Poslední aktualizace :
27/04/2026
Įvairūs   Baclofen  
Tepalai
Geriamas tirpalas Įpurškimas
Stabilumas farmacinių preparatų Mišinių stabilumas Stabilumą lemiantys veiksniai Suderinamumas Bibliografija pdf
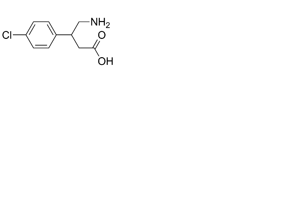
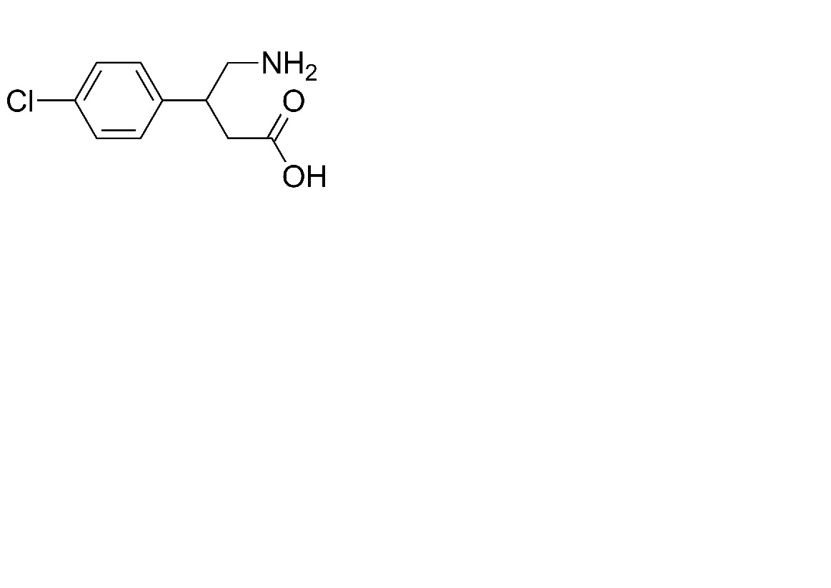
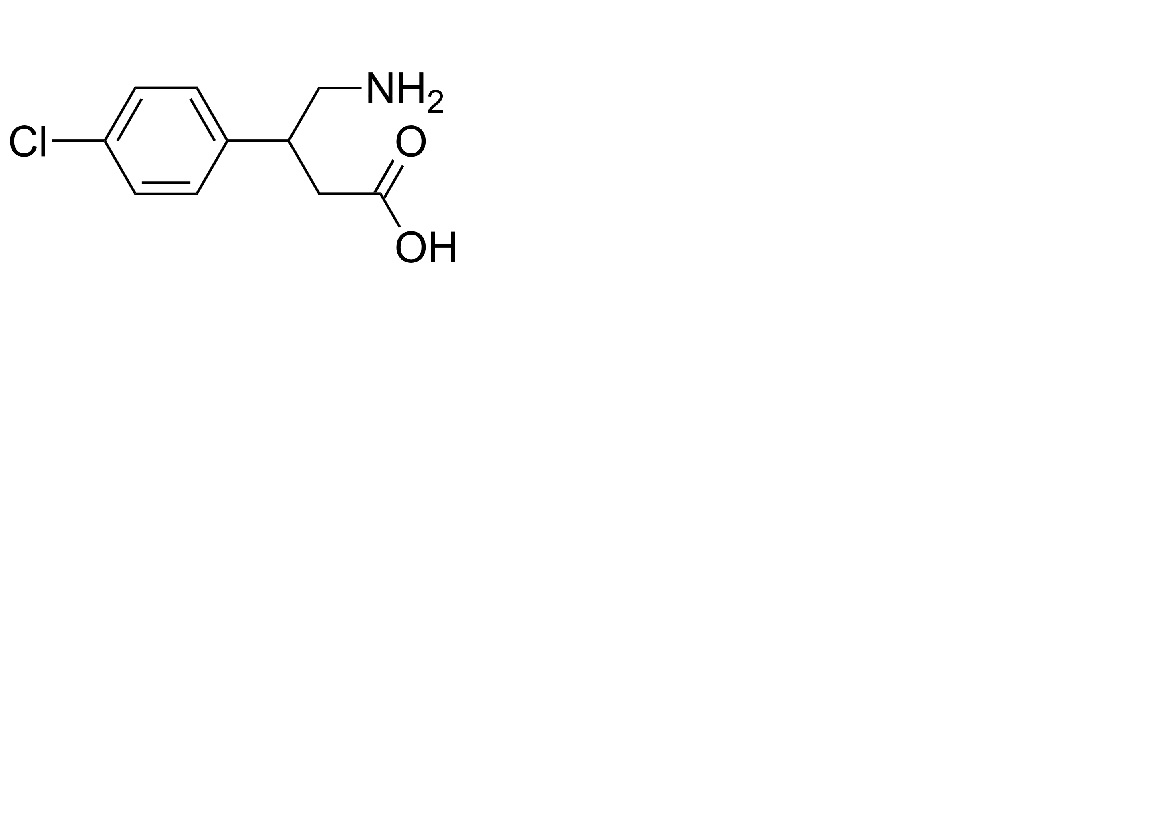
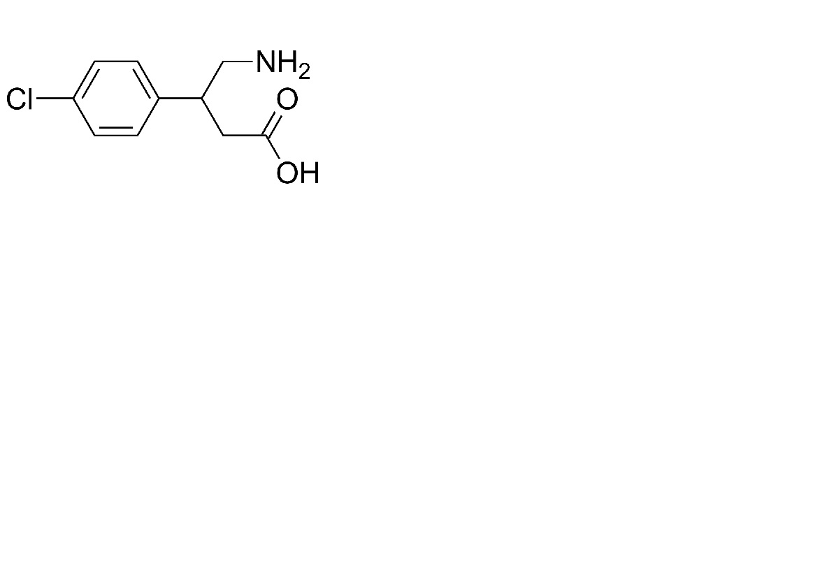
   Cheminė sandara  

Tepalai
Mišinių stabilumas   Tepalai   Mišinių stabilumas : Baclofen     
Pakuotė Ekscipientas Molekulė Temperatūra Laikymas Stabilumo trukmė Nuorodos
Nenurodyta
Propilenglikolis
Lipoderm® >> 100 g
Tepalai   Baclofen Milteliai5 g  ® = ?
Tepalai   Ketoprofene Milteliai5 g  ® = ?
25°C
120 Diena
Apsaugotas nuo šviesos 3971
Nenurodyta
Propilenglikolis >>
Lipobase® >> 100 g
Tepalai   Baclofen Milteliai5 g  ® = ?
Tepalai   Ketoprofene Milteliai5 g  ® = ?
25°C
120 Diena
Apsaugotas nuo šviesos 3971

  Mentions Légales