Última actualização :
27/04/2026
Varios   Baclofen  
Pomadas
injetável Solução Oral
Estabilidade de preparações farmacêuticas Estabilidade em misturas Factores que afectam a sua estabilidade Compatibilidade Bibliografía pdf
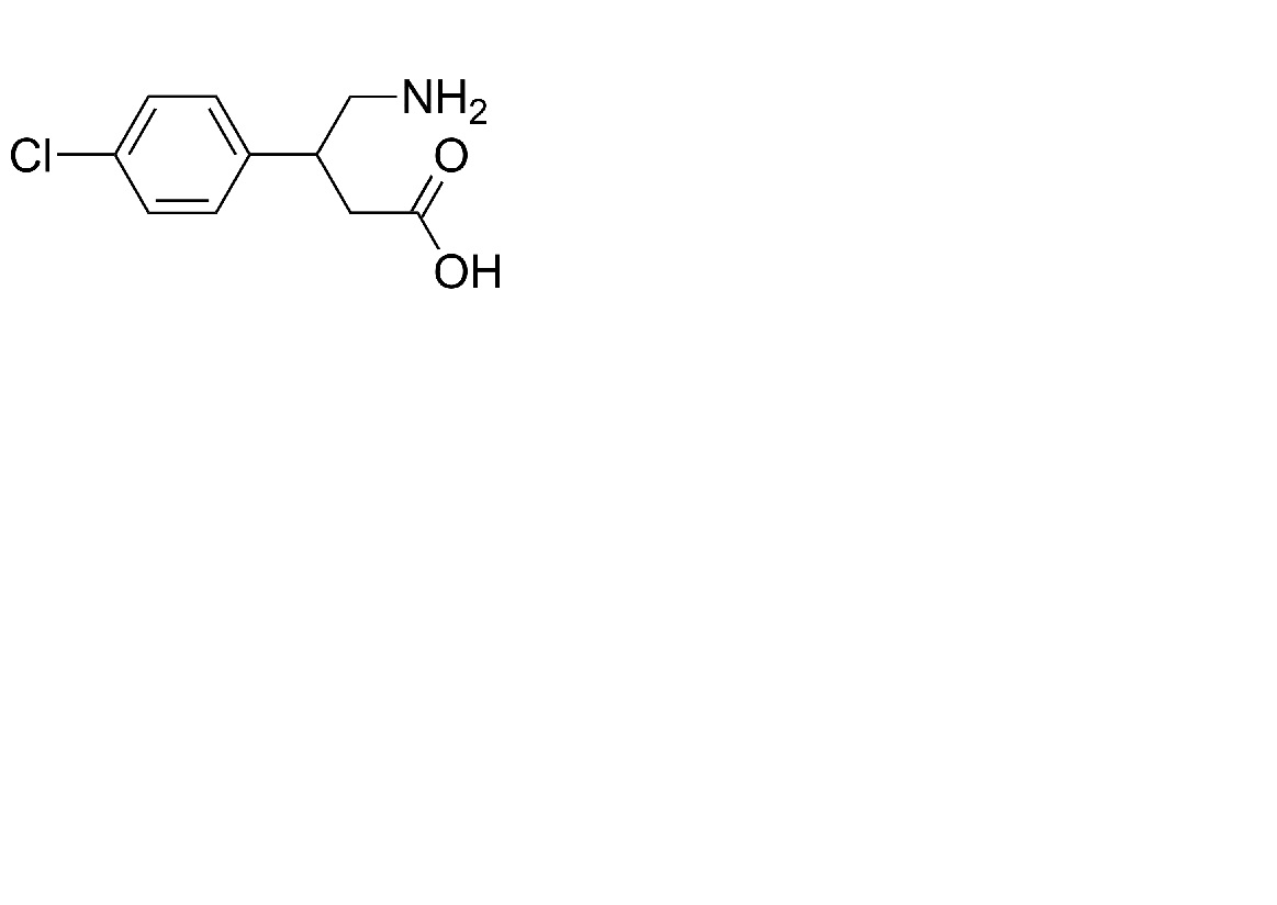
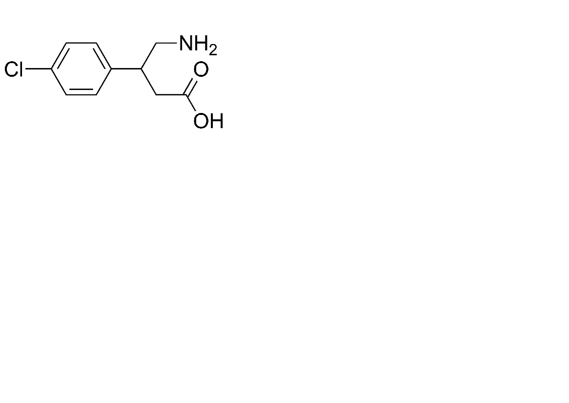
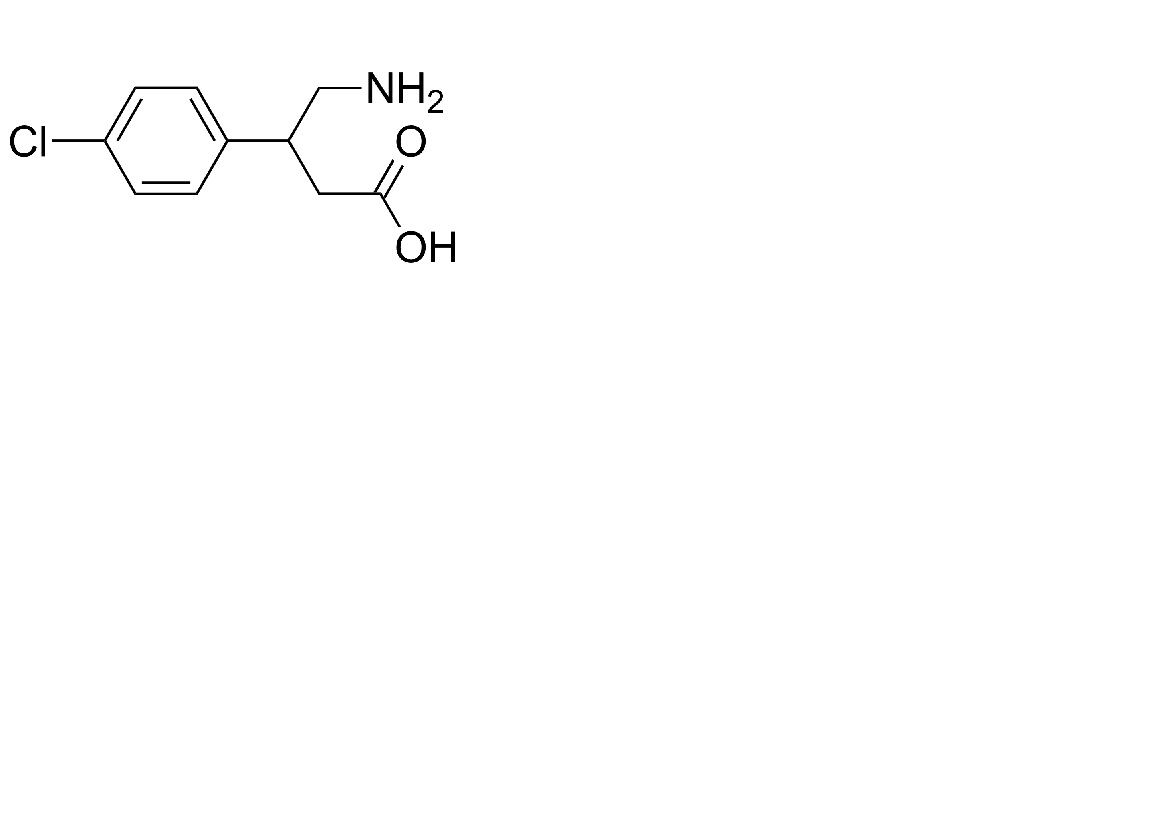
   estrutura química  

Pomadas
Estabilidade em misturas   Pomadas   Estabilidade em misturas : Baclofen     
Embalagem excipiente molécula temperatura conservação Duração da estabilidade Bibliografia
no especificado
propilenoglicol
Lipoderm® >> 100 g
Pomadas   Baclofen pó5 g  ® = ?
Pomadas   Ketoprofene pó5 g  ® = ?
25°C
120 dia
ao abrigo da luz 3971
no especificado
propilenoglicol >>
Lipobase® >> 100 g
Pomadas   Baclofen pó5 g  ® = ?
Pomadas   Ketoprofene pó5 g  ® = ?
25°C
120 dia
ao abrigo da luz 3971

  Mentions Légales