Senaste uppdateringen :
27/04/2026
Diverse   Baclofen  
Salvor
injektion Oral lösning
Stabilitet av läkemedel Stabilitet i blandningar Faktorer som påverkar stabiliteten Kompatibilitet Hänvisningar pdf
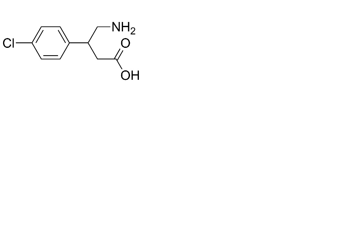
   Molekylstruktur  

Salvor
Stabilitet i blandningar   Salvor   Stabilitet i blandningar : Baclofen     
Behållare Hjälpämne Substans Temperatur Förvaring Stabilitets varaktighet Hänvisningar
Ej angiven
Propylenglykol
Lipoderm® >> 100 g
Salvor   Baclofen Pulver5 g  ® = ?
Salvor   Ketoprofene Pulver5 g  ® = ?
25°C
120 Dag
Skyddas från ljus 3971
Ej angiven
Propylenglykol >>
Lipobase® >> 100 g
Salvor   Baclofen Pulver5 g  ® = ?
Salvor   Ketoprofene Pulver5 g  ® = ?
25°C
120 Dag
Skyddas från ljus 3971

  Mentions Légales