آخر تحديث :
27/04/2026
المضادة للفيروسات   Foscarnet sodium  
حقن
الاستقرار في حلول استقرار مخاليط العوامل التي تؤثر على الاستقرار التوافق طريقة التعاطي مراجع pdf
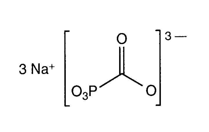
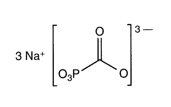
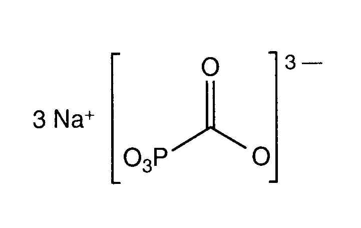
   التركيب الكيميائي  

حجز الاسم التجاري   حجز الاسم التجاري     

تحذير الأسماء التجاريه المختلفه قد تحتوي علي محتوي إضافات مختلفة حسب الدوله و المعمل

Foscarnet إسبانيا, الأرجنتين, الإكوادور, البرتغال, المكسيك, الولايات المتحدة, بيرو, تشيلي, كولومبيا
Foscavir أستراليا, ألمانيا, إسبانيا, إيطاليا, السويد, النمسا, الولايات المتحدة, بريطانيا العظمي, بلجيكا, زيلاندا الجديدة, سويسرا, فرنسا, لوكسمبورغ, هنغاريا, هولندا, يونان
التوافق   حقن   التوافق : Foscarnet sodium              
This screen indicates the compatibilities or incompatibilities with, in this case, the type of incompatibility (precipitation, color change, modification of an emulsion, etc.). The compatibilities shown here are mostly physical only, with the chemical stability of each molecule rarely being assessed. The evaluation of these mixtures was studied to consider the possibility of Y-site administration to the patient. These data cannot be used for making mixtures in advance in bags or syringes. This type of information is available in the screen "Stability in mixture ».
مركب مذيب مراجع
عدم توافق غير محدد غير متوافق
حقن Foscarnet sodium
حقن Aciclovir sodium
3595
هطول فوري غير متوافق
حقن Foscarnet sodium 24 mg/ml
حقن Aciclovir sodium 7 mg/ml
الجلوكوز %5 1135
هطول فوري غير متوافق
حقن Foscarnet sodium 24 mg/ml
حقن Aciclovir sodium 7 mg/ml
كلوريد الصوديوم 0.9% 1135
عدم توافق غير محدد غير متوافق
حقن Foscarnet sodium
حقن Aciclovir sodium
3662
هطول فوري غير متوافق
حقن Foscarnet sodium 24 mg/ml
حقن Aciclovir sodium 10 mg/ml
لا شيء 73
kompatibel
حقن Foscarnet sodium 24 mg/ml
حقن Aldesleukin 0.0338 MUI/ml
الجلوكوز %5 36
kompatibel
حقن Foscarnet sodium 24 mg/ml
حقن Amikacin sulfate 20 mg/ml
لا شيء 73
kompatibel
حقن Foscarnet sodium 24 mg/ml
حقن Aminophylline 25 mg/ml
لا شيء 73
التعكر الفوري غير متوافق
حقن Foscarnet sodium 24 mg/ml
حقن Amphotericin B 0.6 mg/ml
الجلوكوز %5 1135
عدم توافق غير محدد غير متوافق
حقن Foscarnet sodium
حقن Amphotericin B
3662
هطول فوري غير متوافق
حقن Foscarnet sodium 24 mg/ml
حقن Amphotericin B 5 mg/ml
لا شيء 73
kompatibel
حقن Foscarnet sodium 24 mg/ml
حقن Ampicillin sodium 20 mg/ml
لا شيء 73
kompatibel
حقن Foscarnet sodium 24 mg/ml
حقن Aztreonam 40 mg/ml
كلوريد الصوديوم 0.9% 1135
kompatibel
حقن Foscarnet sodium 24 mg/ml
حقن Aztreonam 40 mg/ml
الجلوكوز %5 1135
kompatibel
حقن Foscarnet sodium 24 mg/ml
حقن Aztreonam 40 mg/ml
لا شيء 73
عدم توافق غير محدد غير متوافق
حقن Foscarnet sodium
حقن Calcium chloride
3662
عدم توافق غير محدد غير متوافق
حقن Foscarnet sodium
حقن Calcium glucoheptonate
3662
عدم توافق غير محدد غير متوافق
حقن Foscarnet sodium
حقن Calcium gluconate
3662
kompatibel
حقن Foscarnet sodium 24 mg/ml
حقن Cefazolin sodium 40 mg/ml
لا شيء 73
kompatibel
حقن Foscarnet sodium 24 mg/ml
حقن Cefoperazone sodium 40 mg/ml
لا شيء 73
kompatibel
حقن Foscarnet sodium 24 mg/ml
حقن Cefoxitin sodium 40 mg/ml
لا شيء 73
kompatibel
حقن Foscarnet sodium 24 mg/ml
حقن Ceftazidime 20 mg/ml
الجلوكوز %5 1135
kompatibel
حقن Foscarnet sodium 24 mg/ml
حقن Ceftazidime 20 mg/ml
لا شيء 73
kompatibel
حقن Foscarnet sodium 24 mg/ml
حقن Ceftazidime 20 mg/ml
كلوريد الصوديوم 0.9% 1135
kompatibel
حقن Foscarnet sodium
حقن Ceftazidime
3883
kompatibel
حقن Foscarnet sodium 24 mg/ml
حقن Ceftizoxime sodium 40 mg/ml
لا شيء 73
kompatibel
حقن Foscarnet sodium 24 mg/ml
حقن Ceftriaxone disodium 20 mg/ml
الجلوكوز %5 1135
kompatibel
حقن Foscarnet sodium 24 mg/ml
حقن Ceftriaxone disodium 20 mg/ml
كلوريد الصوديوم 0.9% 1135
kompatibel
حقن Foscarnet sodium 24 mg/ml
حقن Cefuroxime sodium 30 mg/ml
لا شيء 73
kompatibel
حقن Foscarnet sodium 24 mg/ml
حقن Chloramphenicol sodium succinate 20 mg/ml
لا شيء 73
kompatibel
حقن Foscarnet sodium 24 mg/ml
حقن Cimetidine hydrochloride 150 mg/ml
لا شيء 73
kompatibel
حقن Foscarnet sodium 24 mg/ml
حقن Clindamycin phosphate 24 mg/ml
لا شيء 73
kompatibel
حقن Foscarnet sodium 24 mg/ml
حقن Clindamycin phosphate 12 mg/ml
الجلوكوز %5 1135
kompatibel
حقن Foscarnet sodium 24 mg/ml
حقن Clindamycin phosphate 12 mg/ml
كلوريد الصوديوم 0.9% 1135
عدم توافق غير محدد غير متوافق
حقن Foscarnet sodium
حقن Co-trimoxazole
3662
kompatibel
حقن Foscarnet sodium 24 mg/ml
حقن Co-trimoxazole 2,6/0,53 mg/ml
الجلوكوز %5 1135
هطول فوري غير متوافق
حقن Foscarnet sodium 24 mg/ml
حقن Co-trimoxazole
لا شيء 73
kompatibel
حقن Foscarnet sodium 24 mg/ml
حقن Defibrotide 8 mg/ml
كلوريد الصوديوم 0.9% 3728
kompatibel
حقن Foscarnet sodium 24 mg/ml
حقن Dexamethasone sodium phosphate 10 mg/ml
لا شيء 73
إنتاج فقاعات الغاز غير متوافق
حقن Foscarnet sodium 24 mg/ml
حقن Diazepam 5 mg/ml
لا شيء 73
إنتاج فقاعات الغاز غير متوافق
حقن Foscarnet sodium 24 mg/ml
حقن Digoxin 250 µg/ml
لا شيء 73
التعكر الفوري غير متوافق
حقن Foscarnet sodium 24 mg/ml
حقن Diphenhydramine hydrochloride 50 mg/ml
لا شيء 73
هطول فوري غير متوافق
حقن Foscarnet sodium 24 mg/ml
حقن Dobutamine hydrochloride 12.5 mg/ml
لا شيء 73
kompatibel
حقن Foscarnet sodium 24 mg/ml
حقن Dopamine hydrochloride 80 mg/ml
لا شيء 73
kompatibel
حقن Foscarnet sodium 24 mg/ml
حقن Doripenem 5 mg/ml
الجلوكوز %5 2262
kompatibel
حقن Foscarnet sodium 24 mg/ml
حقن Doripenem 5 mg/ml
كلوريد الصوديوم 0.9% 2262
هطول فوري غير متوافق
حقن Foscarnet sodium 24 mg/ml
حقن Droperidol 2.5 mg/ml
لا شيء 73
kompatibel
حقن Foscarnet sodium 24 mg/ml
حقن Erythromycin lactobionate 20 mg/ml
كلوريد الصوديوم 0.9% 1135
kompatibel
حقن Foscarnet sodium 24 mg/ml
حقن Erythromycin lactobionate 20 mg/ml
لا شيء 73
kompatibel
حقن Foscarnet sodium 24 mg/ml
حقن Fluconazole 2 mg/ml
كلوريد الصوديوم 0.9% 496
التعكر الفوري غير متوافق
حقن Foscarnet sodium 24 mg/ml
حقن Folinate calcium 10 mg/ml
لا شيء 73
kompatibel
حقن Foscarnet sodium 24 mg/ml
حقن Furosemide 10 mg/ml
لا شيء 73
هطول فوري غير متوافق
حقن Foscarnet sodium 24 mg/ml
حقن Ganciclovir sodium 50 mg/ml
لا شيء 73
عدم توافق غير محدد غير متوافق
حقن Foscarnet sodium
حقن Ganciclovir sodium
3662
kompatibel
حقن Foscarnet sodium 24 mg/ml
حقن Gentamicin sulfate 4 mg/ml
لا شيء 73
kompatibel
حقن Foscarnet sodium 24 mg/ml
حقن Gentamicin sulfate 2 mg/ml
كلوريد الصوديوم 0.9% 1135
kompatibel
حقن Foscarnet sodium 24 mg/ml
حقن Gentamicin sulfate 2 mg/ml
الجلوكوز %5 1135
هطول فوري غير متوافق
حقن Foscarnet sodium 24 mg/ml
حقن Haloperidol lactate 5 mg/ml
لا شيء 73
kompatibel
حقن Foscarnet sodium 24 mg/ml
حقن Heparin sodium 100 UI/ml
كلوريد الصوديوم 0.9% 1135
kompatibel
حقن Foscarnet sodium 24 mg/ml
حقن Heparin sodium 1000 UI/ml
لا شيء 73
kompatibel
حقن Foscarnet sodium 24 mg/ml
حقن Heparin sodium 100 UI/ml
الجلوكوز %5 1135
kompatibel
حقن Foscarnet sodium 24 mg/ml
حقن Hydrocortisone sodium succinate 50 mg/ml
لا شيء 73
kompatibel
حقن Foscarnet sodium 24 mg/ml
حقن Hydromorphone hydrochloride 10 mg/ml
لا شيء 73
kompatibel
حقن Foscarnet sodium 24 mg/ml
حقن Hydroxyzine dihydrochloride 50 mg/ml
لا شيء 73
kompatibel
حقن Foscarnet sodium 24 mg/ml
حقن Imipenem - cilastatin sodium 5 mg/ml
الجلوكوز %5 1135
kompatibel
حقن Foscarnet sodium 24 mg/ml
حقن Imipenem - cilastatin sodium 10 mg/ml
لا شيء 73
عدم توافق غير محدد غير متوافق
حقن Foscarnet sodium
حقن Levofolinate calcium
3662
kompatibel
حقن Foscarnet sodium 24 mg/ml
حقن Lorazepam 0,08 mg/ml
كلوريد الصوديوم 0.9% 1135
kompatibel
حقن Foscarnet sodium 24 mg/ml
حقن Lorazepam 0,08 mg/ml
الجلوكوز %5 1135
إنتاج فقاعات الغاز غير متوافق
حقن Foscarnet sodium 24 mg/ml
حقن Lorazepam 4 mg/ml
لا شيء 73
kompatibel
حقن Foscarnet sodium 24 mg/ml
حقن Meropenem 50 mg/ml
حقن المياه لل 4319
kompatibel
حقن Foscarnet sodium 24 mg/ml
حقن Metoclopramide hydrochloride 2 mg/ml
كلوريد الصوديوم 0.9% 1135
kompatibel
حقن Foscarnet sodium 24 mg/ml
حقن Metoclopramide hydrochloride 4 mg/ml
لا شيء 73
kompatibel
حقن Foscarnet sodium 24 mg/ml
حقن Metoclopramide hydrochloride 2 mg/ml
الجلوكوز %5 1135
kompatibel
حقن Foscarnet sodium 24 mg/ml
حقن Metronidazole 5 mg/ml
كلوريد الصوديوم 0.9% 1135
kompatibel
حقن Foscarnet sodium 24 mg/ml
حقن Metronidazole 5 mg/ml
لا شيء 73
إنتاج فقاعات الغاز غير متوافق
حقن Foscarnet sodium 24 mg/ml
حقن Midazolam hydrochloride 5 mg/ml
لا شيء 73
kompatibel
حقن Foscarnet sodium 24 mg/ml
حقن Morphine sulfate 1 mg/ml
كلوريد الصوديوم 0.9% 1135
kompatibel
حقن Foscarnet sodium 24 mg/ml
حقن Morphine sulfate 15 mg/ml
لا شيء 64
kompatibel
حقن Foscarnet sodium 24 mg/ml
حقن Morphine sulfate 5 mg/ml
كلوريد الصوديوم 0.9% 64
kompatibel
حقن Foscarnet sodium 24 mg/ml
حقن Morphine sulfate 1 mg/ml
الجلوكوز %5 1135
kompatibel
حقن Foscarnet sodium 24 mg/ml
حقن Morphine sulfate 1 mg/ml
لا شيء 73
kompatibel
حقن Foscarnet sodium 24 mg/ml
حقن Nafcillin sodium 20 mg/ml
الجلوكوز %5 1135
kompatibel
حقن Foscarnet sodium 24 mg/ml
حقن Nafcillin sodium 20 mg/ml
كلوريد الصوديوم 0.9% 1135
kompatibel
حقن Foscarnet sodium 24 mg/ml
حقن Oxacillin sodium 40 mg/ml
لا شيء 73
kompatibel
حقن Foscarnet sodium 24 mg/ml
حقن Oxacillin sodium 20 mg/ml
الجلوكوز %5 1135
عدم توافق غير محدد غير متوافق
حقن Foscarnet sodium
الجلوكوز %30 3662
kompatibel
حقن Foscarnet sodium 24 mg/ml
حقن Oxacillin sodium 20 mg/ml
كلوريد الصوديوم 0.9% 1135
kompatibel
حقن Foscarnet sodium 24 mg/ml
حقن Penicillin G potassium 0.1 MUI/ml
لا شيء 73
هطول فوري غير متوافق
حقن Foscarnet sodium 24 mg/ml
حقن Pentamidine isetionate 6 mg/ml
لا شيء 73
هطول فوري غير متوافق
حقن Foscarnet sodium 24 mg/ml
حقن Pentamidine isetionate 6 mg/ml
الجلوكوز %5 1135
عدم توافق غير محدد غير متوافق
حقن Foscarnet sodium
حقن Pentamidine isetionate
3662
هطول فوري غير متوافق
حقن Foscarnet sodium 24 mg/ml
حقن Pentamidine isetionate 6 mg/ml
كلوريد الصوديوم 0.9% 1135
هطول فوري غير متوافق
حقن Foscarnet sodium 24 mg/ml
حقن Phenytoin sodium 50 mg/ml
لا شيء 73
kompatibel
حقن Foscarnet sodium 24 mg/ml
حقن Piperacillin sodium 80 mg/ml
لا شيء 73
التعكر الفوري غير متوافق
حقن Foscarnet sodium 24 mg/ml
حقن Prochlorperazine edysilate 5 mg/ml
لا شيء 73
إنتاج فقاعات الغاز غير متوافق
حقن Foscarnet sodium 24 mg/ml
حقن Promethazine hydrochloride 50 mg/ml
لا شيء 73
kompatibel
حقن Foscarnet sodium 24 mg/ml
حقن Ranitidine hydrochloride 2 mg/ml
كلوريد الصوديوم 0.9% 1135
kompatibel
حقن Foscarnet sodium 24 mg/ml
حقن Ranitidine hydrochloride 2 mg/ml
الجلوكوز %5 1135
kompatibel
حقن Foscarnet sodium 24 mg/ml
حقن Ticarcillin / clavulanic acid 100 mg/ml
كلوريد الصوديوم 0.9% 1135
kompatibel
حقن Foscarnet sodium 24 mg/ml
حقن Ticarcillin / clavulanic acid 100 mg/ml
الجلوكوز %5 1135
kompatibel
حقن Foscarnet sodium 24 mg/ml
حقن Tobramycin sulfate 40 mg/ml
لا شيء 73
kompatibel
حقن Foscarnet sodium 24 mg/ml
حقن Vancomycin hydrochloride 10 mg/ml
كلوريد الصوديوم 0.9% 132
عدم توافق غير محدد غير متوافق
حقن Foscarnet sodium
حقن Vancomycin hydrochloride
3662
kompatibel
حقن Foscarnet sodium 24 mg/ml
حقن Vancomycin hydrochloride 15 mg/ml
كلوريد الصوديوم 0.9% 1135
kompatibel
حقن Foscarnet sodium 24 mg/ml
حقن Vancomycin hydrochloride 15 mg/ml
الجلوكوز %5 1135
هطول فوري غير متوافق
حقن Foscarnet sodium 24 mg/ml
حقن Vancomycin hydrochloride 20 mg/ml
لا شيء 73

  Mentions Légales