Pēdējā atjaunošana :
27/04/2026
Pretvīrusu līdzeklis   Foscarnet sodium  
Injekcija
Šķīduma stabilitāte Maisījuma stabilitāte Stabilitāti ietekmējoši faktori Saderība Levadīšanas veids Literatūras saraksts pdf
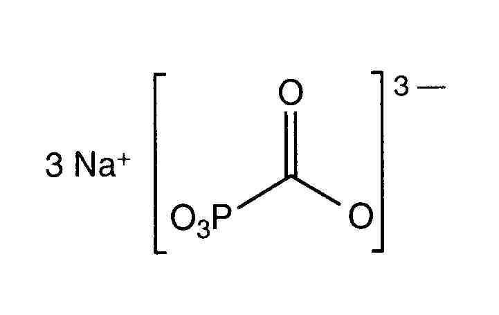
   Ķīmiskā uzbūve   

Oriģinālais nosaukums   Oriģinālais nosaukums     

Tirdzniecības nosaukumi ir apzīmējoši un palīgvielas var atšķirties dažādām valstīm un laboratorijām

Foscarnet Amerikas Savienotās Valstis, Argentīna, Čīle, Ekvadora, Kolumbija, Meksika, Peru, Portugāle, Spānija
Foscavir Amerikas Savienotās Valstis, Austrālija, Austrija, Beļģija, Francija, Grieķija, Holande, Itālija, Jaunzēlande, Lielbritānija, Luksemburga, Spānija, Šveice, Ungārija, Vācija, Zviedrija
Saderība   Injekcija   Saderība : Foscarnet sodium              
Šī tabula parāda zāļu saderību vai nesaderību, pēc iespējas arī nesaderības tipu (precipitācija, krāsas maiņa, emulsijas sadalīšanās utt). Parādītas šeit saderības ir pārsvarā tikai fizikālās, pēc iespējas tiek parādīta ķīmiskā stabilitāte katrai molekulai. Šo maisījumu analīze tikai veikta, lai izprastu iespējamību ievadīt zāles Y-savienojuma vietā sistēmā pacientam. Šie dati nevar tikt izmantoti, lai pagatavot zāļu maisījumus vēlākai lietošanai maisos vai šļircēs. Šī informācija ir pieejama sadaļā "Maisījuma stabilitāte".
Savienojums Šķīdinātājs Literatūras saraksts
Neprecizēta nesaderība Nesavienojams
Injekcija Foscarnet sodium
Injekcija Aciclovir sodium
3595
Tūlītēji nokrišņi Nesavienojams
Injekcija Foscarnet sodium 24 mg/ml
Injekcija Aciclovir sodium 7 mg/ml
5% glikoze 1135
Tūlītēji nokrišņi Nesavienojams
Injekcija Foscarnet sodium 24 mg/ml
Injekcija Aciclovir sodium 7 mg/ml
Nātrija hlorīds 0.9% 1135
Neprecizēta nesaderība Nesavienojams
Injekcija Foscarnet sodium
Injekcija Aciclovir sodium
3662
Tūlītēji nokrišņi Nesavienojams
Injekcija Foscarnet sodium 24 mg/ml
Injekcija Aciclovir sodium 10 mg/ml
Nekāds 73
Savietojams
Injekcija Foscarnet sodium 24 mg/ml
Injekcija Aldesleukin 0.0338 MUI/ml
5% glikoze 36
Savietojams
Injekcija Foscarnet sodium 24 mg/ml
Injekcija Amikacin sulfate 20 mg/ml
Nekāds 73
Savietojams
Injekcija Foscarnet sodium 24 mg/ml
Injekcija Aminophylline 25 mg/ml
Nekāds 73
Tūlītēja duļķainība Nesavienojams
Injekcija Foscarnet sodium 24 mg/ml
Injekcija Amphotericin B 0.6 mg/ml
5% glikoze 1135
Neprecizēta nesaderība Nesavienojams
Injekcija Foscarnet sodium
Injekcija Amphotericin B
3662
Tūlītēji nokrišņi Nesavienojams
Injekcija Foscarnet sodium 24 mg/ml
Injekcija Amphotericin B 5 mg/ml
Nekāds 73
Savietojams
Injekcija Foscarnet sodium 24 mg/ml
Injekcija Ampicillin sodium 20 mg/ml
Nekāds 73
Savietojams
Injekcija Foscarnet sodium 24 mg/ml
Injekcija Aztreonam 40 mg/ml
Nātrija hlorīds 0.9% 1135
Savietojams
Injekcija Foscarnet sodium 24 mg/ml
Injekcija Aztreonam 40 mg/ml
5% glikoze 1135
Savietojams
Injekcija Foscarnet sodium 24 mg/ml
Injekcija Aztreonam 40 mg/ml
Nekāds 73
Neprecizēta nesaderība Nesavienojams
Injekcija Foscarnet sodium
Injekcija Calcium chloride
3662
Neprecizēta nesaderība Nesavienojams
Injekcija Foscarnet sodium
Injekcija Calcium glucoheptonate
3662
Neprecizēta nesaderība Nesavienojams
Injekcija Foscarnet sodium
Injekcija Calcium gluconate
3662
Savietojams
Injekcija Foscarnet sodium 24 mg/ml
Injekcija Cefazolin sodium 40 mg/ml
Nekāds 73
Savietojams
Injekcija Foscarnet sodium 24 mg/ml
Injekcija Cefoperazone sodium 40 mg/ml
Nekāds 73
Savietojams
Injekcija Foscarnet sodium 24 mg/ml
Injekcija Cefoxitin sodium 40 mg/ml
Nekāds 73
Savietojams
Injekcija Foscarnet sodium 24 mg/ml
Injekcija Ceftazidime 20 mg/ml
5% glikoze 1135
Savietojams
Injekcija Foscarnet sodium 24 mg/ml
Injekcija Ceftazidime 20 mg/ml
Nekāds 73
Savietojams
Injekcija Foscarnet sodium 24 mg/ml
Injekcija Ceftazidime 20 mg/ml
Nātrija hlorīds 0.9% 1135
Savietojams
Injekcija Foscarnet sodium
Injekcija Ceftazidime
3883
Savietojams
Injekcija Foscarnet sodium 24 mg/ml
Injekcija Ceftizoxime sodium 40 mg/ml
Nekāds 73
Savietojams
Injekcija Foscarnet sodium 24 mg/ml
Injekcija Ceftriaxone disodium 20 mg/ml
5% glikoze 1135
Savietojams
Injekcija Foscarnet sodium 24 mg/ml
Injekcija Ceftriaxone disodium 20 mg/ml
Nātrija hlorīds 0.9% 1135
Savietojams
Injekcija Foscarnet sodium 24 mg/ml
Injekcija Cefuroxime sodium 30 mg/ml
Nekāds 73
Savietojams
Injekcija Foscarnet sodium 24 mg/ml
Injekcija Chloramphenicol sodium succinate 20 mg/ml
Nekāds 73
Savietojams
Injekcija Foscarnet sodium 24 mg/ml
Injekcija Cimetidine hydrochloride 150 mg/ml
Nekāds 73
Savietojams
Injekcija Foscarnet sodium 24 mg/ml
Injekcija Clindamycin phosphate 24 mg/ml
Nekāds 73
Savietojams
Injekcija Foscarnet sodium 24 mg/ml
Injekcija Clindamycin phosphate 12 mg/ml
5% glikoze 1135
Savietojams
Injekcija Foscarnet sodium 24 mg/ml
Injekcija Clindamycin phosphate 12 mg/ml
Nātrija hlorīds 0.9% 1135
Neprecizēta nesaderība Nesavienojams
Injekcija Foscarnet sodium
Injekcija Co-trimoxazole
3662
Savietojams
Injekcija Foscarnet sodium 24 mg/ml
Injekcija Co-trimoxazole 2,6/0,53 mg/ml
5% glikoze 1135
Tūlītēji nokrišņi Nesavienojams
Injekcija Foscarnet sodium 24 mg/ml
Injekcija Co-trimoxazole
Nekāds 73
Savietojams
Injekcija Foscarnet sodium 24 mg/ml
Injekcija Defibrotide 8 mg/ml
Nātrija hlorīds 0.9% 3728
Savietojams
Injekcija Foscarnet sodium 24 mg/ml
Injekcija Dexamethasone sodium phosphate 10 mg/ml
Nekāds 73
Gāzes burbuļu veidošanās Nesavienojams
Injekcija Foscarnet sodium 24 mg/ml
Injekcija Diazepam 5 mg/ml
Nekāds 73
Gāzes burbuļu veidošanās Nesavienojams
Injekcija Foscarnet sodium 24 mg/ml
Injekcija Digoxin 250 µg/ml
Nekāds 73
Tūlītēja duļķainība Nesavienojams
Injekcija Foscarnet sodium 24 mg/ml
Injekcija Diphenhydramine hydrochloride 50 mg/ml
Nekāds 73
Tūlītēji nokrišņi Nesavienojams
Injekcija Foscarnet sodium 24 mg/ml
Injekcija Dobutamine hydrochloride 12.5 mg/ml
Nekāds 73
Savietojams
Injekcija Foscarnet sodium 24 mg/ml
Injekcija Dopamine hydrochloride 80 mg/ml
Nekāds 73
Savietojams
Injekcija Foscarnet sodium 24 mg/ml
Injekcija Doripenem 5 mg/ml
5% glikoze 2262
Savietojams
Injekcija Foscarnet sodium 24 mg/ml
Injekcija Doripenem 5 mg/ml
Nātrija hlorīds 0.9% 2262
Tūlītēji nokrišņi Nesavienojams
Injekcija Foscarnet sodium 24 mg/ml
Injekcija Droperidol 2.5 mg/ml
Nekāds 73
Savietojams
Injekcija Foscarnet sodium 24 mg/ml
Injekcija Erythromycin lactobionate 20 mg/ml
Nātrija hlorīds 0.9% 1135
Savietojams
Injekcija Foscarnet sodium 24 mg/ml
Injekcija Erythromycin lactobionate 20 mg/ml
Nekāds 73
Savietojams
Injekcija Foscarnet sodium 24 mg/ml
Injekcija Fluconazole 2 mg/ml
Nātrija hlorīds 0.9% 496
Tūlītēja duļķainība Nesavienojams
Injekcija Foscarnet sodium 24 mg/ml
Injekcija Folinate calcium 10 mg/ml
Nekāds 73
Savietojams
Injekcija Foscarnet sodium 24 mg/ml
Injekcija Furosemide 10 mg/ml
Nekāds 73
Tūlītēji nokrišņi Nesavienojams
Injekcija Foscarnet sodium 24 mg/ml
Injekcija Ganciclovir sodium 50 mg/ml
Nekāds 73
Neprecizēta nesaderība Nesavienojams
Injekcija Foscarnet sodium
Injekcija Ganciclovir sodium
3662
Savietojams
Injekcija Foscarnet sodium 24 mg/ml
Injekcija Gentamicin sulfate 4 mg/ml
Nekāds 73
Savietojams
Injekcija Foscarnet sodium 24 mg/ml
Injekcija Gentamicin sulfate 2 mg/ml
Nātrija hlorīds 0.9% 1135
Savietojams
Injekcija Foscarnet sodium 24 mg/ml
Injekcija Gentamicin sulfate 2 mg/ml
5% glikoze 1135
Tūlītēji nokrišņi Nesavienojams
Injekcija Foscarnet sodium 24 mg/ml
Injekcija Haloperidol lactate 5 mg/ml
Nekāds 73
Savietojams
Injekcija Foscarnet sodium 24 mg/ml
Injekcija Heparin sodium 100 UI/ml
Nātrija hlorīds 0.9% 1135
Savietojams
Injekcija Foscarnet sodium 24 mg/ml
Injekcija Heparin sodium 1000 UI/ml
Nekāds 73
Savietojams
Injekcija Foscarnet sodium 24 mg/ml
Injekcija Heparin sodium 100 UI/ml
5% glikoze 1135
Savietojams
Injekcija Foscarnet sodium 24 mg/ml
Injekcija Hydrocortisone sodium succinate 50 mg/ml
Nekāds 73
Savietojams
Injekcija Foscarnet sodium 24 mg/ml
Injekcija Hydromorphone hydrochloride 10 mg/ml
Nekāds 73
Savietojams
Injekcija Foscarnet sodium 24 mg/ml
Injekcija Hydroxyzine dihydrochloride 50 mg/ml
Nekāds 73
Savietojams
Injekcija Foscarnet sodium 24 mg/ml
Injekcija Imipenem - cilastatin sodium 5 mg/ml
5% glikoze 1135
Savietojams
Injekcija Foscarnet sodium 24 mg/ml
Injekcija Imipenem - cilastatin sodium 10 mg/ml
Nekāds 73
Neprecizēta nesaderība Nesavienojams
Injekcija Foscarnet sodium
Injekcija Levofolinate calcium
3662
Savietojams
Injekcija Foscarnet sodium 24 mg/ml
Injekcija Lorazepam 0,08 mg/ml
Nātrija hlorīds 0.9% 1135
Savietojams
Injekcija Foscarnet sodium 24 mg/ml
Injekcija Lorazepam 0,08 mg/ml
5% glikoze 1135
Gāzes burbuļu veidošanās Nesavienojams
Injekcija Foscarnet sodium 24 mg/ml
Injekcija Lorazepam 4 mg/ml
Nekāds 73
Savietojams
Injekcija Foscarnet sodium 24 mg/ml
Injekcija Meropenem 50 mg/ml
Ūdens injekcijām 4319
Savietojams
Injekcija Foscarnet sodium 24 mg/ml
Injekcija Metoclopramide hydrochloride 2 mg/ml
Nātrija hlorīds 0.9% 1135
Savietojams
Injekcija Foscarnet sodium 24 mg/ml
Injekcija Metoclopramide hydrochloride 4 mg/ml
Nekāds 73
Savietojams
Injekcija Foscarnet sodium 24 mg/ml
Injekcija Metoclopramide hydrochloride 2 mg/ml
5% glikoze 1135
Savietojams
Injekcija Foscarnet sodium 24 mg/ml
Injekcija Metronidazole 5 mg/ml
Nātrija hlorīds 0.9% 1135
Savietojams
Injekcija Foscarnet sodium 24 mg/ml
Injekcija Metronidazole 5 mg/ml
Nekāds 73
Gāzes burbuļu veidošanās Nesavienojams
Injekcija Foscarnet sodium 24 mg/ml
Injekcija Midazolam hydrochloride 5 mg/ml
Nekāds 73
Savietojams
Injekcija Foscarnet sodium 24 mg/ml
Injekcija Morphine sulfate 1 mg/ml
Nātrija hlorīds 0.9% 1135
Savietojams
Injekcija Foscarnet sodium 24 mg/ml
Injekcija Morphine sulfate 15 mg/ml
Nekāds 64
Savietojams
Injekcija Foscarnet sodium 24 mg/ml
Injekcija Morphine sulfate 5 mg/ml
Nātrija hlorīds 0.9% 64
Savietojams
Injekcija Foscarnet sodium 24 mg/ml
Injekcija Morphine sulfate 1 mg/ml
5% glikoze 1135
Savietojams
Injekcija Foscarnet sodium 24 mg/ml
Injekcija Morphine sulfate 1 mg/ml
Nekāds 73
Savietojams
Injekcija Foscarnet sodium 24 mg/ml
Injekcija Nafcillin sodium 20 mg/ml
5% glikoze 1135
Savietojams
Injekcija Foscarnet sodium 24 mg/ml
Injekcija Nafcillin sodium 20 mg/ml
Nātrija hlorīds 0.9% 1135
Savietojams
Injekcija Foscarnet sodium 24 mg/ml
Injekcija Oxacillin sodium 40 mg/ml
Nekāds 73
Savietojams
Injekcija Foscarnet sodium 24 mg/ml
Injekcija Oxacillin sodium 20 mg/ml
5% glikoze 1135
Neprecizēta nesaderība Nesavienojams
Injekcija Foscarnet sodium
30% glikoze 3662
Savietojams
Injekcija Foscarnet sodium 24 mg/ml
Injekcija Oxacillin sodium 20 mg/ml
Nātrija hlorīds 0.9% 1135
Savietojams
Injekcija Foscarnet sodium 24 mg/ml
Injekcija Penicillin G potassium 0.1 MUI/ml
Nekāds 73
Tūlītēji nokrišņi Nesavienojams
Injekcija Foscarnet sodium 24 mg/ml
Injekcija Pentamidine isetionate 6 mg/ml
Nekāds 73
Tūlītēji nokrišņi Nesavienojams
Injekcija Foscarnet sodium 24 mg/ml
Injekcija Pentamidine isetionate 6 mg/ml
5% glikoze 1135
Neprecizēta nesaderība Nesavienojams
Injekcija Foscarnet sodium
Injekcija Pentamidine isetionate
3662
Tūlītēji nokrišņi Nesavienojams
Injekcija Foscarnet sodium 24 mg/ml
Injekcija Pentamidine isetionate 6 mg/ml
Nātrija hlorīds 0.9% 1135
Tūlītēji nokrišņi Nesavienojams
Injekcija Foscarnet sodium 24 mg/ml
Injekcija Phenytoin sodium 50 mg/ml
Nekāds 73
Savietojams
Injekcija Foscarnet sodium 24 mg/ml
Injekcija Piperacillin sodium 80 mg/ml
Nekāds 73
Tūlītēja duļķainība Nesavienojams
Injekcija Foscarnet sodium 24 mg/ml
Injekcija Prochlorperazine edysilate 5 mg/ml
Nekāds 73
Gāzes burbuļu veidošanās Nesavienojams
Injekcija Foscarnet sodium 24 mg/ml
Injekcija Promethazine hydrochloride 50 mg/ml
Nekāds 73
Savietojams
Injekcija Foscarnet sodium 24 mg/ml
Injekcija Ranitidine hydrochloride 2 mg/ml
Nātrija hlorīds 0.9% 1135
Savietojams
Injekcija Foscarnet sodium 24 mg/ml
Injekcija Ranitidine hydrochloride 2 mg/ml
5% glikoze 1135
Savietojams
Injekcija Foscarnet sodium 24 mg/ml
Injekcija Ticarcillin / clavulanic acid 100 mg/ml
Nātrija hlorīds 0.9% 1135
Savietojams
Injekcija Foscarnet sodium 24 mg/ml
Injekcija Ticarcillin / clavulanic acid 100 mg/ml
5% glikoze 1135
Savietojams
Injekcija Foscarnet sodium 24 mg/ml
Injekcija Tobramycin sulfate 40 mg/ml
Nekāds 73
Savietojams
Injekcija Foscarnet sodium 24 mg/ml
Injekcija Vancomycin hydrochloride 10 mg/ml
Nātrija hlorīds 0.9% 132
Neprecizēta nesaderība Nesavienojams
Injekcija Foscarnet sodium
Injekcija Vancomycin hydrochloride
3662
Savietojams
Injekcija Foscarnet sodium 24 mg/ml
Injekcija Vancomycin hydrochloride 15 mg/ml
Nātrija hlorīds 0.9% 1135
Savietojams
Injekcija Foscarnet sodium 24 mg/ml
Injekcija Vancomycin hydrochloride 15 mg/ml
5% glikoze 1135
Tūlītēji nokrišņi Nesavienojams
Injekcija Foscarnet sodium 24 mg/ml
Injekcija Vancomycin hydrochloride 20 mg/ml
Nekāds 73

  Mentions Légales