Utolsó frissítés :
27/04/2026
Különféle   Baclofen  
kenőcs
belsőleges oldat Injekció
Stabilitása gyógyszerészeti készítmények A keverékek stabilitása Stabilitást befolyásoló tényezők Kompatibilitás Irodalom pdf
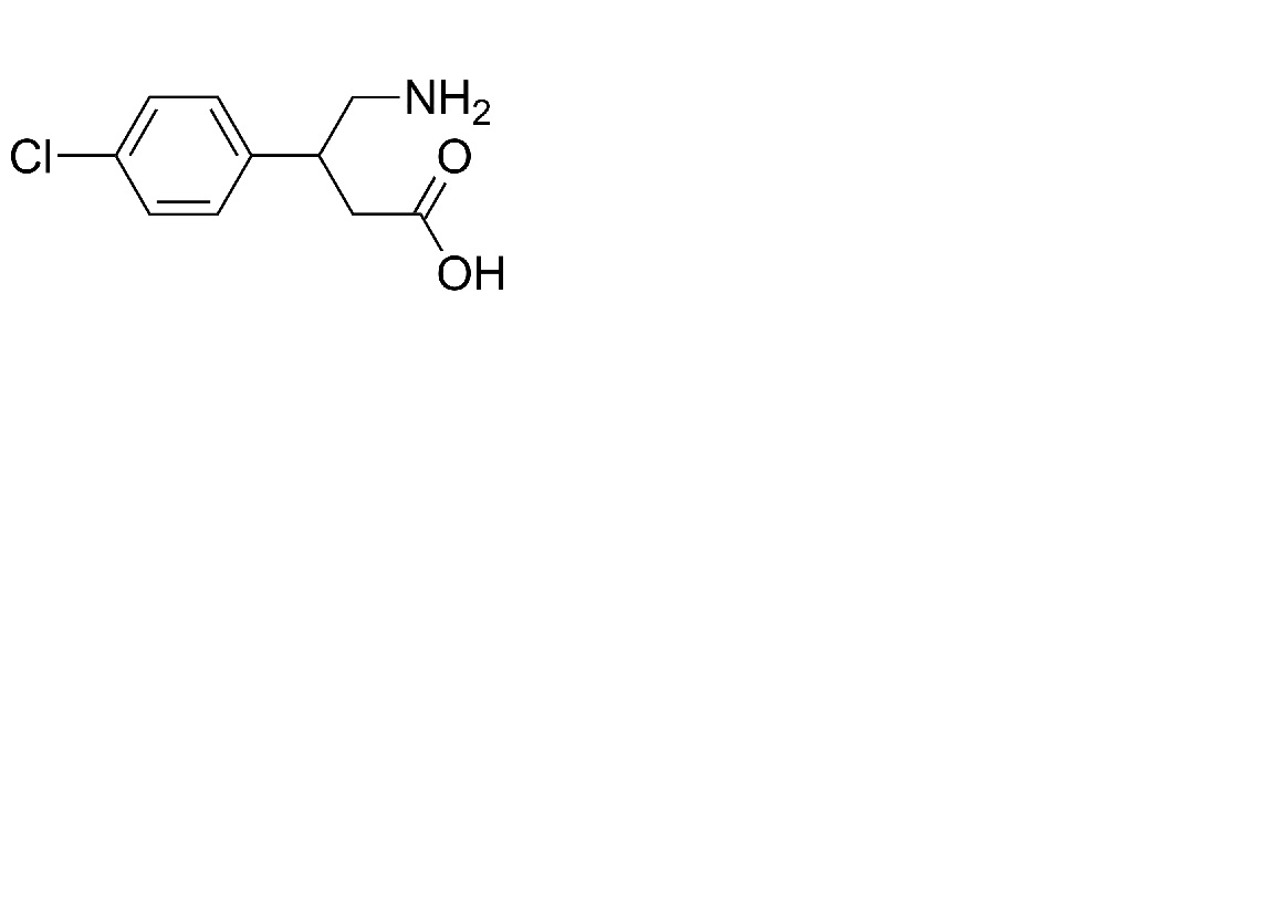
   Kémiai szerkezet   

kenőcs
A keverékek stabilitása   kenőcs   A keverékek stabilitása : Baclofen     
Csomagolás segédanyag Vegyület Hőmérséklet Tárolás A stabilitás időtartama Irodalom
Nincs meghatározva
propilén-glikol
Lipoderm® >> 100 g
kenőcs   Baclofen por5 g  ® = ?
kenőcs   Ketoprofene por5 g  ® = ?
25°C
120 Nap
Fénytől védve tartandó 3971
Nincs meghatározva
propilén-glikol >>
Lipobase® >> 100 g
kenőcs   Baclofen por5 g  ® = ?
kenőcs   Ketoprofene por5 g  ® = ?
25°C
120 Nap
Fénytől védve tartandó 3971

  Mentions Légales