آخر تحديث :
27/04/2026
مختلف   Baclofen  
المراهم
حقن عن طريق الفم
استقرار المستحضرات الصيدلانية استقرار مخاليط العوامل التي تؤثر على الاستقرار التوافق مراجع pdf
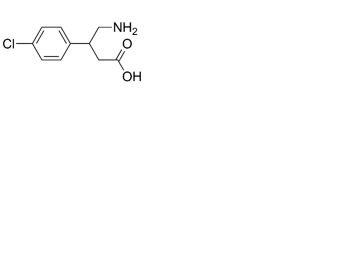
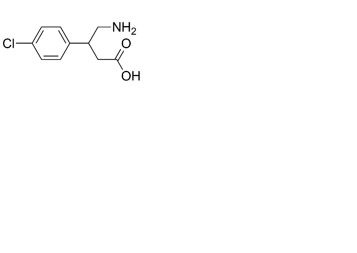
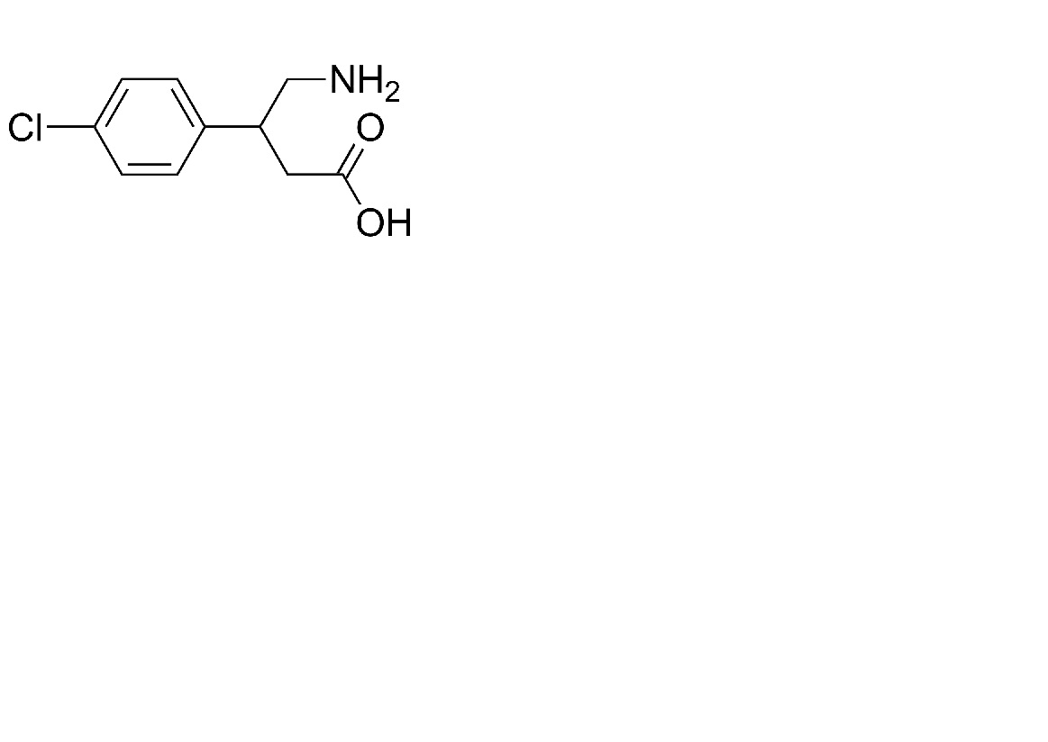
   التركيب الكيميائي  

المراهم
استقرار مخاليط   المراهم   استقرار مخاليط : Baclofen     
حاوية الاضافات مركب درجة الحرارة تخزين مدة الاستقرار مراجع
لم يتم تحديد
البروبيلين غليكول
Lipoderm® >> 100 g
المراهم   Baclofen مسحوق5 g  ® = ?
المراهم   Ketoprofene مسحوق5 g  ® = ?
25°C
120 يوم
بعيدا عن الضوء 3971
لم يتم تحديد
البروبيلين غليكول >>
Lipobase® >> 100 g
المراهم   Baclofen مسحوق5 g  ® = ?
المراهم   Ketoprofene مسحوق5 g  ® = ?
25°C
120 يوم
بعيدا عن الضوء 3971

  Mentions Légales