Son güncelleme :
27/04/2026
Çeşitli   Baclofen  
Merhem
Enjeksiyon Oral solüsyon / oral çözelti
Farmasötik preparatlar Kararlılığı Karışımlardaki stabilitesi Stabiliteyi etkileyen faktörler Uyumluluk Kaynaklar pdf
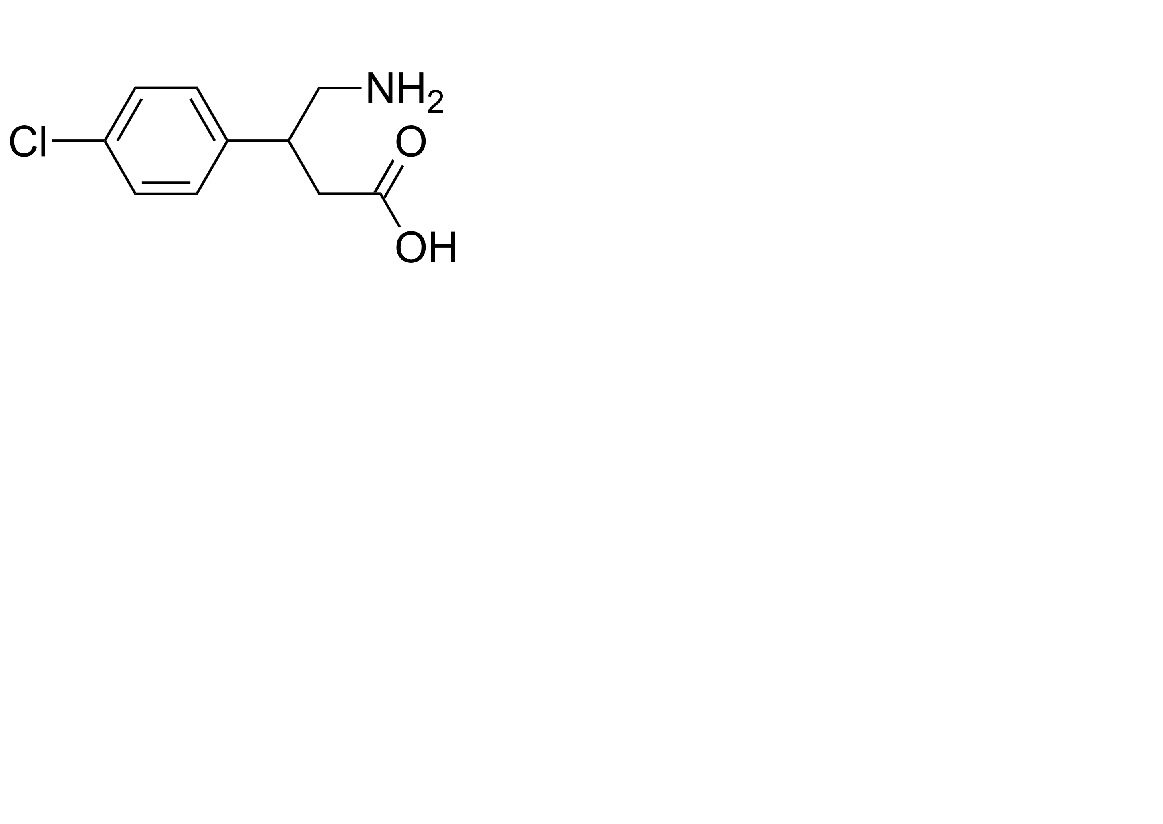
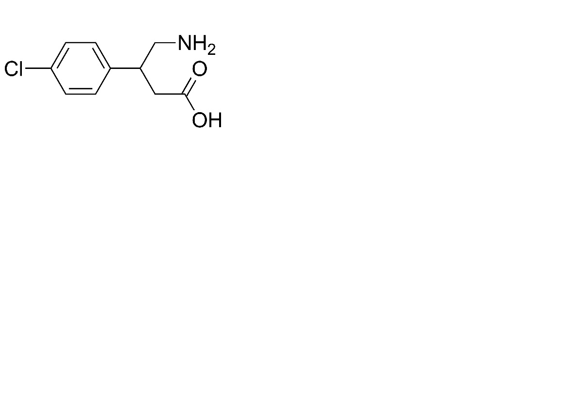
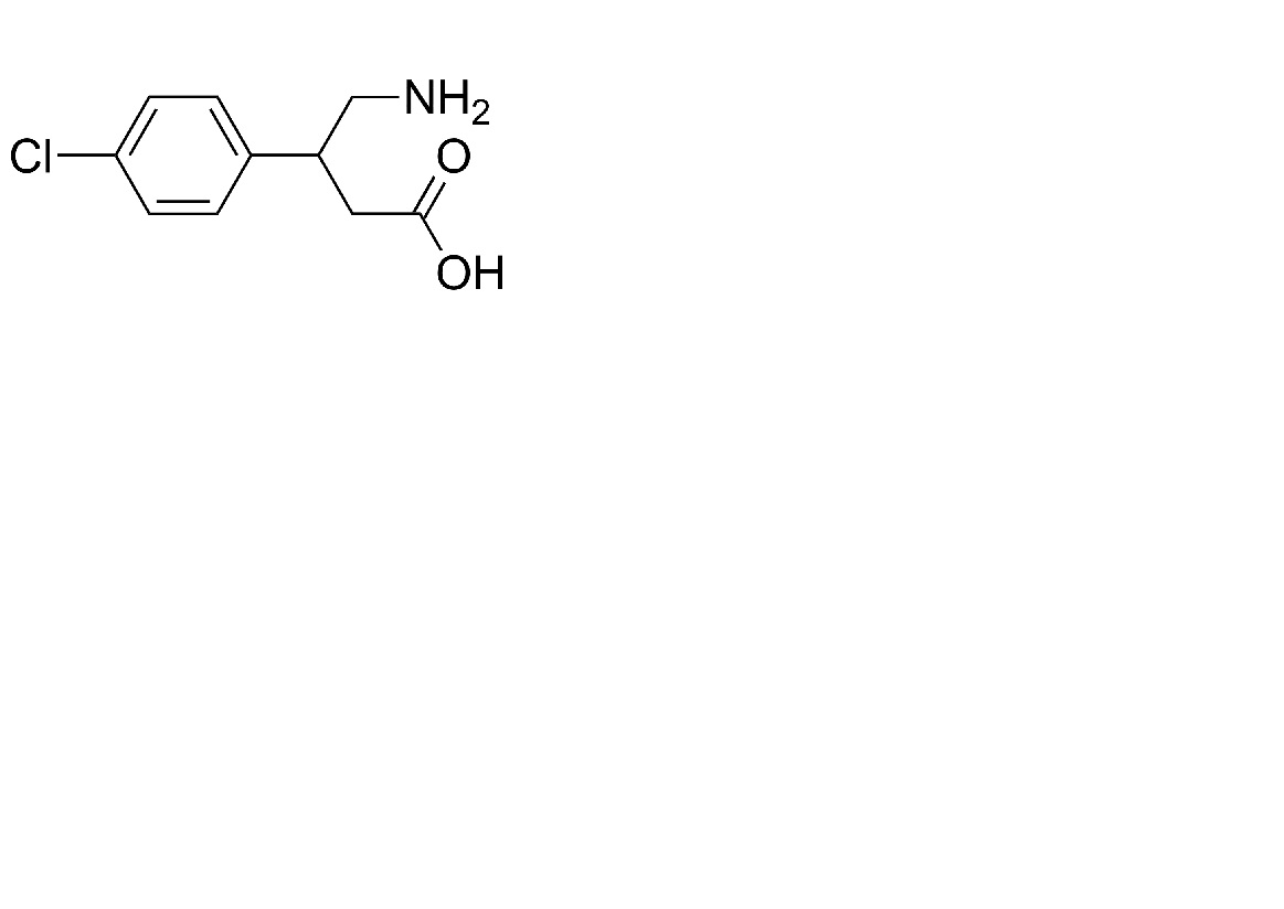
   Kimyasal yapı   

Merhem
Karışımlardaki stabilitesi   Merhem   Karışımlardaki stabilitesi : Baclofen     
Saklama kabı yardımcı madde Bileşik Isı Saklama    Stabilite süresi Kaynaklar
Belirtilmemiş
Propilen Glikol
Lipoderm® >> 100 g
Merhem   Baclofen Toz5 g  ® = ?
Merhem   Ketoprofene Toz5 g  ® = ?
25°C
120 Gün
Işıktan koruyunuz 3971
Belirtilmemiş
Propilen Glikol >>
Lipobase® >> 100 g
Merhem   Baclofen Toz5 g  ® = ?
Merhem   Ketoprofene Toz5 g  ® = ?
25°C
120 Gün
Işıktan koruyunuz 3971

  Mentions Légales