Последнее обновление :
27/04/2026
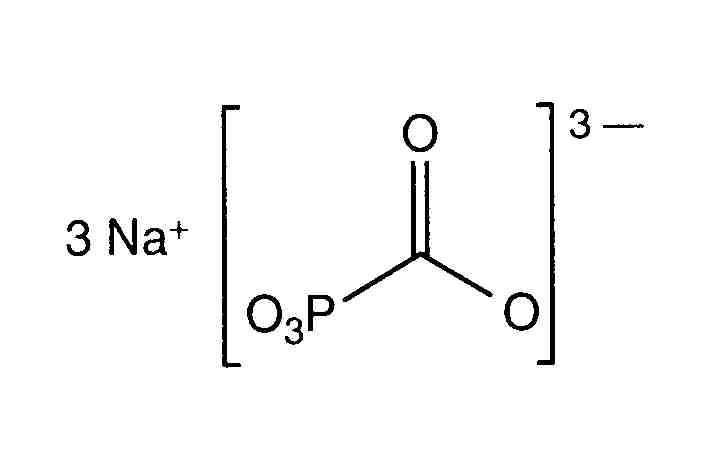
Противовирусное средство   Foscarnet sodium  
Инъекция
Стабильность растворов Стабильность смесей Факторы, которые влияют на стабильность Совместимость Способы введения Библиография pdf
   Химическая структура  

Товарное название   Товарное название     

Trade names are indicative and excipients composition can be different depending on the country and manufacturers

Foscarnet Аргентина, Испания, Колумбия, Мексика, Перу, Португалия, Соединённые Штаты Америки, чили, Эквадор
Foscavir Австралия, Австрия, Бельгия, Великобритания, Венгрия, Германия, Голландия, Греция, Испания, Италия, Люксембург, новая Зеландия, Соединённые Штаты Америки, Франция, Швейцария, Швеция
Совместимость   Инъекция   Совместимость : Foscarnet sodium              
Эта таблица показывает совместимость или несовместимость препаратов, по возможности тип несовместимости (преципитат, смена цвета, разложение эмульсии и др.). Показанные здесь совместимости в основном физические, по возможности указана и химическая стабильность каждой молекулы. Анализ этих смесей произведён для исследования возможности ввести препараты пациенту в Y-соединении систем. Эти данные нельзя использовать, чтобы приготовить лекарства на будущее в мешках или шприцах. Эта информация доступна в разделе "Стабильность смесей".
Молекула Растворитель Ссылки
Неопределенная несовместимость несовместимый
Инъекция Foscarnet sodium
Инъекция Aciclovir sodium
3595
Немедленные осадки несовместимый
Инъекция Foscarnet sodium 24 mg/ml
Инъекция Aciclovir sodium 7 mg/ml
Глюкоза 5% 1135
Немедленные осадки несовместимый
Инъекция Foscarnet sodium 24 mg/ml
Инъекция Aciclovir sodium 7 mg/ml
Натрия хлорид 0,9% 1135
Неопределенная несовместимость несовместимый
Инъекция Foscarnet sodium
Инъекция Aciclovir sodium
3662
Немедленные осадки несовместимый
Инъекция Foscarnet sodium 24 mg/ml
Инъекция Aciclovir sodium 10 mg/ml
Нет 73
совместимый
Инъекция Foscarnet sodium 24 mg/ml
Инъекция Aldesleukin 0.0338 MUI/ml
Глюкоза 5% 36
совместимый
Инъекция Foscarnet sodium 24 mg/ml
Инъекция Amikacin sulfate 20 mg/ml
Нет 73
совместимый
Инъекция Foscarnet sodium 24 mg/ml
Инъекция Aminophylline 25 mg/ml
Нет 73
Немедленная мутность несовместимый
Инъекция Foscarnet sodium 24 mg/ml
Инъекция Amphotericin B 0.6 mg/ml
Глюкоза 5% 1135
Неопределенная несовместимость несовместимый
Инъекция Foscarnet sodium
Инъекция Amphotericin B
3662
Немедленные осадки несовместимый
Инъекция Foscarnet sodium 24 mg/ml
Инъекция Amphotericin B 5 mg/ml
Нет 73
совместимый
Инъекция Foscarnet sodium 24 mg/ml
Инъекция Ampicillin sodium 20 mg/ml
Нет 73
совместимый
Инъекция Foscarnet sodium 24 mg/ml
Инъекция Aztreonam 40 mg/ml
Натрия хлорид 0,9% 1135
совместимый
Инъекция Foscarnet sodium 24 mg/ml
Инъекция Aztreonam 40 mg/ml
Глюкоза 5% 1135
совместимый
Инъекция Foscarnet sodium 24 mg/ml
Инъекция Aztreonam 40 mg/ml
Нет 73
Неопределенная несовместимость несовместимый
Инъекция Foscarnet sodium
Инъекция Calcium chloride
3662
Неопределенная несовместимость несовместимый
Инъекция Foscarnet sodium
Инъекция Calcium glucoheptonate
3662
Неопределенная несовместимость несовместимый
Инъекция Foscarnet sodium
Инъекция Calcium gluconate
3662
совместимый
Инъекция Foscarnet sodium 24 mg/ml
Инъекция Cefazolin sodium 40 mg/ml
Нет 73
совместимый
Инъекция Foscarnet sodium 24 mg/ml
Инъекция Cefoperazone sodium 40 mg/ml
Нет 73
совместимый
Инъекция Foscarnet sodium 24 mg/ml
Инъекция Cefoxitin sodium 40 mg/ml
Нет 73
совместимый
Инъекция Foscarnet sodium 24 mg/ml
Инъекция Ceftazidime 20 mg/ml
Глюкоза 5% 1135
совместимый
Инъекция Foscarnet sodium 24 mg/ml
Инъекция Ceftazidime 20 mg/ml
Нет 73
совместимый
Инъекция Foscarnet sodium 24 mg/ml
Инъекция Ceftazidime 20 mg/ml
Натрия хлорид 0,9% 1135
совместимый
Инъекция Foscarnet sodium
Инъекция Ceftazidime
3883
совместимый
Инъекция Foscarnet sodium 24 mg/ml
Инъекция Ceftizoxime sodium 40 mg/ml
Нет 73
совместимый
Инъекция Foscarnet sodium 24 mg/ml
Инъекция Ceftriaxone disodium 20 mg/ml
Глюкоза 5% 1135
совместимый
Инъекция Foscarnet sodium 24 mg/ml
Инъекция Ceftriaxone disodium 20 mg/ml
Натрия хлорид 0,9% 1135
совместимый
Инъекция Foscarnet sodium 24 mg/ml
Инъекция Cefuroxime sodium 30 mg/ml
Нет 73
совместимый
Инъекция Foscarnet sodium 24 mg/ml
Инъекция Chloramphenicol sodium succinate 20 mg/ml
Нет 73
совместимый
Инъекция Foscarnet sodium 24 mg/ml
Инъекция Cimetidine hydrochloride 150 mg/ml
Нет 73
совместимый
Инъекция Foscarnet sodium 24 mg/ml
Инъекция Clindamycin phosphate 24 mg/ml
Нет 73
совместимый
Инъекция Foscarnet sodium 24 mg/ml
Инъекция Clindamycin phosphate 12 mg/ml
Глюкоза 5% 1135
совместимый
Инъекция Foscarnet sodium 24 mg/ml
Инъекция Clindamycin phosphate 12 mg/ml
Натрия хлорид 0,9% 1135
Неопределенная несовместимость несовместимый
Инъекция Foscarnet sodium
Инъекция Co-trimoxazole
3662
совместимый
Инъекция Foscarnet sodium 24 mg/ml
Инъекция Co-trimoxazole 2,6/0,53 mg/ml
Глюкоза 5% 1135
Немедленные осадки несовместимый
Инъекция Foscarnet sodium 24 mg/ml
Инъекция Co-trimoxazole
Нет 73
совместимый
Инъекция Foscarnet sodium 24 mg/ml
Инъекция Defibrotide 8 mg/ml
Натрия хлорид 0,9% 3728
совместимый
Инъекция Foscarnet sodium 24 mg/ml
Инъекция Dexamethasone sodium phosphate 10 mg/ml
Нет 73
Производство пузырьков газа несовместимый
Инъекция Foscarnet sodium 24 mg/ml
Инъекция Diazepam 5 mg/ml
Нет 73
Производство пузырьков газа несовместимый
Инъекция Foscarnet sodium 24 mg/ml
Инъекция Digoxin 250 µg/ml
Нет 73
Немедленная мутность несовместимый
Инъекция Foscarnet sodium 24 mg/ml
Инъекция Diphenhydramine hydrochloride 50 mg/ml
Нет 73
Немедленные осадки несовместимый
Инъекция Foscarnet sodium 24 mg/ml
Инъекция Dobutamine hydrochloride 12.5 mg/ml
Нет 73
совместимый
Инъекция Foscarnet sodium 24 mg/ml
Инъекция Dopamine hydrochloride 80 mg/ml
Нет 73
совместимый
Инъекция Foscarnet sodium 24 mg/ml
Инъекция Doripenem 5 mg/ml
Глюкоза 5% 2262
совместимый
Инъекция Foscarnet sodium 24 mg/ml
Инъекция Doripenem 5 mg/ml
Натрия хлорид 0,9% 2262
Немедленные осадки несовместимый
Инъекция Foscarnet sodium 24 mg/ml
Инъекция Droperidol 2.5 mg/ml
Нет 73
совместимый
Инъекция Foscarnet sodium 24 mg/ml
Инъекция Erythromycin lactobionate 20 mg/ml
Натрия хлорид 0,9% 1135
совместимый
Инъекция Foscarnet sodium 24 mg/ml
Инъекция Erythromycin lactobionate 20 mg/ml
Нет 73
совместимый
Инъекция Foscarnet sodium 24 mg/ml
Инъекция Fluconazole 2 mg/ml
Натрия хлорид 0,9% 496
Немедленная мутность несовместимый
Инъекция Foscarnet sodium 24 mg/ml
Инъекция Folinate calcium 10 mg/ml
Нет 73
совместимый
Инъекция Foscarnet sodium 24 mg/ml
Инъекция Furosemide 10 mg/ml
Нет 73
Немедленные осадки несовместимый
Инъекция Foscarnet sodium 24 mg/ml
Инъекция Ganciclovir sodium 50 mg/ml
Нет 73
Неопределенная несовместимость несовместимый
Инъекция Foscarnet sodium
Инъекция Ganciclovir sodium
3662
совместимый
Инъекция Foscarnet sodium 24 mg/ml
Инъекция Gentamicin sulfate 4 mg/ml
Нет 73
совместимый
Инъекция Foscarnet sodium 24 mg/ml
Инъекция Gentamicin sulfate 2 mg/ml
Натрия хлорид 0,9% 1135
совместимый
Инъекция Foscarnet sodium 24 mg/ml
Инъекция Gentamicin sulfate 2 mg/ml
Глюкоза 5% 1135
Немедленные осадки несовместимый
Инъекция Foscarnet sodium 24 mg/ml
Инъекция Haloperidol lactate 5 mg/ml
Нет 73
совместимый
Инъекция Foscarnet sodium 24 mg/ml
Инъекция Heparin sodium 100 UI/ml
Натрия хлорид 0,9% 1135
совместимый
Инъекция Foscarnet sodium 24 mg/ml
Инъекция Heparin sodium 1000 UI/ml
Нет 73
совместимый
Инъекция Foscarnet sodium 24 mg/ml
Инъекция Heparin sodium 100 UI/ml
Глюкоза 5% 1135
совместимый
Инъекция Foscarnet sodium 24 mg/ml
Инъекция Hydrocortisone sodium succinate 50 mg/ml
Нет 73
совместимый
Инъекция Foscarnet sodium 24 mg/ml
Инъекция Hydromorphone hydrochloride 10 mg/ml
Нет 73
совместимый
Инъекция Foscarnet sodium 24 mg/ml
Инъекция Hydroxyzine dihydrochloride 50 mg/ml
Нет 73
совместимый
Инъекция Foscarnet sodium 24 mg/ml
Инъекция Imipenem - cilastatin sodium 5 mg/ml
Глюкоза 5% 1135
совместимый
Инъекция Foscarnet sodium 24 mg/ml
Инъекция Imipenem - cilastatin sodium 10 mg/ml
Нет 73
Неопределенная несовместимость несовместимый
Инъекция Foscarnet sodium
Инъекция Levofolinate calcium
3662
совместимый
Инъекция Foscarnet sodium 24 mg/ml
Инъекция Lorazepam 0,08 mg/ml
Натрия хлорид 0,9% 1135
совместимый
Инъекция Foscarnet sodium 24 mg/ml
Инъекция Lorazepam 0,08 mg/ml
Глюкоза 5% 1135
Производство пузырьков газа несовместимый
Инъекция Foscarnet sodium 24 mg/ml
Инъекция Lorazepam 4 mg/ml
Нет 73
совместимый
Инъекция Foscarnet sodium 24 mg/ml
Инъекция Meropenem 50 mg/ml
Вода для инъекций 4319
совместимый
Инъекция Foscarnet sodium 24 mg/ml
Инъекция Metoclopramide hydrochloride 2 mg/ml
Натрия хлорид 0,9% 1135
совместимый
Инъекция Foscarnet sodium 24 mg/ml
Инъекция Metoclopramide hydrochloride 4 mg/ml
Нет 73
совместимый
Инъекция Foscarnet sodium 24 mg/ml
Инъекция Metoclopramide hydrochloride 2 mg/ml
Глюкоза 5% 1135
совместимый
Инъекция Foscarnet sodium 24 mg/ml
Инъекция Metronidazole 5 mg/ml
Натрия хлорид 0,9% 1135
совместимый
Инъекция Foscarnet sodium 24 mg/ml
Инъекция Metronidazole 5 mg/ml
Нет 73
Производство пузырьков газа несовместимый
Инъекция Foscarnet sodium 24 mg/ml
Инъекция Midazolam hydrochloride 5 mg/ml
Нет 73
совместимый
Инъекция Foscarnet sodium 24 mg/ml
Инъекция Morphine sulfate 1 mg/ml
Натрия хлорид 0,9% 1135
совместимый
Инъекция Foscarnet sodium 24 mg/ml
Инъекция Morphine sulfate 15 mg/ml
Нет 64
совместимый
Инъекция Foscarnet sodium 24 mg/ml
Инъекция Morphine sulfate 5 mg/ml
Натрия хлорид 0,9% 64
совместимый
Инъекция Foscarnet sodium 24 mg/ml
Инъекция Morphine sulfate 1 mg/ml
Глюкоза 5% 1135
совместимый
Инъекция Foscarnet sodium 24 mg/ml
Инъекция Morphine sulfate 1 mg/ml
Нет 73
совместимый
Инъекция Foscarnet sodium 24 mg/ml
Инъекция Nafcillin sodium 20 mg/ml
Глюкоза 5% 1135
совместимый
Инъекция Foscarnet sodium 24 mg/ml
Инъекция Nafcillin sodium 20 mg/ml
Натрия хлорид 0,9% 1135
совместимый
Инъекция Foscarnet sodium 24 mg/ml
Инъекция Oxacillin sodium 40 mg/ml
Нет 73
совместимый
Инъекция Foscarnet sodium 24 mg/ml
Инъекция Oxacillin sodium 20 mg/ml
Глюкоза 5% 1135
Неопределенная несовместимость несовместимый
Инъекция Foscarnet sodium
Глюкоза 30% 3662
совместимый
Инъекция Foscarnet sodium 24 mg/ml
Инъекция Oxacillin sodium 20 mg/ml
Натрия хлорид 0,9% 1135
совместимый
Инъекция Foscarnet sodium 24 mg/ml
Инъекция Penicillin G potassium 0.1 MUI/ml
Нет 73
Немедленные осадки несовместимый
Инъекция Foscarnet sodium 24 mg/ml
Инъекция Pentamidine isetionate 6 mg/ml
Нет 73
Немедленные осадки несовместимый
Инъекция Foscarnet sodium 24 mg/ml
Инъекция Pentamidine isetionate 6 mg/ml
Глюкоза 5% 1135
Неопределенная несовместимость несовместимый
Инъекция Foscarnet sodium
Инъекция Pentamidine isetionate
3662
Немедленные осадки несовместимый
Инъекция Foscarnet sodium 24 mg/ml
Инъекция Pentamidine isetionate 6 mg/ml
Натрия хлорид 0,9% 1135
Немедленные осадки несовместимый
Инъекция Foscarnet sodium 24 mg/ml
Инъекция Phenytoin sodium 50 mg/ml
Нет 73
совместимый
Инъекция Foscarnet sodium 24 mg/ml
Инъекция Piperacillin sodium 80 mg/ml
Нет 73
Немедленная мутность несовместимый
Инъекция Foscarnet sodium 24 mg/ml
Инъекция Prochlorperazine edysilate 5 mg/ml
Нет 73
Производство пузырьков газа несовместимый
Инъекция Foscarnet sodium 24 mg/ml
Инъекция Promethazine hydrochloride 50 mg/ml
Нет 73
совместимый
Инъекция Foscarnet sodium 24 mg/ml
Инъекция Ranitidine hydrochloride 2 mg/ml
Натрия хлорид 0,9% 1135
совместимый
Инъекция Foscarnet sodium 24 mg/ml
Инъекция Ranitidine hydrochloride 2 mg/ml
Глюкоза 5% 1135
совместимый
Инъекция Foscarnet sodium 24 mg/ml
Инъекция Ticarcillin / clavulanic acid 100 mg/ml
Натрия хлорид 0,9% 1135
совместимый
Инъекция Foscarnet sodium 24 mg/ml
Инъекция Ticarcillin / clavulanic acid 100 mg/ml
Глюкоза 5% 1135
совместимый
Инъекция Foscarnet sodium 24 mg/ml
Инъекция Tobramycin sulfate 40 mg/ml
Нет 73
совместимый
Инъекция Foscarnet sodium 24 mg/ml
Инъекция Vancomycin hydrochloride 10 mg/ml
Натрия хлорид 0,9% 132
Неопределенная несовместимость несовместимый
Инъекция Foscarnet sodium
Инъекция Vancomycin hydrochloride
3662
совместимый
Инъекция Foscarnet sodium 24 mg/ml
Инъекция Vancomycin hydrochloride 15 mg/ml
Натрия хлорид 0,9% 1135
совместимый
Инъекция Foscarnet sodium 24 mg/ml
Инъекция Vancomycin hydrochloride 15 mg/ml
Глюкоза 5% 1135
Немедленные осадки несовместимый
Инъекция Foscarnet sodium 24 mg/ml
Инъекция Vancomycin hydrochloride 20 mg/ml
Нет 73

  Mentions Légales