatible
injection Foscarnet sodium 24 mg/ml
injection Dopamine hydrochloride 80 mg/ml
None 73
Compatible
injection Foscarnet sodium 24 mg/ml
injection Doripenem 5 mg/ml
Glucose 5% 2262
Compatible
injection Foscarnet sodium 24 mg/ml
injection Doripenem 5 mg/ml
Sodium chloride 0,9% 2262
Immediate precipitation Incompatible
injection Foscarnet sodium 24 mg/ml
injection Droperidol 2.5 mg/ml
None 73
Compatible
injection Foscarnet sodium 24 mg/ml
injection Erythromycin lactobionate 20 mg/ml
Sodium chloride 0,9% 1135
Compatible
injection Foscarnet sodium 24 mg/ml
injection Erythromycin lactobionate 20 mg/ml
None 73
Compatible
injection Foscarnet sodium 24 mg/ml
injection Fluconazole 2 mg/ml
Sodium chloride 0,9% 496
Immediate turbidity Incompatible
injection Foscarnet sodium 24 mg/ml
injection Folinate calcium 10 mg/ml
None 73
Compatible
injection Foscarnet sodium 24 mg/ml
injection Furosemide 10 mg/ml
None 73
Immediate precipitation Incompatible
injection Foscarnet sodium 24 mg/ml
injection Ganciclovir sodium 50 mg/ml
None 73
Unspecified incompatibility Incompatible
injection Foscarnet sodium
injection Ganciclovir sodium
3662
Compatible
injection Foscarnet sodium 24 mg/ml
injection Gentamicin sulfate 4 mg/ml
None 73
Compatible
injection Foscarnet sodium 24 mg/ml
injection Gentamicin sulfate 2 mg/ml
Sodium chloride 0,9% 1135
Compatible
injection Foscarnet sodium 24 mg/ml
injection Gentamicin sulfate 2 mg/ml
Glucose 5% 1135
Immediate precipitation Incompatible
injection Foscarnet sodium 24 mg/ml
injection Haloperidol lactate 5 mg/ml
None 73
Compatible
injection Foscarnet sodium 24 mg/ml
injection Heparin sodium 100 UI/ml
Sodium chloride 0,9% 1135
Compatible
injection Foscarnet sodium 24 mg/ml
injection Heparin sodium 1000 UI/ml
None 73
Compatible
injection Foscarnet sodium 24 mg/ml
injection Heparin sodium 100 UI/ml
Glucose 5% 1135
Compatible
injection Foscarnet sodium 24 mg/ml
injection Hydrocortisone sodium succinate 50 mg/ml
None 73
Compatible
injection Foscarnet sodium 24 mg/ml
injection Hydromorphone hydrochloride 10 mg/ml
None 73
Compatible
injection Foscarnet sodium 24 mg/ml
injection Hydroxyzine dihydrochloride 50 mg/ml
None 73
Compatible
injection Foscarnet sodium 24 mg/ml
injection Imipenem - cilastatin sodium 5 mg/ml
Glucose 5% 1135
Compatible
injection Foscarnet sodium 24 mg/ml
injection Imipenem - cilastatin sodium 10 mg/ml
None 73
Unspecified incompatibility Incompatible
injection Foscarnet sodium
injection Levofolinate calcium
3662
Compatible
injection Foscarnet sodium 24 mg/ml
injection Lorazepam 0,08 mg/ml
Sodium chloride 0,9% 1135
Compatible
injection Foscarnet sodium 24 mg/ml
injection Lorazepam 0,08 mg/ml
Glucose 5% 1135
Production of gas bubbles Incompatible
injection Foscarnet sodium 24 mg/ml
injection Lorazepam 4 mg/ml
None 73
Compatible
injection Foscarnet sodium 24 mg/ml
injection Meropenem 50 mg/ml
Water for Injection 4319
Compatible
injection Foscarnet sodium 24 mg/ml
injection Metoclopramide hydrochloride 2 mg/ml
Sodium chloride 0,9% 1135
Compatible
injection Foscarnet sodium 24 mg/ml
injection Metoclopramide hydrochloride 4 mg/ml
None 73
Compatible
injection Foscarnet sodium 24 mg/ml
injection Metoclopramide hydrochloride 2 mg/ml
Glucose 5% 1135
Compatible
injection Foscarnet sodium 24 mg/ml
injection Metronidazole 5 mg/ml
Sodium chloride 0,9% 1135
Compatible
injection Foscarnet sodium 24 mg/ml
injection Metronidazole 5 mg/ml
None 73
Production of gas bubbles Incompatible
injection Foscarnet sodium 24 mg/ml
injection Midazolam hydrochloride 5 mg/ml
None 73
Compatible
injection Foscarnet sodium 24 mg/ml
injection Morphine sulfate 1 mg/ml
Sodium chloride 0,9% 1135
Compatible
injection Foscarnet sodium 24 mg/ml
injection Morphine sulfate 15 mg/ml
None 64
Compatible
injection Foscarnet sodium 24 mg/ml
injection Morphine sulfate 5 mg/ml
Sodium chloride 0,9% 64
Compatible
injection Foscarnet sodium 24 mg/ml
injection Morphine sulfate 1 mg/ml
Glucose 5% 1135
Compatible
injection Foscarnet sodium 24 mg/ml
injection Morphine sulfate 1 mg/ml
None 73
Compatible
injection Foscarnet sodium 24 mg/ml
injection Nafcillin sodium 20 mg/ml
Glucose 5% 1135
Compatible
injection Foscarnet sodium 24 mg/ml
injection Nafcillin sodium 20 mg/ml
Sodium chloride 0,9% 1135
Compatible
injection Foscarnet sodium 24 mg/ml
injection Oxacillin sodium 40 mg/ml
None 73
Compatible
injection Foscarnet sodium 24 mg/ml
injection Oxacillin sodium 20 mg/ml
Glucose 5% 1135
Unspecified incompatibility Incompatible
injection Foscarnet sodium
Glucose 30% 3662
Compatible
injection Foscarnet sodium 24 mg/ml
injection Oxacillin sodium 20 mg/ml
Sodium chloride 0,9% 1135
Compatible
injection Foscarnet sodium 24 mg/ml
injection Penicillin G potassium 0.1 MUI/ml
None 73
Immediate precipitation Incompatible
injection Foscarnet sodium 24 mg/ml
injection Pentamidine isetionate 6 mg/ml
None 73
Immediate precipitation Incompatible
injection Foscarnet sodium 24 mg/ml
injection Pentamidine isetionate 6 mg/ml
Glucose 5% 1135
Unspecified incompatibility Incompatible
injection Foscarnet sodium
injection Pentamidine isetionate
3662
Immediate precipitation Incompatible
injection Foscarnet sodium 24 mg/ml
injection Pentamidine isetionate 6 mg/ml
Sodium chloride 0,9% 1135
Immediate precipitation Incompatible
injection Foscarnet sodium 24 mg/ml
injection Phenytoin sodium 50 mg/ml
None 73
Compatible
injection Foscarnet sodium 24 mg/ml
injection Piperacillin sodium 80 mg/ml
None 73
Immediate turbidity Incompatible
injection Foscarnet sodium 24 mg/ml
injection Prochlorperazine edysilate 5 mg/ml
None 73
Production of gas bubbles Incompatible
injection Foscarnet sodium 24 mg/ml
injection Promethazine hydrochloride 50 mg/ml
None 73
Compatible
injection Foscarnet sodium 24 mg/ml
injection Ranitidine hydrochloride 2 mg/ml
Sodium chloride 0,9% 1135
Compatible
injection Foscarnet sodium 24 mg/ml
injection Ranitidine hydrochloride 2 mg/ml
Glucose 5% 1135
Compatible
injection Foscarnet sodium 24 mg/ml
injection Ticarcillin / clavulanic acid 100 mg/ml
Sodium chloride 0,9% 1135
Compatible
injection Foscarnet sodium 24 mg/ml
injection Ticarcillin / clavulanic acid 100 mg/ml
Glucose 5% 1135
Compatible
injection Foscarnet sodium 24 mg/ml
injection Tobramycin sulfate 40 mg/ml
None 73
Compatible
injection Foscarnet sodium 24 mg/ml
injection Vancomycin hydrochloride 10 mg/ml
Sodium chloride 0,9% 132
Unspecified incompatibility Incompatible
injection Foscarnet sodium
injection Vancomycin hydrochloride
3662
Compatible
injection Foscarnet sodium 24 mg/ml
injection Vancomycin hydrochloride 15 mg/ml
Sodium chloride 0,9% 1135
Compatible
injection Foscarnet sodium 24 mg/ml
injection Vancomycin hydrochloride 15 mg/ml
Glucose 5% 1135
Immediate precipitation Incompatible
injection Foscarnet sodium 24 mg/ml
injection Vancomycin hydrochloride 20 mg/ml
None 73

  Mentions Légales