Ultimo aggiornamento :
27/04/2026
Antivirale   Foscarnet sodium  
Iniezione
Stabilità in soluzione Stabilità in miscela Fattori che influenzano la stabilità Compatibilità metodo di iniezione Bibliografia pdf
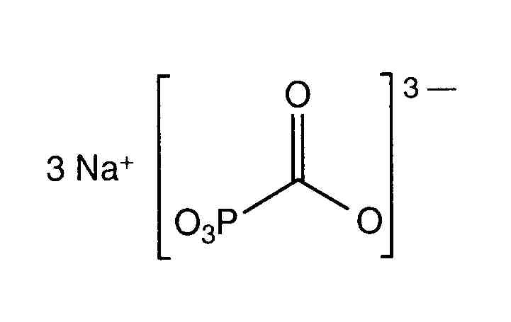
   Struttura chimica  

Nome commerciale   Nome commerciale     

Trade names are indicative and excipients composition can be different depending on the country and manufacturers

Foscarnet Argentina, Chile, Colombia, Ecuador, Messico, Perù, Portogallo, Spagna, Stati Uniti d’America
Foscavir Australia, Austria, Belgio, Francia, Germania, Gran Bretagna, Grecia, Italia, Lussemburgo, nuova Zelanda, Paesi Bassi, Spagna, Stati Uniti d’America, Svezia, Svizzera, Ungheria
Compatibilità   Iniezione   Compatibilità : Foscarnet sodium              
explication_incompatibilite_molecules
Molecola Solvente Bibliografia
Incompatibilità non specificata Incompatibile
Iniezione Foscarnet sodium
Iniezione Aciclovir sodium
3595
Precipitazioni immediate Incompatibile
Iniezione Foscarnet sodium 24 mg/ml
Iniezione Aciclovir sodium 7 mg/ml
Glucosio 5% 1135
Precipitazioni immediate Incompatibile
Iniezione Foscarnet sodium 24 mg/ml
Iniezione Aciclovir sodium 7 mg/ml
Cloruro di sodio 0,9% 1135
Incompatibilità non specificata Incompatibile
Iniezione Foscarnet sodium
Iniezione Aciclovir sodium
3662
Precipitazioni immediate Incompatibile
Iniezione Foscarnet sodium 24 mg/ml
Iniezione Aciclovir sodium 10 mg/ml
Nessuno 73
Compatibile
Iniezione Foscarnet sodium 24 mg/ml
Iniezione Aldesleukin 0.0338 MUI/ml
Glucosio 5% 36
Compatibile
Iniezione Foscarnet sodium 24 mg/ml
Iniezione Amikacin sulfate 20 mg/ml
Nessuno 73
Compatibile
Iniezione Foscarnet sodium 24 mg/ml
Iniezione Aminophylline 25 mg/ml
Nessuno 73
Torbidità immediata Incompatibile
Iniezione Foscarnet sodium 24 mg/ml
Iniezione Amphotericin B 0.6 mg/ml
Glucosio 5% 1135
Incompatibilità non specificata Incompatibile
Iniezione Foscarnet sodium
Iniezione Amphotericin B
3662
Precipitazioni immediate Incompatibile
Iniezione Foscarnet sodium 24 mg/ml
Iniezione Amphotericin B 5 mg/ml
Nessuno 73
Compatibile
Iniezione Foscarnet sodium 24 mg/ml
Iniezione Ampicillin sodium 20 mg/ml
Nessuno 73
Compatibile
Iniezione Foscarnet sodium 24 mg/ml
Iniezione Aztreonam 40 mg/ml
Cloruro di sodio 0,9% 1135
Compatibile
Iniezione Foscarnet sodium 24 mg/ml
Iniezione Aztreonam 40 mg/ml
Glucosio 5% 1135
Compatibile
Iniezione Foscarnet sodium 24 mg/ml
Iniezione Aztreonam 40 mg/ml
Nessuno 73
Incompatibilità non specificata Incompatibile
Iniezione Foscarnet sodium
Iniezione Calcium chloride
3662
Incompatibilità non specificata Incompatibile
Iniezione Foscarnet sodium
Iniezione Calcium glucoheptonate
3662
Incompatibilità non specificata Incompatibile
Iniezione Foscarnet sodium
Iniezione Calcium gluconate
3662
Compatibile
Iniezione Foscarnet sodium 24 mg/ml
Iniezione Cefazolin sodium 40 mg/ml
Nessuno 73
Compatibile
Iniezione Foscarnet sodium 24 mg/ml
Iniezione Cefoperazone sodium 40 mg/ml
Nessuno 73
Compatibile
Iniezione Foscarnet sodium 24 mg/ml
Iniezione Cefoxitin sodium 40 mg/ml
Nessuno 73
Compatibile
Iniezione Foscarnet sodium 24 mg/ml
Iniezione Ceftazidime 20 mg/ml
Glucosio 5% 1135
Compatibile
Iniezione Foscarnet sodium 24 mg/ml
Iniezione Ceftazidime 20 mg/ml
Nessuno 73
Compatibile
Iniezione Foscarnet sodium 24 mg/ml
Iniezione Ceftazidime 20 mg/ml
Cloruro di sodio 0,9% 1135
Compatibile
Iniezione Foscarnet sodium
Iniezione Ceftazidime
3883
Compatibile
Iniezione Foscarnet sodium 24 mg/ml
Iniezione Ceftizoxime sodium 40 mg/ml
Nessuno 73
Compatibile
Iniezione Foscarnet sodium 24 mg/ml
Iniezione Ceftriaxone disodium 20 mg/ml
Glucosio 5% 1135
Compatibile
Iniezione Foscarnet sodium 24 mg/ml
Iniezione Ceftriaxone disodium 20 mg/ml
Cloruro di sodio 0,9% 1135
Compatibile
Iniezione Foscarnet sodium 24 mg/ml
Iniezione Cefuroxime sodium 30 mg/ml
Nessuno 73
Compatibile
Iniezione Foscarnet sodium 24 mg/ml
Iniezione Chloramphenicol sodium succinate 20 mg/ml
Nessuno 73
Compatibile
Iniezione Foscarnet sodium 24 mg/ml
Iniezione Cimetidine hydrochloride 150 mg/ml
Nessuno 73
Compatibile
Iniezione Foscarnet sodium 24 mg/ml
Iniezione Clindamycin phosphate 24 mg/ml
Nessuno 73
Compatibile
Iniezione Foscarnet sodium 24 mg/ml
Iniezione Clindamycin phosphate 12 mg/ml
Glucosio 5% 1135
Compatibile
Iniezione Foscarnet sodium 24 mg/ml
Iniezione Clindamycin phosphate 12 mg/ml
Cloruro di sodio 0,9% 1135
Incompatibilità non specificata Incompatibile
Iniezione Foscarnet sodium
Iniezione Co-trimoxazole
3662
Compatibile
Iniezione Foscarnet sodium 24 mg/ml
Iniezione Co-trimoxazole 2,6/0,53 mg/ml
Glucosio 5% 1135
Precipitazioni immediate Incompatibile
Iniezione Foscarnet sodium 24 mg/ml
Iniezione Co-trimoxazole
Nessuno 73
Compatibile
Iniezione Foscarnet sodium 24 mg/ml
Iniezione Defibrotide 8 mg/ml
Cloruro di sodio 0,9% 3728
Compatibile
Iniezione Foscarnet sodium 24 mg/ml
Iniezione Dexamethasone sodium phosphate 10 mg/ml
Nessuno 73
Produzione di bolle di gas Incompatibile
Iniezione Foscarnet sodium 24 mg/ml
Iniezione Diazepam 5 mg/ml
Nessuno 73
Produzione di bolle di gas Incompatibile
Iniezione Foscarnet sodium 24 mg/ml
Iniezione Digoxin 250 µg/ml
Nessuno 73
Torbidità immediata Incompatibile
Iniezione Foscarnet sodium 24 mg/ml
Iniezione Diphenhydramine hydrochloride 50 mg/ml
Nessuno 73
Precipitazioni immediate Incompatibile
Iniezione Foscarnet sodium 24 mg/ml
Iniezione Dobutamine hydrochloride 12.5 mg/ml
Nessuno 73
Compatibile
Iniezione Foscarnet sodium 24 mg/ml
Iniezione Dopamine hydrochloride 80 mg/ml
Nessuno 73
Compatibile
Iniezione Foscarnet sodium 24 mg/ml
Iniezione Doripenem 5 mg/ml
Glucosio 5% 2262
Compatibile
Iniezione Foscarnet sodium 24 mg/ml
Iniezione Doripenem 5 mg/ml
Cloruro di sodio 0,9% 2262
Precipitazioni immediate Incompatibile
Iniezione Foscarnet sodium 24 mg/ml
Iniezione Droperidol 2.5 mg/ml
Nessuno 73
Compatibile
Iniezione Foscarnet sodium 24 mg/ml
Iniezione Erythromycin lactobionate 20 mg/ml
Cloruro di sodio 0,9% 1135
Compatibile
Iniezione Foscarnet sodium 24 mg/ml
Iniezione Erythromycin lactobionate 20 mg/ml
Nessuno 73
Compatibile
Iniezione Foscarnet sodium 24 mg/ml
Iniezione Fluconazole 2 mg/ml
Cloruro di sodio 0,9% 496
Torbidità immediata Incompatibile
Iniezione Foscarnet sodium 24 mg/ml
Iniezione Folinate calcium 10 mg/ml
Nessuno 73
Compatibile
Iniezione Foscarnet sodium 24 mg/ml
Iniezione Furosemide 10 mg/ml
Nessuno 73
Precipitazioni immediate Incompatibile
Iniezione Foscarnet sodium 24 mg/ml
Iniezione Ganciclovir sodium 50 mg/ml
Nessuno 73
Incompatibilità non specificata Incompatibile
Iniezione Foscarnet sodium
Iniezione Ganciclovir sodium
3662
Compatibile
Iniezione Foscarnet sodium 24 mg/ml
Iniezione Gentamicin sulfate 4 mg/ml
Nessuno 73
Compatibile
Iniezione Foscarnet sodium 24 mg/ml
Iniezione Gentamicin sulfate 2 mg/ml
Cloruro di sodio 0,9% 1135
Compatibile
Iniezione Foscarnet sodium 24 mg/ml
Iniezione Gentamicin sulfate 2 mg/ml
Glucosio 5% 1135
Precipitazioni immediate Incompatibile
Iniezione Foscarnet sodium 24 mg/ml
Iniezione Haloperidol lactate 5 mg/ml
Nessuno 73
Compatibile
Iniezione Foscarnet sodium 24 mg/ml
Iniezione Heparin sodium 100 UI/ml
Cloruro di sodio 0,9% 1135
Compatibile
Iniezione Foscarnet sodium 24 mg/ml
Iniezione Heparin sodium 1000 UI/ml
Nessuno 73
Compatibile
Iniezione Foscarnet sodium 24 mg/ml
Iniezione Heparin sodium 100 UI/ml
Glucosio 5% 1135
Compatibile
Iniezione Foscarnet sodium 24 mg/ml
Iniezione Hydrocortisone sodium succinate 50 mg/ml
Nessuno 73
Compatibile
Iniezione Foscarnet sodium 24 mg/ml
Iniezione Hydromorphone hydrochloride 10 mg/ml
Nessuno 73
Compatibile
Iniezione Foscarnet sodium 24 mg/ml
Iniezione Hydroxyzine dihydrochloride 50 mg/ml
Nessuno 73
Compatibile
Iniezione Foscarnet sodium 24 mg/ml
Iniezione Imipenem - cilastatin sodium 5 mg/ml
Glucosio 5% 1135
Compatibile
Iniezione Foscarnet sodium 24 mg/ml
Iniezione Imipenem - cilastatin sodium 10 mg/ml
Nessuno 73
Incompatibilità non specificata Incompatibile
Iniezione Foscarnet sodium
Iniezione Levofolinate calcium
3662
Compatibile
Iniezione Foscarnet sodium 24 mg/ml
Iniezione Lorazepam 0,08 mg/ml
Cloruro di sodio 0,9% 1135
Compatibile
Iniezione Foscarnet sodium 24 mg/ml
Iniezione Lorazepam 0,08 mg/ml
Glucosio 5% 1135
Produzione di bolle di gas Incompatibile
Iniezione Foscarnet sodium 24 mg/ml
Iniezione Lorazepam 4 mg/ml
Nessuno 73
Compatibile
Iniezione Foscarnet sodium 24 mg/ml
Iniezione Meropenem 50 mg/ml
Acqua per preparato iniettabile 4319
Compatibile
Iniezione Foscarnet sodium 24 mg/ml
Iniezione Metoclopramide hydrochloride 2 mg/ml
Cloruro di sodio 0,9% 1135
Compatibile
Iniezione Foscarnet sodium 24 mg/ml
Iniezione Metoclopramide hydrochloride 4 mg/ml
Nessuno 73
Compatibile
Iniezione Foscarnet sodium 24 mg/ml
Iniezione Metoclopramide hydrochloride 2 mg/ml
Glucosio 5% 1135
Compatibile
Iniezione Foscarnet sodium 24 mg/ml
Iniezione Metronidazole 5 mg/ml
Cloruro di sodio 0,9% 1135
Compatibile
Iniezione Foscarnet sodium 24 mg/ml
Iniezione Metronidazole 5 mg/ml
Nessuno 73
Produzione di bolle di gas Incompatibile
Iniezione Foscarnet sodium 24 mg/ml
Iniezione Midazolam hydrochloride 5 mg/ml
Nessuno 73
Compatibile
Iniezione Foscarnet sodium 24 mg/ml
Iniezione Morphine sulfate 1 mg/ml
Cloruro di sodio 0,9% 1135
Compatibile
Iniezione Foscarnet sodium 24 mg/ml
Iniezione Morphine sulfate 15 mg/ml
Nessuno 64
Compatibile
Iniezione Foscarnet sodium 24 mg/ml
Iniezione Morphine sulfate 5 mg/ml
Cloruro di sodio 0,9% 64
Compatibile
Iniezione Foscarnet sodium 24 mg/ml
Iniezione Morphine sulfate 1 mg/ml
Glucosio 5% 1135
Compatibile
Iniezione Foscarnet sodium 24 mg/ml
Iniezione Morphine sulfate 1 mg/ml
Nessuno 73
Compatibile
Iniezione Foscarnet sodium 24 mg/ml
Iniezione Nafcillin sodium 20 mg/ml
Glucosio 5% 1135
Compatibile
Iniezione Foscarnet sodium 24 mg/ml
Iniezione Nafcillin sodium 20 mg/ml
Cloruro di sodio 0,9% 1135
Compatibile
Iniezione Foscarnet sodium 24 mg/ml
Iniezione Oxacillin sodium 40 mg/ml
Nessuno 73
Compatibile
Iniezione Foscarnet sodium 24 mg/ml
Iniezione Oxacillin sodium 20 mg/ml
Glucosio 5% 1135
Incompatibilità non specificata Incompatibile
Iniezione Foscarnet sodium
Glucosio 30% 3662
Compatibile
Iniezione Foscarnet sodium 24 mg/ml
Iniezione Oxacillin sodium 20 mg/ml
Cloruro di sodio 0,9% 1135
Compatibile
Iniezione Foscarnet sodium 24 mg/ml
Iniezione Penicillin G potassium 0.1 MUI/ml
Nessuno 73
Precipitazioni immediate Incompatibile
Iniezione Foscarnet sodium 24 mg/ml
Iniezione Pentamidine isetionate 6 mg/ml
Nessuno 73
Precipitazioni immediate Incompatibile
Iniezione Foscarnet sodium 24 mg/ml
Iniezione Pentamidine isetionate 6 mg/ml
Glucosio 5% 1135
Incompatibilità non specificata Incompatibile
Iniezione Foscarnet sodium
Iniezione Pentamidine isetionate
3662
Precipitazioni immediate Incompatibile
Iniezione Foscarnet sodium 24 mg/ml
Iniezione Pentamidine isetionate 6 mg/ml
Cloruro di sodio 0,9% 1135
Precipitazioni immediate Incompatibile
Iniezione Foscarnet sodium 24 mg/ml
Iniezione Phenytoin sodium 50 mg/ml
Nessuno 73
Compatibile
Iniezione Foscarnet sodium 24 mg/ml
Iniezione Piperacillin sodium 80 mg/ml
Nessuno 73
Torbidità immediata Incompatibile
Iniezione Foscarnet sodium 24 mg/ml
Iniezione Prochlorperazine edysilate 5 mg/ml
Nessuno 73
Produzione di bolle di gas Incompatibile
Iniezione Foscarnet sodium 24 mg/ml
Iniezione Promethazine hydrochloride 50 mg/ml
Nessuno 73
Compatibile
Iniezione Foscarnet sodium 24 mg/ml
Iniezione Ranitidine hydrochloride 2 mg/ml
Cloruro di sodio 0,9% 1135
Compatibile
Iniezione Foscarnet sodium 24 mg/ml
Iniezione Ranitidine hydrochloride 2 mg/ml
Glucosio 5% 1135
Compatibile
Iniezione Foscarnet sodium 24 mg/ml
Iniezione Ticarcillin / clavulanic acid 100 mg/ml
Cloruro di sodio 0,9% 1135
Compatibile
Iniezione Foscarnet sodium 24 mg/ml
Iniezione Ticarcillin / clavulanic acid 100 mg/ml
Glucosio 5% 1135
Compatibile
Iniezione Foscarnet sodium 24 mg/ml
Iniezione Tobramycin sulfate 40 mg/ml
Nessuno 73
Compatibile
Iniezione Foscarnet sodium 24 mg/ml
Iniezione Vancomycin hydrochloride 10 mg/ml
Cloruro di sodio 0,9% 132
Incompatibilità non specificata Incompatibile
Iniezione Foscarnet sodium
Iniezione Vancomycin hydrochloride
3662
Compatibile
Iniezione Foscarnet sodium 24 mg/ml
Iniezione Vancomycin hydrochloride 15 mg/ml
Cloruro di sodio 0,9% 1135
Compatibile
Iniezione Foscarnet sodium 24 mg/ml
Iniezione Vancomycin hydrochloride 15 mg/ml
Glucosio 5% 1135
Precipitazioni immediate Incompatibile
Iniezione Foscarnet sodium 24 mg/ml
Iniezione Vancomycin hydrochloride 20 mg/ml
Nessuno 73

  Mentions Légales