Останнє оновлення :
27/04/2026
різноманітні   Baclofen  
Мазі
ін'єкція Розчин для перорального застосування
Стабільність фармацевтичних препаратів Стійкість сумішей Фактори, що впливають на стабільність Сумісність Список літератури pdf
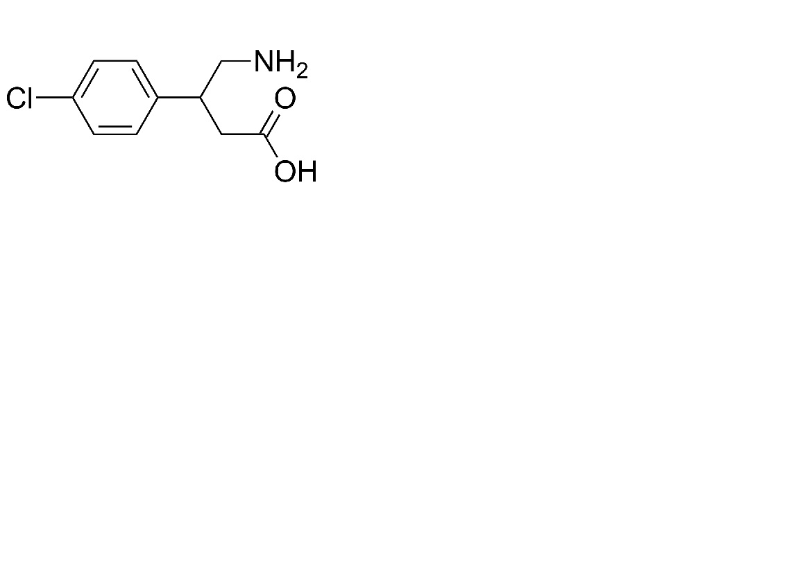
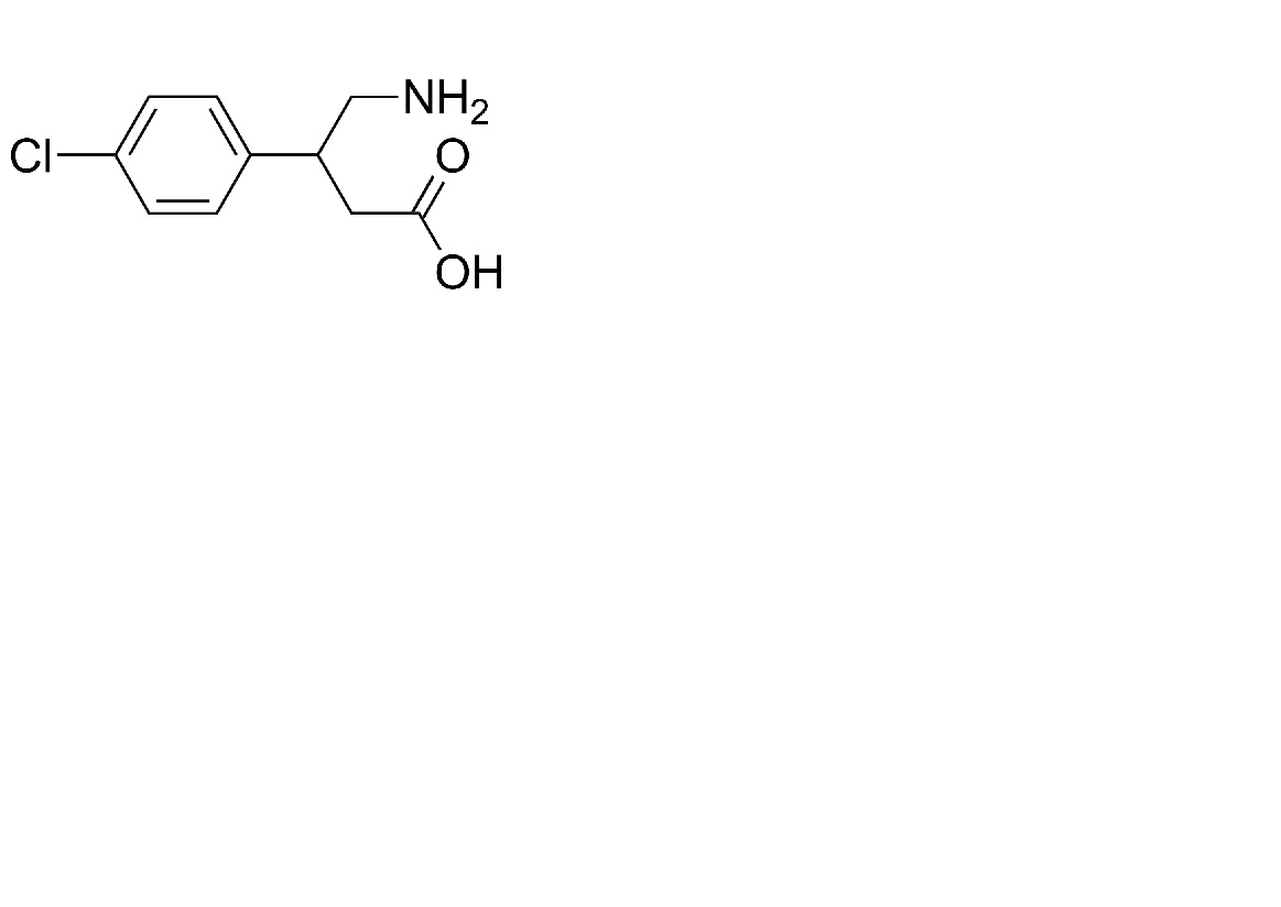
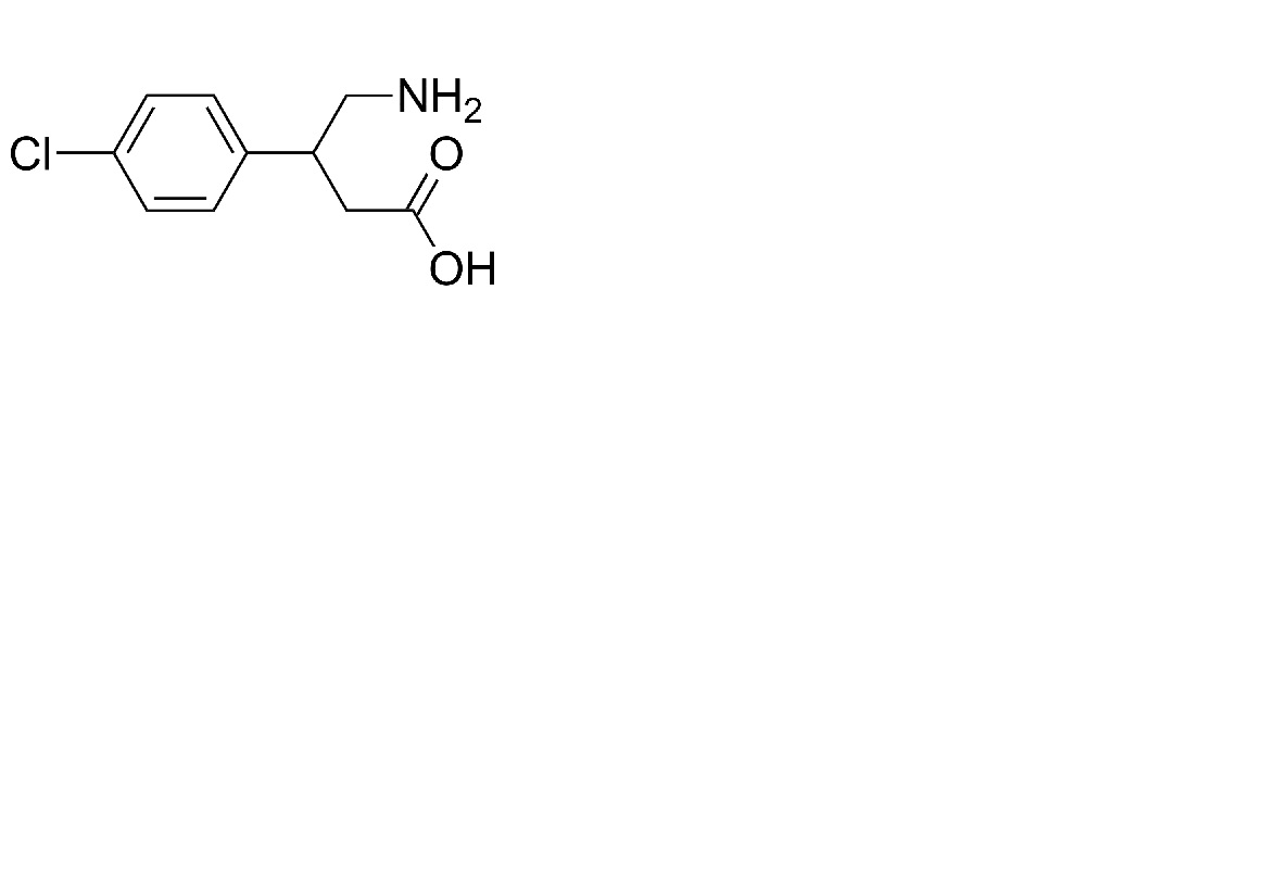
   Хімічна структура  

Мазі

Фактори, що впливають на стабільність   Мазі   Фактори, що впливають на стабільність : Baclofen        
7 / 5 000 Résultats de traduction Немає даних

  Mentions Légales