Siste oppdatering :
27/04/2026
Forskjellig   Baclofen  
Salver
Injeksjon Mikstur
Stabilitet av farmasøytiske preparater Stabilitet i blandinger Faktorer som påvirker stabiliteten Kompatibilitet Referanser pdf
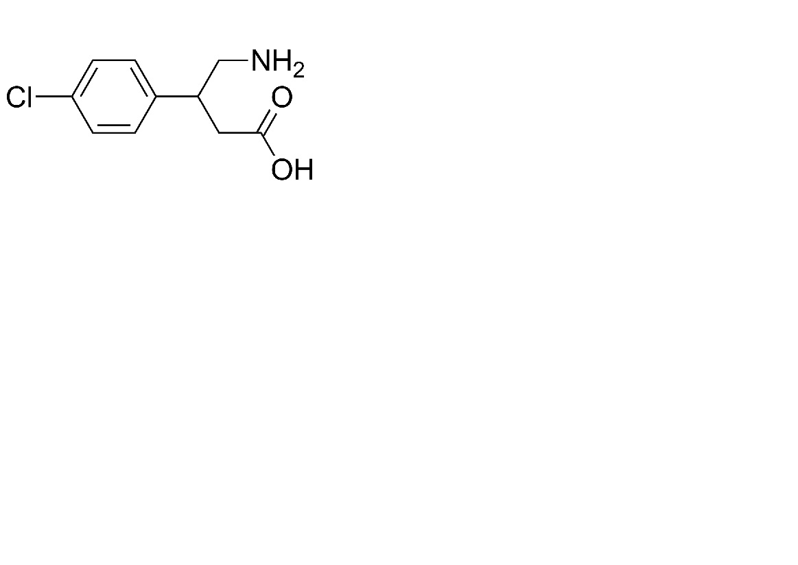
   Kjemisk struktur  

Salver
Stabilitet i blandinger   Salver   Stabilitet i blandinger : Baclofen     
Beholder Hjelpestoff Legemiddel Temperatur Oppbevaring Varighet av stabilitet Referanser
Ikke angitt
Propylenglykol
Lipoderm® >> 100 g
Salver   Baclofen Pulver5 g  ® = ?
Salver   Ketoprofene Pulver5 g  ® = ?
25°C
120 Dag
Beskyttes mot lys 3971
Ikke angitt
Propylenglykol >>
Lipobase® >> 100 g
Salver   Baclofen Pulver5 g  ® = ?
Salver   Ketoprofene Pulver5 g  ® = ?
25°C
120 Dag
Beskyttes mot lys 3971

  Mentions Légales