Последнее обновление :
17/12/2025
Противовирусное средство   Foscarnet sodium  
Инъекция
Стабильность растворов Стабильность смесей Факторы, которые влияют на стабильность Совместимость Способы введения Библиография pdf
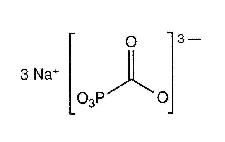
   Химическая структура  

Товарное название   Товарное название     

Trade names are indicative and excipients composition can be different depending on the country and manufacturers

Foscarnet Аргентина, Испания, Колумбия, Мексика, Перу, Португалия, Соединённые Штаты Америки, чили, Эквадор
Foscavir Австралия, Австрия, Бельгия, Великобритания, Венгрия, Германия, Голландия, Греция, Испания, Италия, Люксембург, новая Зеландия, Соединённые Штаты Америки, Франция, Швейцария, Швеция
Стабильность растворов   Инъекция   Стабильность растворов : Foscarnet sodium     
Упаковка Растворитель Концентрация Температура Хранение Продолжительность стабильности Ссылки
Поливинилхлорид Натрия хлорид 0,9% 12 mg/ml 25°C И на свету и в темноте
30 День
2
Уровень доказательности C

Поливинилхлорид Натрия хлорид 0,9% 12 mg/ml 25°C Не указано
35 День
75
Уровень доказательности C

Поливинилхлорид Натрия хлорид 0,9% 12 mg/ml 5°C Защищён от света
30 День
2
Уровень доказательности C

Поливинилхлорид Натрия хлорид 0,9% 12 mg/ml 5°C Защищён от света
35 День
75
Уровень доказательности C

Поливинилхлорид Глюкоза 5% 12 mg/ml 25°C Не указано
35 День
75
Уровень доказательности C

Поливинилхлорид Глюкоза 5% 12 mg/ml 5°C Защищён от света
35 День
75
Уровень доказательности C

Полиизопреновый эластомер Натрия хлорид 0,9% 2 & 20 mg/ml 25°C Не указано
4 День
604
Данные по стабльности от изготовителя

Полиизопреновый эластомер Натрия хлорид 0,9% 2 & 20 mg/ml 4°C Защищён от света
14 День
604
Данные по стабльности от изготовителя

Полиизопреновый эластомер Глюкоза 5% 2 & 20 mg/ml 25°C Не указано
4 День
604
Данные по стабльности от изготовителя

Полиизопреновый эластомер Глюкоза 5% 2 & 20 mg/ml 4°C Защищён от света
14 День
604
Данные по стабльности от изготовителя


  Mentions Légales