Останнє оновлення :
03/03/2026
різноманітні   Baclofen  
Мазі
ін'єкція Розчин для перорального застосування
Стабільність фармацевтичних препаратів Стійкість сумішей Фактори, що впливають на стабільність Сумісність Список літератури pdf
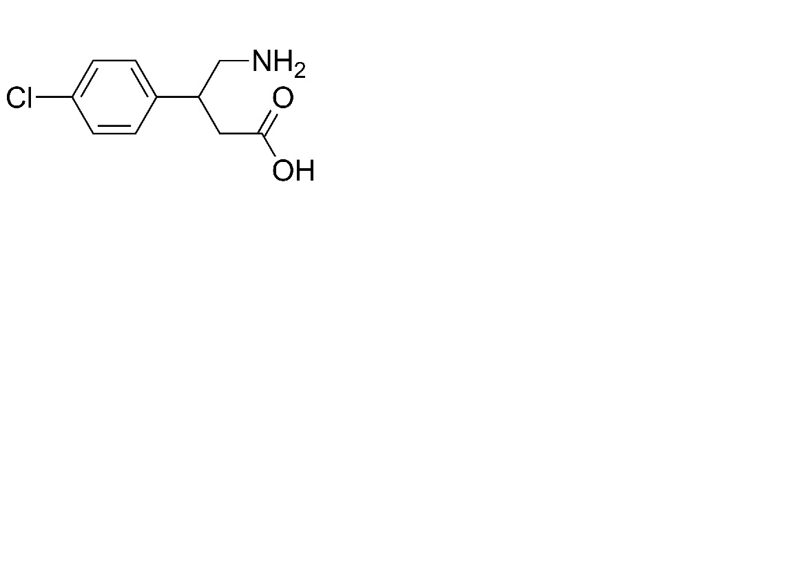
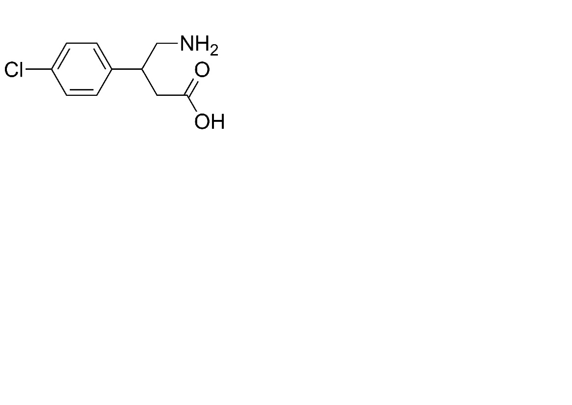
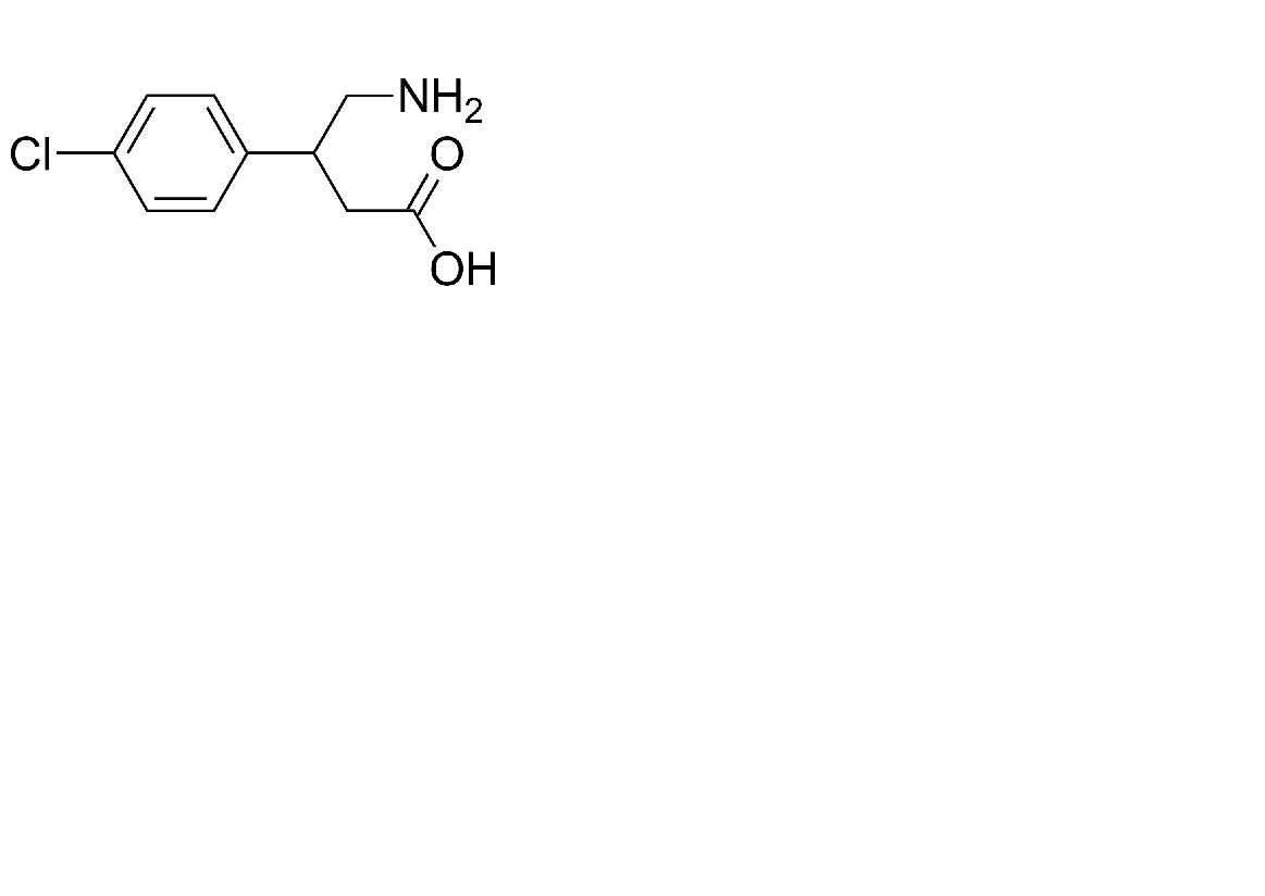
   Хімічна структура  

Мазі
Стабільність фармацевтичних препаратів   Мазі   Стабільність фармацевтичних препаратів : Baclofen     
7 / 5 000 Résultats de traduction Немає даних

  Mentions Légales