最新更新 :
27/04/2026
様々なもの   Baclofen  
軟膏薬
注射薬 経口液
調剤時の安定性 混合時の安定性 安定性に影響する因子 互換性 引用文献 PDF
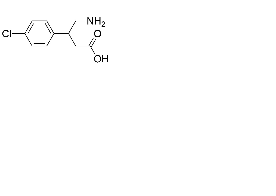
   化学構造  

軟膏薬
混合時の安定性   軟膏薬   混合時の安定性 : Baclofen     
容器 添加剤 化合物 温度 保管 安定期間 引用文献
指定なし
プロピレングリコール
Lipoderm® >> 100 g
軟膏薬   Baclofen 粉5 g  ® = ?
軟膏薬   Ketoprofene 粉5 g  ® = ?
25°C
120 日
遮光 3971
指定なし
プロピレングリコール >>
Lipobase® >> 100 g
軟膏薬   Baclofen 粉5 g  ® = ?
軟膏薬   Ketoprofene 粉5 g  ® = ?
25°C
120 日
遮光 3971

  Mentions Légales