Ultimo aggiornamento :
27/04/2026
Altro   Baclofen  
Unguenti
Iniezione Soluzione orale
Stabilità dei preparati farmaceutici Stabilità in miscela Fattori che influenzano la stabilità Compatibilità Bibliografia pdf
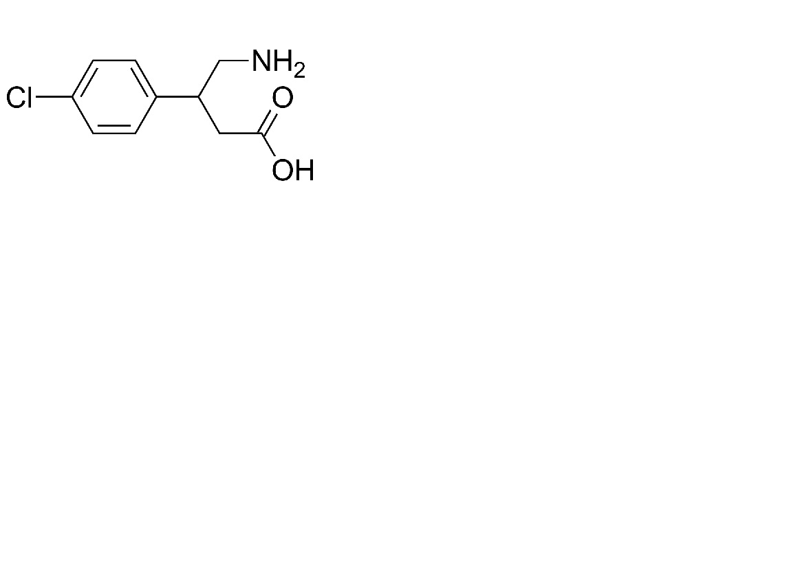
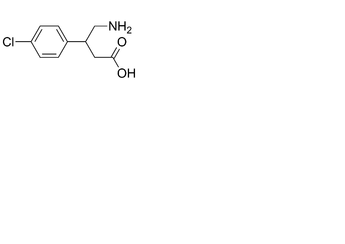
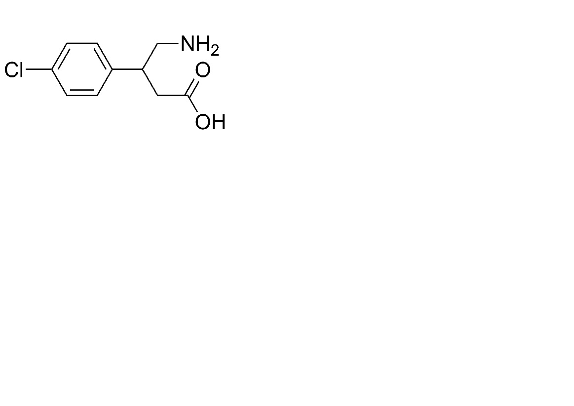
   Struttura chimica  

Unguenti
Stabilità in miscela   Unguenti   Stabilità in miscela : Baclofen     
contenitore eccipiente Molecola Temperatura Conservazione Durata della stabilità Bibliografia
Non precisato
glicole propilenico
Lipoderm® >> 100 g
Unguenti   Baclofen polvere5 g  ® = ?
Unguenti   Ketoprofene polvere5 g  ® = ?
25°C
120 Giorno
Al riparo dalla luce 3971
Non precisato
glicole propilenico >>
Lipobase® >> 100 g
Unguenti   Baclofen polvere5 g  ® = ?
Unguenti   Ketoprofene polvere5 g  ® = ?
25°C
120 Giorno
Al riparo dalla luce 3971

  Mentions Légales