viimane versioon :
27/04/2026
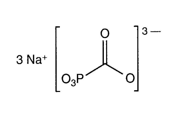
Viirusevastane ravim   Foscarnet sodium  
Süsteravim
Stabiilsus lahustes Stabiilsust mõjutavad tegurid stabiilsust mõjutavad faktorid Sobimatus Manustamis viis Viited pdf
   keemiline struktuur  

Kaubanduslikud nimed erinevates maades   Kaubanduslikud nimed erinevates maades     

Preparaatide nimed on näitlikud ja abianete sisaldus võib erineda sõltuvalt riigist ja laborist

Foscarnet Ameerika ühendriigid, Argentiina, Ecuador, Hispaania, Kolumbia, Maroko, Mehhiko, Portugal, Tšiili
Foscavir Ameerika ühendriigid, Austraalia, Austria, Belgia, Hispaania, Holland, Itaalia, Kreeka, Luksemburg, Prantsusmaa, Rootsi, Saksamaa, Suurbritannia, Sveits, Ungari, uus-Meremaa
Sobimatus   Süsteravim   Sobimatus : Foscarnet sodium              
Sellel lehel kuvatakse sobimatusi ja sobimatuse tüüpi (sadenemine, värvuse muutus, emulsiooni modifitseerumine jne). Enamasti on siin lehel kuvatud füüsikalised sobimatused, kuna molekulide keemilist stabiilsust hinnatakse harva. Hinnatud on segude sobivust Y-liinis. Antud infot ei saa kasutada ravimite sobivuse hindamiseks juhul, kui ravimid on segatud süstaldes või infusioonikottides. See info on lehel « stabiilsus segudes ».
ingredient lahusti Viited
Täpsustamata sobimatus Sobimatu
Süsteravim Foscarnet sodium
Süsteravim Aciclovir sodium
3595
Kohene sade Sobimatu
Süsteravim Foscarnet sodium 24 mg/ml
Süsteravim Aciclovir sodium 7 mg/ml
glükoos 5% 1135
Kohene sade Sobimatu
Süsteravim Foscarnet sodium 24 mg/ml
Süsteravim Aciclovir sodium 7 mg/ml
naatriumkloriid 0.9% 1135
Täpsustamata sobimatus Sobimatu
Süsteravim Foscarnet sodium
Süsteravim Aciclovir sodium
3662
Kohene sade Sobimatu
Süsteravim Foscarnet sodium 24 mg/ml
Süsteravim Aciclovir sodium 10 mg/ml
mitte ükski 73
Ühilduv
Süsteravim Foscarnet sodium 24 mg/ml
Süsteravim Aldesleukin 0.0338 MUI/ml
glükoos 5% 36
Ühilduv
Süsteravim Foscarnet sodium 24 mg/ml
Süsteravim Amikacin sulfate 20 mg/ml
mitte ükski 73
Ühilduv
Süsteravim Foscarnet sodium 24 mg/ml
Süsteravim Aminophylline 25 mg/ml
mitte ükski 73
Kohene hägusus Sobimatu
Süsteravim Foscarnet sodium 24 mg/ml
Süsteravim Amphotericin B 0.6 mg/ml
glükoos 5% 1135
Täpsustamata sobimatus Sobimatu
Süsteravim Foscarnet sodium
Süsteravim Amphotericin B
3662
Kohene sade Sobimatu
Süsteravim Foscarnet sodium 24 mg/ml
Süsteravim Amphotericin B 5 mg/ml
mitte ükski 73
Ühilduv
Süsteravim Foscarnet sodium 24 mg/ml
Süsteravim Ampicillin sodium 20 mg/ml
mitte ükski 73
Ühilduv
Süsteravim Foscarnet sodium 24 mg/ml
Süsteravim Aztreonam 40 mg/ml
naatriumkloriid 0.9% 1135
Ühilduv
Süsteravim Foscarnet sodium 24 mg/ml
Süsteravim Aztreonam 40 mg/ml
glükoos 5% 1135
Ühilduv
Süsteravim Foscarnet sodium 24 mg/ml
Süsteravim Aztreonam 40 mg/ml
mitte ükski 73
Täpsustamata sobimatus Sobimatu
Süsteravim Foscarnet sodium
Süsteravim Calcium chloride
3662
Täpsustamata sobimatus Sobimatu
Süsteravim Foscarnet sodium
Süsteravim Calcium glucoheptonate
3662
Täpsustamata sobimatus Sobimatu
Süsteravim Foscarnet sodium
Süsteravim Calcium gluconate
3662
Ühilduv
Süsteravim Foscarnet sodium 24 mg/ml
Süsteravim Cefazolin sodium 40 mg/ml
mitte ükski 73
Ühilduv
Süsteravim Foscarnet sodium 24 mg/ml
Süsteravim Cefoperazone sodium 40 mg/ml
mitte ükski 73
Ühilduv
Süsteravim Foscarnet sodium 24 mg/ml
Süsteravim Cefoxitin sodium 40 mg/ml
mitte ükski 73
Ühilduv
Süsteravim Foscarnet sodium 24 mg/ml
Süsteravim Ceftazidime 20 mg/ml
glükoos 5% 1135
Ühilduv
Süsteravim Foscarnet sodium 24 mg/ml
Süsteravim Ceftazidime 20 mg/ml
mitte ükski 73
Ühilduv
Süsteravim Foscarnet sodium 24 mg/ml
Süsteravim Ceftazidime 20 mg/ml
naatriumkloriid 0.9% 1135
Ühilduv
Süsteravim Foscarnet sodium
Süsteravim Ceftazidime
3883
Ühilduv
Süsteravim Foscarnet sodium 24 mg/ml
Süsteravim Ceftizoxime sodium 40 mg/ml
mitte ükski 73
Ühilduv
Süsteravim Foscarnet sodium 24 mg/ml
Süsteravim Ceftriaxone disodium 20 mg/ml
glükoos 5% 1135
Ühilduv
Süsteravim Foscarnet sodium 24 mg/ml
Süsteravim Ceftriaxone disodium 20 mg/ml
naatriumkloriid 0.9% 1135
Ühilduv
Süsteravim Foscarnet sodium 24 mg/ml
Süsteravim Cefuroxime sodium 30 mg/ml
mitte ükski 73
Ühilduv
Süsteravim Foscarnet sodium 24 mg/ml
Süsteravim Chloramphenicol sodium succinate 20 mg/ml
mitte ükski 73
Ühilduv
Süsteravim Foscarnet sodium 24 mg/ml
Süsteravim Cimetidine hydrochloride 150 mg/ml
mitte ükski 73
Ühilduv
Süsteravim Foscarnet sodium 24 mg/ml
Süsteravim Clindamycin phosphate 24 mg/ml
mitte ükski 73
Ühilduv
Süsteravim Foscarnet sodium 24 mg/ml
Süsteravim Clindamycin phosphate 12 mg/ml
glükoos 5% 1135
Ühilduv
Süsteravim Foscarnet sodium 24 mg/ml
Süsteravim Clindamycin phosphate 12 mg/ml
naatriumkloriid 0.9% 1135
Täpsustamata sobimatus Sobimatu
Süsteravim Foscarnet sodium
Süsteravim Co-trimoxazole
3662
Ühilduv
Süsteravim Foscarnet sodium 24 mg/ml
Süsteravim Co-trimoxazole 2,6/0,53 mg/ml
glükoos 5% 1135
Kohene sade Sobimatu
Süsteravim Foscarnet sodium 24 mg/ml
Süsteravim Co-trimoxazole
mitte ükski 73
Ühilduv
Süsteravim Foscarnet sodium 24 mg/ml
Süsteravim Defibrotide 8 mg/ml
naatriumkloriid 0.9% 3728
Ühilduv
Süsteravim Foscarnet sodium 24 mg/ml
Süsteravim Dexamethasone sodium phosphate 10 mg/ml
mitte ükski 73
Gaasimullide tootmine Sobimatu
Süsteravim Foscarnet sodium 24 mg/ml
Süsteravim Diazepam 5 mg/ml
mitte ükski 73
Gaasimullide tootmine Sobimatu
Süsteravim Foscarnet sodium 24 mg/ml
Süsteravim Digoxin 250 µg/ml
mitte ükski 73
Kohene hägusus Sobimatu
Süsteravim Foscarnet sodium 24 mg/ml
Süsteravim Diphenhydramine hydrochloride 50 mg/ml
mitte ükski 73
Kohene sade Sobimatu
Süsteravim Foscarnet sodium 24 mg/ml
Süsteravim Dobutamine hydrochloride 12.5 mg/ml
mitte ükski 73
Ühilduv
Süsteravim Foscarnet sodium 24 mg/ml
Süsteravim Dopamine hydrochloride 80 mg/ml
mitte ükski 73
Ühilduv
Süsteravim Foscarnet sodium 24 mg/ml
Süsteravim Doripenem 5 mg/ml
glükoos 5% 2262
Ühilduv
Süsteravim Foscarnet sodium 24 mg/ml
Süsteravim Doripenem 5 mg/ml
naatriumkloriid 0.9% 2262
Kohene sade Sobimatu
Süsteravim Foscarnet sodium 24 mg/ml
Süsteravim Droperidol 2.5 mg/ml
mitte ükski 73
Ühilduv
Süsteravim Foscarnet sodium 24 mg/ml
Süsteravim Erythromycin lactobionate 20 mg/ml
naatriumkloriid 0.9% 1135
Ühilduv
Süsteravim Foscarnet sodium 24 mg/ml
Süsteravim Erythromycin lactobionate 20 mg/ml
mitte ükski 73
Ühilduv
Süsteravim Foscarnet sodium 24 mg/ml
Süsteravim Fluconazole 2 mg/ml
naatriumkloriid 0.9% 496
Kohene hägusus Sobimatu
Süsteravim Foscarnet sodium 24 mg/ml
Süsteravim Folinate calcium 10 mg/ml
mitte ükski 73
Ühilduv
Süsteravim Foscarnet sodium 24 mg/ml
Süsteravim Furosemide 10 mg/ml
mitte ükski 73
Kohene sade Sobimatu
Süsteravim Foscarnet sodium 24 mg/ml
Süsteravim Ganciclovir sodium 50 mg/ml
mitte ükski 73
Täpsustamata sobimatus Sobimatu
Süsteravim Foscarnet sodium
Süsteravim Ganciclovir sodium
3662
Ühilduv
Süsteravim Foscarnet sodium 24 mg/ml
Süsteravim Gentamicin sulfate 4 mg/ml
mitte ükski 73
Ühilduv
Süsteravim Foscarnet sodium 24 mg/ml
Süsteravim Gentamicin sulfate 2 mg/ml
naatriumkloriid 0.9% 1135
Ühilduv
Süsteravim Foscarnet sodium 24 mg/ml
Süsteravim Gentamicin sulfate 2 mg/ml
glükoos 5% 1135
Kohene sade Sobimatu
Süsteravim Foscarnet sodium 24 mg/ml
Süsteravim Haloperidol lactate 5 mg/ml
mitte ükski 73
Ühilduv
Süsteravim Foscarnet sodium 24 mg/ml
Süsteravim Heparin sodium 100 UI/ml
naatriumkloriid 0.9% 1135
Ühilduv
Süsteravim Foscarnet sodium 24 mg/ml
Süsteravim Heparin sodium 1000 UI/ml
mitte ükski 73
Ühilduv
Süsteravim Foscarnet sodium 24 mg/ml
Süsteravim Heparin sodium 100 UI/ml
glükoos 5% 1135
Ühilduv
Süsteravim Foscarnet sodium 24 mg/ml
Süsteravim Hydrocortisone sodium succinate 50 mg/ml
mitte ükski 73
Ühilduv
Süsteravim Foscarnet sodium 24 mg/ml
Süsteravim Hydromorphone hydrochloride 10 mg/ml
mitte ükski 73
Ühilduv
Süsteravim Foscarnet sodium 24 mg/ml
Süsteravim Hydroxyzine dihydrochloride 50 mg/ml
mitte ükski 73
Ühilduv
Süsteravim Foscarnet sodium 24 mg/ml
Süsteravim Imipenem - cilastatin sodium 5 mg/ml
glükoos 5% 1135
Ühilduv
Süsteravim Foscarnet sodium 24 mg/ml
Süsteravim Imipenem - cilastatin sodium 10 mg/ml
mitte ükski 73
Täpsustamata sobimatus Sobimatu
Süsteravim Foscarnet sodium
Süsteravim Levofolinate calcium
3662
Ühilduv
Süsteravim Foscarnet sodium 24 mg/ml
Süsteravim Lorazepam 0,08 mg/ml
naatriumkloriid 0.9% 1135
Ühilduv
Süsteravim Foscarnet sodium 24 mg/ml
Süsteravim Lorazepam 0,08 mg/ml
glükoos 5% 1135
Gaasimullide tootmine Sobimatu
Süsteravim Foscarnet sodium 24 mg/ml
Süsteravim Lorazepam 4 mg/ml
mitte ükski 73
Ühilduv
Süsteravim Foscarnet sodium 24 mg/ml
Süsteravim Meropenem 50 mg/ml
süstevesi 4319
Ühilduv
Süsteravim Foscarnet sodium 24 mg/ml
Süsteravim Metoclopramide hydrochloride 2 mg/ml
naatriumkloriid 0.9% 1135
Ühilduv
Süsteravim Foscarnet sodium 24 mg/ml
Süsteravim Metoclopramide hydrochloride 4 mg/ml
mitte ükski 73
Ühilduv
Süsteravim Foscarnet sodium 24 mg/ml
Süsteravim Metoclopramide hydrochloride 2 mg/ml
glükoos 5% 1135
Ühilduv
Süsteravim Foscarnet sodium 24 mg/ml
Süsteravim Metronidazole 5 mg/ml
naatriumkloriid 0.9% 1135
Ühilduv
Süsteravim Foscarnet sodium 24 mg/ml
Süsteravim Metronidazole 5 mg/ml
mitte ükski 73
Gaasimullide tootmine Sobimatu
Süsteravim Foscarnet sodium 24 mg/ml
Süsteravim Midazolam hydrochloride 5 mg/ml
mitte ükski 73
Ühilduv
Süsteravim Foscarnet sodium 24 mg/ml
Süsteravim Morphine sulfate 1 mg/ml
naatriumkloriid 0.9% 1135
Ühilduv
Süsteravim Foscarnet sodium 24 mg/ml
Süsteravim Morphine sulfate 15 mg/ml
mitte ükski 64
Ühilduv
Süsteravim Foscarnet sodium 24 mg/ml
Süsteravim Morphine sulfate 5 mg/ml
naatriumkloriid 0.9% 64
Ühilduv
Süsteravim Foscarnet sodium 24 mg/ml
Süsteravim Morphine sulfate 1 mg/ml
glükoos 5% 1135
Ühilduv
Süsteravim Foscarnet sodium 24 mg/ml
Süsteravim Morphine sulfate 1 mg/ml
mitte ükski 73
Ühilduv
Süsteravim Foscarnet sodium 24 mg/ml
Süsteravim Nafcillin sodium 20 mg/ml
glükoos 5% 1135
Ühilduv
Süsteravim Foscarnet sodium 24 mg/ml
Süsteravim Nafcillin sodium 20 mg/ml
naatriumkloriid 0.9% 1135
Ühilduv
Süsteravim Foscarnet sodium 24 mg/ml
Süsteravim Oxacillin sodium 40 mg/ml
mitte ükski 73
Ühilduv
Süsteravim Foscarnet sodium 24 mg/ml
Süsteravim Oxacillin sodium 20 mg/ml
glükoos 5% 1135
Täpsustamata sobimatus Sobimatu
Süsteravim Foscarnet sodium
glükoos 30% 3662
Ühilduv
Süsteravim Foscarnet sodium 24 mg/ml
Süsteravim Oxacillin sodium 20 mg/ml
naatriumkloriid 0.9% 1135
Ühilduv
Süsteravim Foscarnet sodium 24 mg/ml
Süsteravim Penicillin G potassium 0.1 MUI/ml
mitte ükski 73
Kohene sade Sobimatu
Süsteravim Foscarnet sodium 24 mg/ml
Süsteravim Pentamidine isetionate 6 mg/ml
mitte ükski 73
Kohene sade Sobimatu
Süsteravim Foscarnet sodium 24 mg/ml
Süsteravim Pentamidine isetionate 6 mg/ml
glükoos 5% 1135
Täpsustamata sobimatus Sobimatu
Süsteravim Foscarnet sodium
Süsteravim Pentamidine isetionate
3662
Kohene sade Sobimatu
Süsteravim Foscarnet sodium 24 mg/ml
Süsteravim Pentamidine isetionate 6 mg/ml
naatriumkloriid 0.9% 1135
Kohene sade Sobimatu
Süsteravim Foscarnet sodium 24 mg/ml
Süsteravim Phenytoin sodium 50 mg/ml
mitte ükski 73
Ühilduv
Süsteravim Foscarnet sodium 24 mg/ml
Süsteravim Piperacillin sodium 80 mg/ml
mitte ükski 73
Kohene hägusus Sobimatu
Süsteravim Foscarnet sodium 24 mg/ml
Süsteravim Prochlorperazine edysilate 5 mg/ml
mitte ükski 73
Gaasimullide tootmine Sobimatu
Süsteravim Foscarnet sodium 24 mg/ml
Süsteravim Promethazine hydrochloride 50 mg/ml
mitte ükski 73
Ühilduv
Süsteravim Foscarnet sodium 24 mg/ml
Süsteravim Ranitidine hydrochloride 2 mg/ml
naatriumkloriid 0.9% 1135
Ühilduv
Süsteravim Foscarnet sodium 24 mg/ml
Süsteravim Ranitidine hydrochloride 2 mg/ml
glükoos 5% 1135
Ühilduv
Süsteravim Foscarnet sodium 24 mg/ml
Süsteravim Ticarcillin / clavulanic acid 100 mg/ml
naatriumkloriid 0.9% 1135
Ühilduv
Süsteravim Foscarnet sodium 24 mg/ml
Süsteravim Ticarcillin / clavulanic acid 100 mg/ml
glükoos 5% 1135
Ühilduv
Süsteravim Foscarnet sodium 24 mg/ml
Süsteravim Tobramycin sulfate 40 mg/ml
mitte ükski 73
Ühilduv
Süsteravim Foscarnet sodium 24 mg/ml
Süsteravim Vancomycin hydrochloride 10 mg/ml
naatriumkloriid 0.9% 132
Täpsustamata sobimatus Sobimatu
Süsteravim Foscarnet sodium
Süsteravim Vancomycin hydrochloride
3662
Ühilduv
Süsteravim Foscarnet sodium 24 mg/ml
Süsteravim Vancomycin hydrochloride 15 mg/ml
naatriumkloriid 0.9% 1135
Ühilduv
Süsteravim Foscarnet sodium 24 mg/ml
Süsteravim Vancomycin hydrochloride 15 mg/ml
glükoos 5% 1135
Kohene sade Sobimatu
Süsteravim Foscarnet sodium 24 mg/ml
Süsteravim Vancomycin hydrochloride 20 mg/ml
mitte ükski 73

  Mentions Légales