Seneste opdatering :
27/04/2026
Diverse   Baclofen  
Salver
Injektion Oral opløsning
Stabilitet af farmaceutiske tilberedninger Stabilitet i blandinger Faktorer der påvirker stabiliteten Kompatibilitet Bibliografi pdf
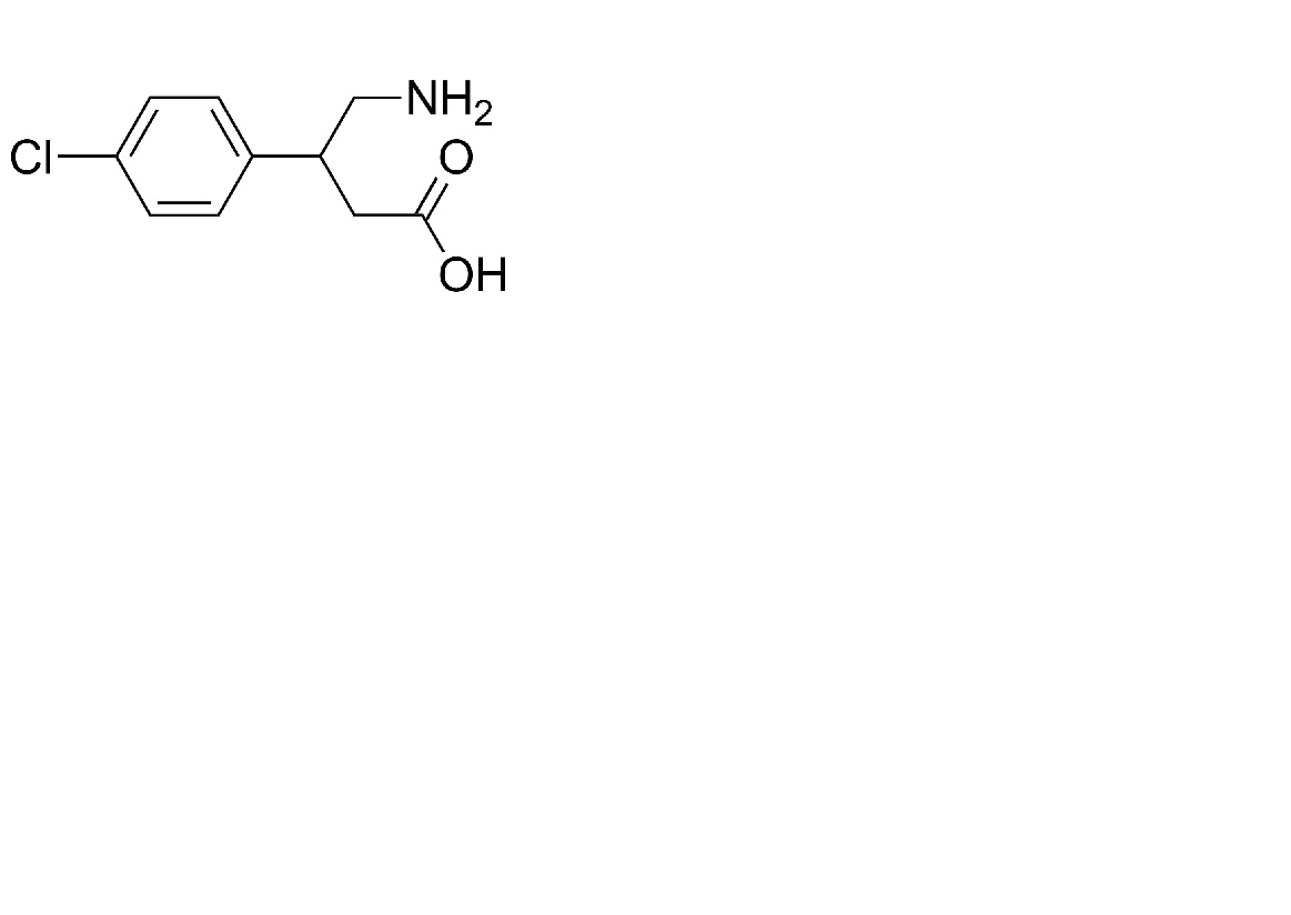
   Kemisk struktur  

Salver
Stabilitet i blandinger   Salver   Stabilitet i blandinger : Baclofen     
Beholder Hjælpestof Molekyle Temperatur Konservering Varighed af stabilitet Bibliografi
Ikke angivet nærmere
Propylenglycol
Lipoderm® >> 100 g
Salver   Baclofen Pulver5 g  ® = ?
Salver   Ketoprofene Pulver5 g  ® = ?
25°C
120 Dag
Beskyt mod lys 3971
Ikke angivet nærmere
Propylenglycol >>
Lipobase® >> 100 g
Salver   Baclofen Pulver5 g  ® = ?
Salver   Ketoprofene Pulver5 g  ® = ?
25°C
120 Dag
Beskyt mod lys 3971

  Mentions Légales