Pēdējā atjaunošana :
27/04/2026
Dažādi   Baclofen  
Ziedes
Injekcija Orāls šķīdums
Stabilitāte farmaceitisko preparātu Maisījuma stabilitāte Stabilitāti ietekmējoši faktori Saderība Literatūras saraksts pdf
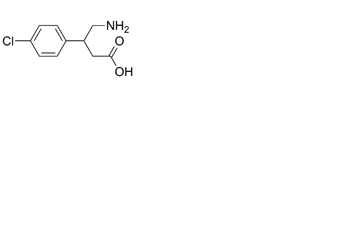
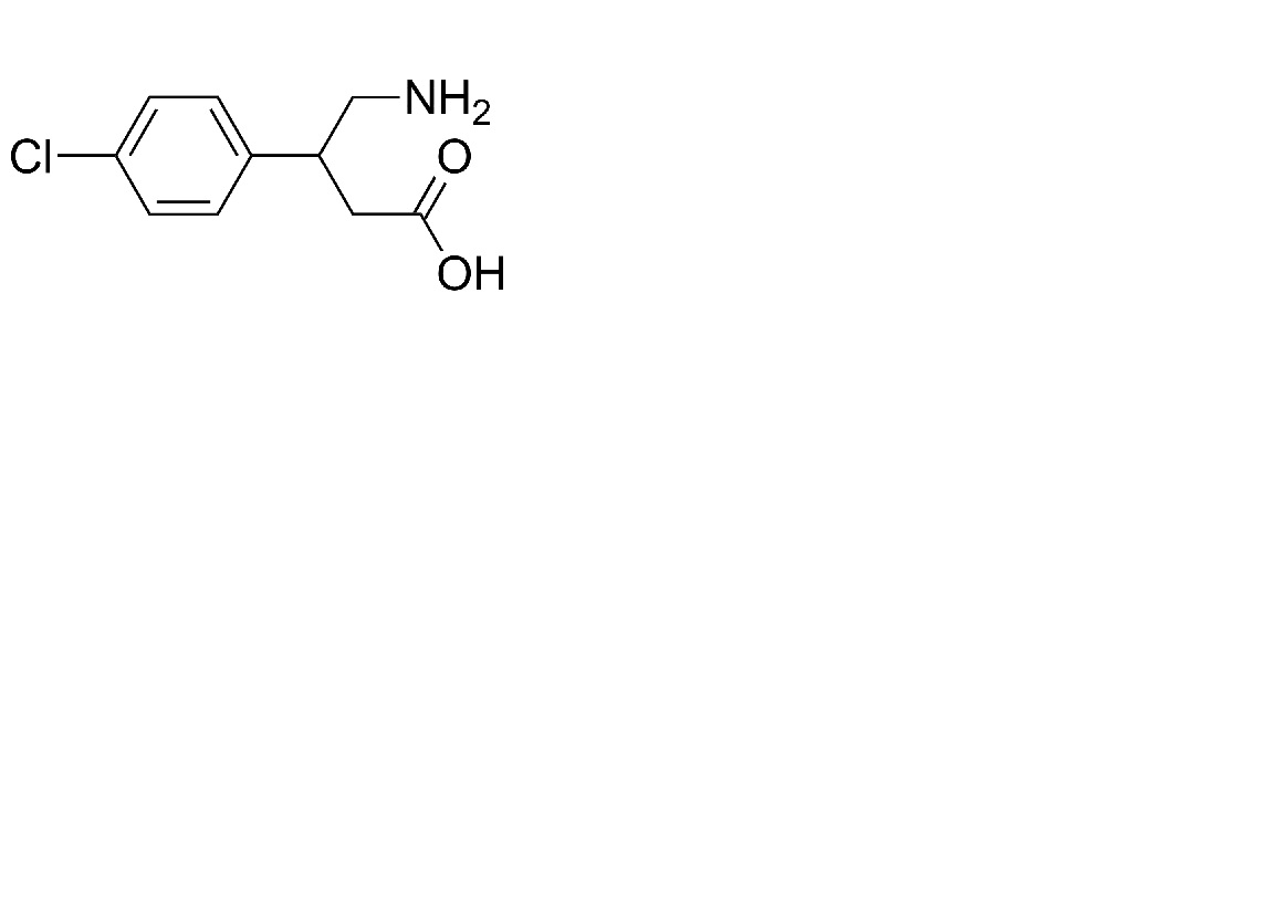
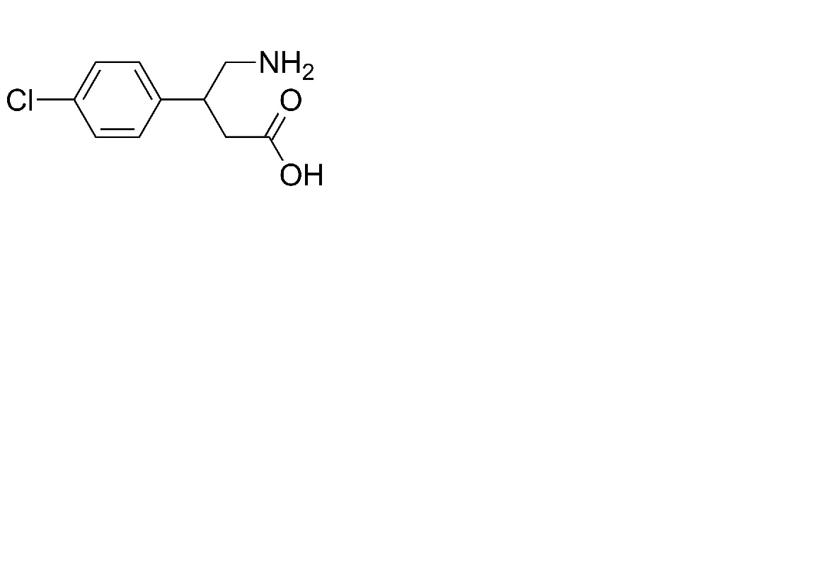
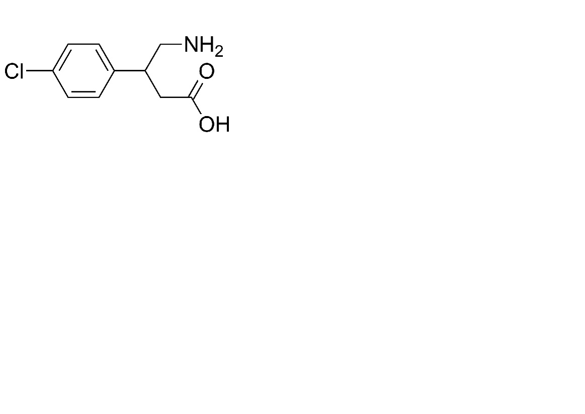
   Ķīmiskā uzbūve   

Ziedes
Maisījuma stabilitāte   Ziedes   Maisījuma stabilitāte : Baclofen     
Iepakojums Palīgviela Savienojums Temperatūra Glabāšana Stabilitātes ilgums Literatūras saraksts
Nespecifisks
propilēnglikols
Lipoderm® >> 100 g
Ziedes   Baclofen Pūderis5 g  ® = ?
Ziedes   Ketoprofene Pūderis5 g  ® = ?
25°C
120 Diena
Aizsargāt no gaismas 3971
Nespecifisks
propilēnglikols >>
Lipobase® >> 100 g
Ziedes   Baclofen Pūderis5 g  ® = ?
Ziedes   Ketoprofene Pūderis5 g  ® = ?
25°C
120 Diena
Aizsargāt no gaismas 3971

  Mentions Légales