Останнє оновлення :
27/04/2026
Противірусні ліки   Foscarnet sodium  
ін'єкція
Стійкість в розчинах Стійкість сумішей Фактори, що впливають на стабільність Сумісність Шлях введення Список літератури pdf
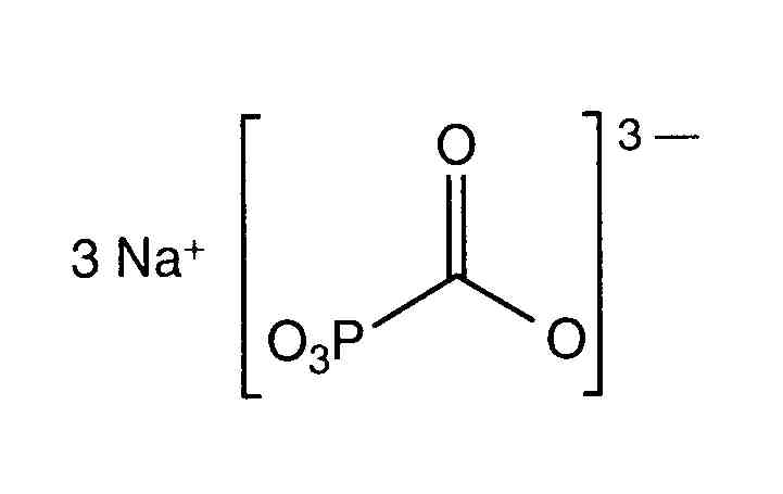
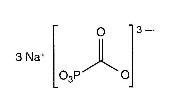
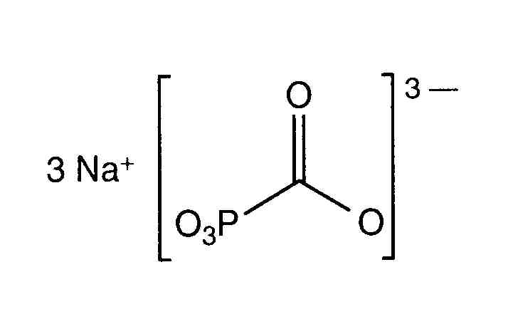
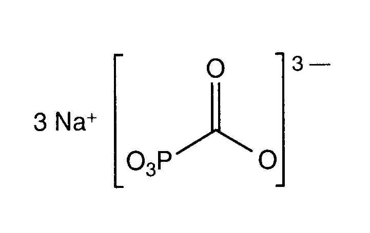
   Хімічна структура  

Торгова назва   Торгова назва     

Торгові назви є орієнтовними, а склад допоміжних речовин може бути різним залежно від країни та виробника

Foscarnet Іспанія, Аргентина, Еквадор, Колумбія, Мексика, Перу, Португалія, Сполучені Штати Америки, Чилі
Foscavir Іспанія, Італія, Австрія, Австралія, Бельгія, Великобританія, Греція, Люксембург, Нідерланди, Німеччина, Нова Зеландія, Сполучені Штати Америки, Угорщина, Франція, Швейцарія, Швеція
Сумісність   ін'єкція   Сумісність : Foscarnet sodium              
explication_incompatibilite_molecules
З'єднання Розчинник Список літератури
Неуточнена несумісність Несумісні
ін'єкція Foscarnet sodium
ін'єкція Aciclovir sodium
3595
Миттєві опади Несумісні
ін'єкція Foscarnet sodium 24 mg/ml
ін'єкція Aciclovir sodium 7 mg/ml
Глюкоза 5% 1135
Миттєві опади Несумісні
ін'єкція Foscarnet sodium 24 mg/ml
ін'єкція Aciclovir sodium 7 mg/ml
Натрію хлорид 0,9% 1135
Неуточнена несумісність Несумісні
ін'єкція Foscarnet sodium
ін'єкція Aciclovir sodium
3662
Миттєві опади Несумісні
ін'єкція Foscarnet sodium 24 mg/ml
ін'єкція Aciclovir sodium 10 mg/ml
Жодного 73
сумісний
ін'єкція Foscarnet sodium 24 mg/ml
ін'єкція Aldesleukin 0.0338 MUI/ml
Глюкоза 5% 36
сумісний
ін'єкція Foscarnet sodium 24 mg/ml
ін'єкція Amikacin sulfate 20 mg/ml
Жодного 73
сумісний
ін'єкція Foscarnet sodium 24 mg/ml
ін'єкція Aminophylline 25 mg/ml
Жодного 73
Негайне помутніння Несумісні
ін'єкція Foscarnet sodium 24 mg/ml
ін'єкція Amphotericin B 0.6 mg/ml
Глюкоза 5% 1135
Неуточнена несумісність Несумісні
ін'єкція Foscarnet sodium
ін'єкція Amphotericin B
3662
Миттєві опади Несумісні
ін'єкція Foscarnet sodium 24 mg/ml
ін'єкція Amphotericin B 5 mg/ml
Жодного 73
сумісний
ін'єкція Foscarnet sodium 24 mg/ml
ін'єкція Ampicillin sodium 20 mg/ml
Жодного 73
сумісний
ін'єкція Foscarnet sodium 24 mg/ml
ін'єкція Aztreonam 40 mg/ml
Натрію хлорид 0,9% 1135
сумісний
ін'єкція Foscarnet sodium 24 mg/ml
ін'єкція Aztreonam 40 mg/ml
Глюкоза 5% 1135
сумісний
ін'єкція Foscarnet sodium 24 mg/ml
ін'єкція Aztreonam 40 mg/ml
Жодного 73
Неуточнена несумісність Несумісні
ін'єкція Foscarnet sodium
ін'єкція Calcium chloride
3662
Неуточнена несумісність Несумісні
ін'єкція Foscarnet sodium
ін'єкція Calcium glucoheptonate
3662
Неуточнена несумісність Несумісні
ін'єкція Foscarnet sodium
ін'єкція Calcium gluconate
3662
сумісний
ін'єкція Foscarnet sodium 24 mg/ml
ін'єкція Cefazolin sodium 40 mg/ml
Жодного 73
сумісний
ін'єкція Foscarnet sodium 24 mg/ml
ін'єкція Cefoperazone sodium 40 mg/ml
Жодного 73
сумісний
ін'єкція Foscarnet sodium 24 mg/ml
ін'єкція Cefoxitin sodium 40 mg/ml
Жодного 73
сумісний
ін'єкція Foscarnet sodium 24 mg/ml
ін'єкція Ceftazidime 20 mg/ml
Глюкоза 5% 1135
сумісний
ін'єкція Foscarnet sodium 24 mg/ml
ін'єкція Ceftazidime 20 mg/ml
Жодного 73
сумісний
ін'єкція Foscarnet sodium 24 mg/ml
ін'єкція Ceftazidime 20 mg/ml
Натрію хлорид 0,9% 1135
сумісний
ін'єкція Foscarnet sodium
ін'єкція Ceftazidime
3883
сумісний
ін'єкція Foscarnet sodium 24 mg/ml
ін'єкція Ceftizoxime sodium 40 mg/ml
Жодного 73
сумісний
ін'єкція Foscarnet sodium 24 mg/ml
ін'єкція Ceftriaxone disodium 20 mg/ml
Глюкоза 5% 1135
сумісний
ін'єкція Foscarnet sodium 24 mg/ml
ін'єкція Ceftriaxone disodium 20 mg/ml
Натрію хлорид 0,9% 1135
сумісний
ін'єкція Foscarnet sodium 24 mg/ml
ін'єкція Cefuroxime sodium 30 mg/ml
Жодного 73
сумісний
ін'єкція Foscarnet sodium 24 mg/ml
ін'єкція Chloramphenicol sodium succinate 20 mg/ml
Жодного 73
сумісний
ін'єкція Foscarnet sodium 24 mg/ml
ін'єкція Cimetidine hydrochloride 150 mg/ml
Жодного 73
сумісний
ін'єкція Foscarnet sodium 24 mg/ml
ін'єкція Clindamycin phosphate 24 mg/ml
Жодного 73
сумісний
ін'єкція Foscarnet sodium 24 mg/ml
ін'єкція Clindamycin phosphate 12 mg/ml
Глюкоза 5% 1135
сумісний
ін'єкція Foscarnet sodium 24 mg/ml
ін'єкція Clindamycin phosphate 12 mg/ml
Натрію хлорид 0,9% 1135
Неуточнена несумісність Несумісні
ін'єкція Foscarnet sodium
ін'єкція Co-trimoxazole
3662
сумісний
ін'єкція Foscarnet sodium 24 mg/ml
ін'єкція Co-trimoxazole 2,6/0,53 mg/ml
Глюкоза 5% 1135
Миттєві опади Несумісні
ін'єкція Foscarnet sodium 24 mg/ml
ін'єкція Co-trimoxazole
Жодного 73
сумісний
ін'єкція Foscarnet sodium 24 mg/ml
ін'єкція Defibrotide 8 mg/ml
Натрію хлорид 0,9% 3728
сумісний
ін'єкція Foscarnet sodium 24 mg/ml
ін'єкція Dexamethasone sodium phosphate 10 mg/ml
Жодного 73
Виробництво бульбашок газу Несумісні
ін'єкція Foscarnet sodium 24 mg/ml
ін'єкція Diazepam 5 mg/ml
Жодного 73
Виробництво бульбашок газу Несумісні
ін'єкція Foscarnet sodium 24 mg/ml
ін'єкція Digoxin 250 µg/ml
Жодного 73
Негайне помутніння Несумісні
ін'єкція Foscarnet sodium 24 mg/ml
ін'єкція Diphenhydramine hydrochloride 50 mg/ml
Жодного 73
Миттєві опади Несумісні
ін'єкція Foscarnet sodium 24 mg/ml
ін'єкція Dobutamine hydrochloride 12.5 mg/ml
Жодного 73
сумісний
ін'єкція Foscarnet sodium 24 mg/ml
ін'єкція Dopamine hydrochloride 80 mg/ml
Жодного 73
сумісний
ін'єкція Foscarnet sodium 24 mg/ml
ін'єкція Doripenem 5 mg/ml
Глюкоза 5% 2262
сумісний
ін'єкція Foscarnet sodium 24 mg/ml
ін'єкція Doripenem 5 mg/ml
Натрію хлорид 0,9% 2262
Миттєві опади Несумісні
ін'єкція Foscarnet sodium 24 mg/ml
ін'єкція Droperidol 2.5 mg/ml
Жодного 73
сумісний
ін'єкція Foscarnet sodium 24 mg/ml
ін'єкція Erythromycin lactobionate 20 mg/ml
Натрію хлорид 0,9% 1135
сумісний
ін'єкція Foscarnet sodium 24 mg/ml
ін'єкція Erythromycin lactobionate 20 mg/ml
Жодного 73
сумісний
ін'єкція Foscarnet sodium 24 mg/ml
ін'єкція Fluconazole 2 mg/ml
Натрію хлорид 0,9% 496
Негайне помутніння Несумісні
ін'єкція Foscarnet sodium 24 mg/ml
ін'єкція Folinate calcium 10 mg/ml
Жодного 73
сумісний
ін'єкція Foscarnet sodium 24 mg/ml
ін'єкція Furosemide 10 mg/ml
Жодного 73
Миттєві опади Несумісні
ін'єкція Foscarnet sodium 24 mg/ml
ін'єкція Ganciclovir sodium 50 mg/ml
Жодного 73
Неуточнена несумісність Несумісні
ін'єкція Foscarnet sodium
ін'єкція Ganciclovir sodium
3662
сумісний
ін'єкція Foscarnet sodium 24 mg/ml
ін'єкція Gentamicin sulfate 4 mg/ml
Жодного 73
сумісний
ін'єкція Foscarnet sodium 24 mg/ml
ін'єкція Gentamicin sulfate 2 mg/ml
Натрію хлорид 0,9% 1135
сумісний
ін'єкція Foscarnet sodium 24 mg/ml
ін'єкція Gentamicin sulfate 2 mg/ml
Глюкоза 5% 1135
Миттєві опади Несумісні
ін'єкція Foscarnet sodium 24 mg/ml
ін'єкція Haloperidol lactate 5 mg/ml
Жодного 73
сумісний
ін'єкція Foscarnet sodium 24 mg/ml
ін'єкція Heparin sodium 100 UI/ml
Натрію хлорид 0,9% 1135
сумісний
ін'єкція Foscarnet sodium 24 mg/ml
ін'єкція Heparin sodium 1000 UI/ml
Жодного 73
сумісний
ін'єкція Foscarnet sodium 24 mg/ml
ін'єкція Heparin sodium 100 UI/ml
Глюкоза 5% 1135
сумісний
ін'єкція Foscarnet sodium 24 mg/ml
ін'єкція Hydrocortisone sodium succinate 50 mg/ml
Жодного 73
сумісний
ін'єкція Foscarnet sodium 24 mg/ml
ін'єкція Hydromorphone hydrochloride 10 mg/ml
Жодного 73
сумісний
ін'єкція Foscarnet sodium 24 mg/ml
ін'єкція Hydroxyzine dihydrochloride 50 mg/ml
Жодного 73
сумісний
ін'єкція Foscarnet sodium 24 mg/ml
ін'єкція Imipenem - cilastatin sodium 5 mg/ml
Глюкоза 5% 1135
сумісний
ін'єкція Foscarnet sodium 24 mg/ml
ін'єкція Imipenem - cilastatin sodium 10 mg/ml
Жодного 73
Неуточнена несумісність Несумісні
ін'єкція Foscarnet sodium
ін'єкція Levofolinate calcium
3662
сумісний
ін'єкція Foscarnet sodium 24 mg/ml
ін'єкція Lorazepam 0,08 mg/ml
Натрію хлорид 0,9% 1135
сумісний
ін'єкція Foscarnet sodium 24 mg/ml
ін'єкція Lorazepam 0,08 mg/ml
Глюкоза 5% 1135
Виробництво бульбашок газу Несумісні
ін'єкція Foscarnet sodium 24 mg/ml
ін'єкція Lorazepam 4 mg/ml
Жодного 73
сумісний
ін'єкція Foscarnet sodium 24 mg/ml
ін'єкція Meropenem 50 mg/ml
Вода для ін'єкцій 4319
сумісний
ін'єкція Foscarnet sodium 24 mg/ml
ін'єкція Metoclopramide hydrochloride 2 mg/ml
Натрію хлорид 0,9% 1135
сумісний
ін'єкція Foscarnet sodium 24 mg/ml
ін'єкція Metoclopramide hydrochloride 4 mg/ml
Жодного 73
сумісний
ін'єкція Foscarnet sodium 24 mg/ml
ін'єкція Metoclopramide hydrochloride 2 mg/ml
Глюкоза 5% 1135
сумісний
ін'єкція Foscarnet sodium 24 mg/ml
ін'єкція Metronidazole 5 mg/ml
Натрію хлорид 0,9% 1135
сумісний
ін'єкція Foscarnet sodium 24 mg/ml
ін'єкція Metronidazole 5 mg/ml
Жодного 73
Виробництво бульбашок газу Несумісні
ін'єкція Foscarnet sodium 24 mg/ml
ін'єкція Midazolam hydrochloride 5 mg/ml
Жодного 73
сумісний
ін'єкція Foscarnet sodium 24 mg/ml
ін'єкція Morphine sulfate 1 mg/ml
Натрію хлорид 0,9% 1135
сумісний
ін'єкція Foscarnet sodium 24 mg/ml
ін'єкція Morphine sulfate 15 mg/ml
Жодного 64
сумісний
ін'єкція Foscarnet sodium 24 mg/ml
ін'єкція Morphine sulfate 5 mg/ml
Натрію хлорид 0,9% 64
сумісний
ін'єкція Foscarnet sodium 24 mg/ml
ін'єкція Morphine sulfate 1 mg/ml
Глюкоза 5% 1135
сумісний
ін'єкція Foscarnet sodium 24 mg/ml
ін'єкція Morphine sulfate 1 mg/ml
Жодного 73
сумісний
ін'єкція Foscarnet sodium 24 mg/ml
ін'єкція Nafcillin sodium 20 mg/ml
Глюкоза 5% 1135
сумісний
ін'єкція Foscarnet sodium 24 mg/ml
ін'єкція Nafcillin sodium 20 mg/ml
Натрію хлорид 0,9% 1135
сумісний
ін'єкція Foscarnet sodium 24 mg/ml
ін'єкція Oxacillin sodium 40 mg/ml
Жодного 73
сумісний
ін'єкція Foscarnet sodium 24 mg/ml
ін'єкція Oxacillin sodium 20 mg/ml
Глюкоза 5% 1135
Неуточнена несумісність Несумісні
ін'єкція Foscarnet sodium
Глюкоза 30% 3662
сумісний
ін'єкція Foscarnet sodium 24 mg/ml
ін'єкція Oxacillin sodium 20 mg/ml
Натрію хлорид 0,9% 1135
сумісний
ін'єкція Foscarnet sodium 24 mg/ml
ін'єкція Penicillin G potassium 0.1 MUI/ml
Жодного 73
Миттєві опади Несумісні
ін'єкція Foscarnet sodium 24 mg/ml
ін'єкція Pentamidine isetionate 6 mg/ml
Жодного 73
Миттєві опади Несумісні
ін'єкція Foscarnet sodium 24 mg/ml
ін'єкція Pentamidine isetionate 6 mg/ml
Глюкоза 5% 1135
Неуточнена несумісність Несумісні
ін'єкція Foscarnet sodium
ін'єкція Pentamidine isetionate
3662
Миттєві опади Несумісні
ін'єкція Foscarnet sodium 24 mg/ml
ін'єкція Pentamidine isetionate 6 mg/ml
Натрію хлорид 0,9% 1135
Миттєві опади Несумісні
ін'єкція Foscarnet sodium 24 mg/ml
ін'єкція Phenytoin sodium 50 mg/ml
Жодного 73
сумісний
ін'єкція Foscarnet sodium 24 mg/ml
ін'єкція Piperacillin sodium 80 mg/ml
Жодного 73
Негайне помутніння Несумісні
ін'єкція Foscarnet sodium 24 mg/ml
ін'єкція Prochlorperazine edysilate 5 mg/ml
Жодного 73
Виробництво бульбашок газу Несумісні
ін'єкція Foscarnet sodium 24 mg/ml
ін'єкція Promethazine hydrochloride 50 mg/ml
Жодного 73
сумісний
ін'єкція Foscarnet sodium 24 mg/ml
ін'єкція Ranitidine hydrochloride 2 mg/ml
Натрію хлорид 0,9% 1135
сумісний
ін'єкція Foscarnet sodium 24 mg/ml
ін'єкція Ranitidine hydrochloride 2 mg/ml
Глюкоза 5% 1135
сумісний
ін'єкція Foscarnet sodium 24 mg/ml
ін'єкція Ticarcillin / clavulanic acid 100 mg/ml
Натрію хлорид 0,9% 1135
сумісний
ін'єкція Foscarnet sodium 24 mg/ml
ін'єкція Ticarcillin / clavulanic acid 100 mg/ml
Глюкоза 5% 1135
сумісний
ін'єкція Foscarnet sodium 24 mg/ml
ін'єкція Tobramycin sulfate 40 mg/ml
Жодного 73
сумісний
ін'єкція Foscarnet sodium 24 mg/ml
ін'єкція Vancomycin hydrochloride 10 mg/ml
Натрію хлорид 0,9% 132
Неуточнена несумісність Несумісні
ін'єкція Foscarnet sodium
ін'єкція Vancomycin hydrochloride
3662
сумісний
ін'єкція Foscarnet sodium 24 mg/ml
ін'єкція Vancomycin hydrochloride 15 mg/ml
Натрію хлорид 0,9% 1135
сумісний
ін'єкція Foscarnet sodium 24 mg/ml
ін'єкція Vancomycin hydrochloride 15 mg/ml
Глюкоза 5% 1135
Миттєві опади Несумісні
ін'єкція Foscarnet sodium 24 mg/ml
ін'єкція Vancomycin hydrochloride 20 mg/ml
Жодного 73

  Mentions Légales