viimane versioon :
27/04/2026
mitmesugune   Baclofen  
salv
Süsteravim suukaudne lahus
Stabiilsust ravimpreparaadid Stabiilsust mõjutavad tegurid stabiilsust mõjutavad faktorid Sobimatus Viited pdf
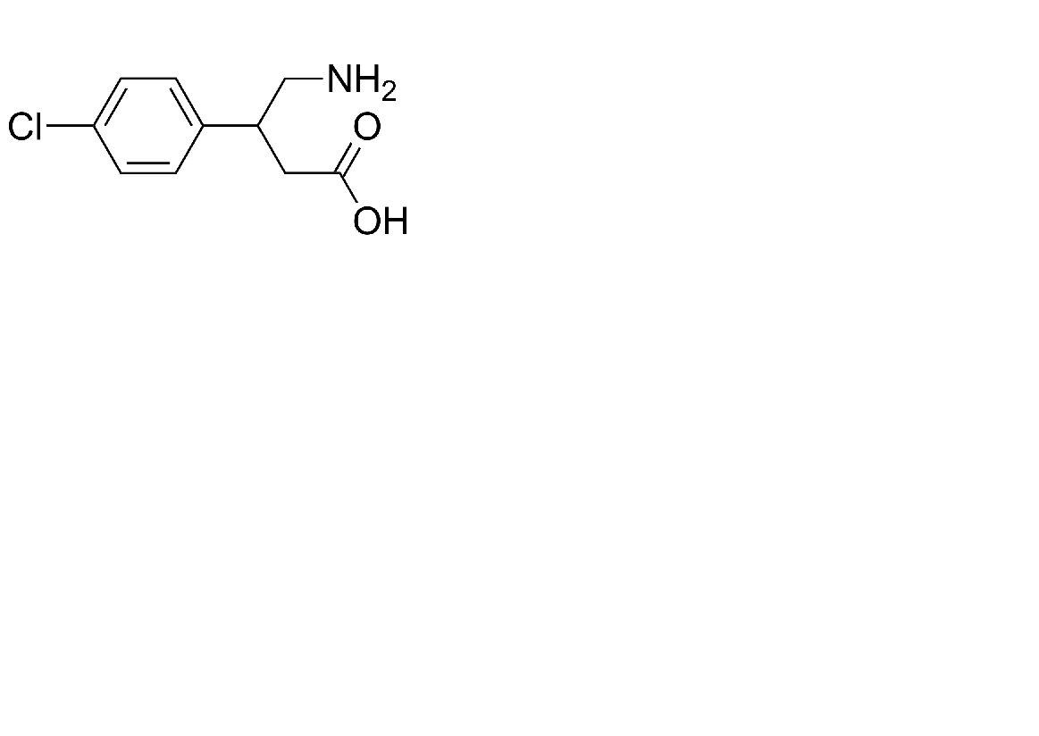
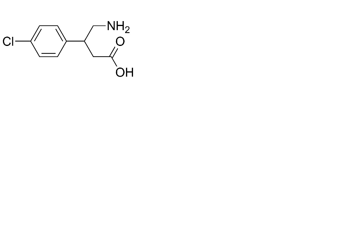
   keemiline struktuur  

salv
Stabiilsust mõjutavad tegurid   salv   Stabiilsust mõjutavad tegurid : Baclofen     
konteiner  abiaine ingredient temperatuur ladustamine Stabiilsuse kestus Viited
pole täpsustatud
propüleenglükool
Lipoderm® >> 100 g
salv   Baclofen pulber5 g  ® = ?
salv   Ketoprofene pulber5 g  ® = ?
25°C
120 päev
kaitsta valguse eest 3971
pole täpsustatud
propüleenglükool >>
Lipobase® >> 100 g
salv   Baclofen pulber5 g  ® = ?
salv   Ketoprofene pulber5 g  ® = ?
25°C
120 päev
kaitsta valguse eest 3971

  Mentions Légales