Τελευταία ενημέρωση :
27/04/2026
Λοιπά   Baclofen  
Αλοιφές
Ενέσιμο Πόσιμο διάλυμα
Σταθερότητα και συμβατότητα των φαρμάκων Σταθερότητα σε μίγματα Παράγοντας που επηρεάζει τη σταθερότητα Συμβατότητες Βιβλιογραφία pdf
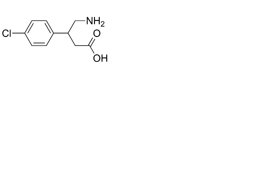
   χημική δομή  

Αλοιφές
Σταθερότητα σε μίγματα   Αλοιφές   Σταθερότητα σε μίγματα : Baclofen     
Υποδοχέας Έκδοχο Συστατικό Θερμοκρασία Αποθήκευση Διάρκεια σταθερότητας Βιβλιογραφία
Απροσδιόριστο
Προπυλενογλυκόλη
Lipoderm® >> 100 g
Αλοιφές   Baclofen Σκόνη5 g  ® = ?
Αλοιφές   Ketoprofene Σκόνη5 g  ® = ?
25°C
120 Ημέρα
Προστατεύετε από το φως 3971
Απροσδιόριστο
Προπυλενογλυκόλη >>
Lipobase® >> 100 g
Αλοιφές   Baclofen Σκόνη5 g  ® = ?
Αλοιφές   Ketoprofene Σκόνη5 g  ® = ?
25°C
120 Ημέρα
Προστατεύετε από το φως 3971

  Mentions Légales